

石墨烯是一种快速发展的二维材料。大量的研究工作集中在其非凡的力学性能、电学性能、热学性能和光学性能上。石墨烯的润湿性也是其在自清洁、涂层、防腐、防结冰和水净化等方面的广泛应用的一个重要特性。以往的研究表明,石墨烯是一种弱疏水材料,其水接触角测量范围在87°-127°。事实上,石墨烯的性能可以通过化学功能化、微结构调制、机械负载、热负载或电化学方法等多种方法进行改性。通过改变石墨烯的润湿性,我们可以设计和优化不同种类的石墨烯基材料。由于石墨烯的热力学不稳定状态,以及石墨烯基底的不规则性,石墨烯的表面形貌总是皱褶的。更重要的是,褶皱的石墨烯可以被精确地设计。
研究表明,热膨胀和底物调节可以引起石墨烯的可逆起皱。此外,张力和振动是石墨烯在其使用周期中最常见和最可能的载荷。因此,了解水在皱褶或拉伸或振动载荷下的润湿行为具有重要意义,这可能在超疏水新型石墨烯导电涂层、电极、储能、复合材料和生物医药等领域有潜在的应用前景。
西北工业大学航空航天学院的Chengpeng Huang等通过MD模拟,考查褶皱形态、双轴拉伸和正弦振动对石墨烯的润湿特性的影响。首先,建立了理想石墨烯模型和水滴模型,研究了理想石墨烯的润湿特性。针对液滴接触角在分子尺度上测量不准确的问题,提出了密度剖面法,建立了一系列不同参数的正弦形态的褶皱石墨烯模型,并对其润湿性进行了研究。最后,分别研究了石墨烯在双轴拉伸载荷和振动载荷下的润湿性,相关研究成果发表在《Computational Materials Science》上。

图1 理想石墨烯和水分子的初始分子构型
主要步骤如下:
(1)采集原子坐标数据

图2理想石墨烯上初始(左)和平衡(右)水滴的图像
(2)引入圆柱坐标系
(3)圆柱坐标系离散化

(4)计算每个网格的密度
(5)获得水滴密度分布云图

图4水滴密度分布及等容线分布
(6)计算水滴接触角值

图5液滴界面的拟合


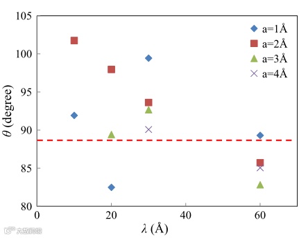
图7不同参数褶皱石墨烯上的水滴



图10水滴在皱褶石墨烯上扩散的示意图,(a)水滴接触线位于峰顶,(b)水滴接触线位于山谷

图11体积增大后水滴形状变化示意图


图13水滴接触角随水滴体积的增大而变化


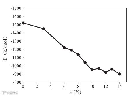
图15不同双轴拉伸应变的水-石墨烯相互作用能




图19 水滴在石墨烯上的接触角与振动能量的关系
利用MD模拟研究了形貌、张力和振动对石墨烯润湿性的影响。模拟结果表明,褶皱形态可以提高石墨烯的疏水性。液滴接触线始终停留在皱纹褶皱的顶部。对于具有一定参数的褶皱石墨烯,当液滴体积增大时,褶皱形成的能量势垒会阻碍水滴的扩散,使液滴接触线呈现钉扎效应。当液滴体积继续增加到足以克服这一障碍时,液滴接触线将迅速扩展到下一个波峰。这个现象是离散润湿效应。水滴在此过程中的接触角先增大后减小再增大。张力和振动也能显著提高石墨烯的疏水性。当拉伸应变小于10%时,接触角随应变的增加呈线性增大,当应变大于10%时,接触角基本稳定,保持在110°左右。随着振动幅值的增大和振动周期的减小,水滴的接触角增大。液滴接触角与振动能量有关,振动能量可用对数函数表示。
参考资料:Huang C, Xu F, Sun Y. Effects of morphology, tension and vibration on wettability of graphene: A molecular dynamics study[J]. Computational Materials Science, 2017,139:216-224.



