
在铁电材料中,畴的形成可以有效降低材料内部的应力、内建电场以及缺陷等带来的能量,这是一个完全自发的过程。所谓的畴指的是晶粒内部极化方向相同的区域,如图1所示,而不同取向畴之间的过渡部分则被称为畴壁。对于铁电材料的铁电性而言,畴的性质是至关重要的,比如,铁电材料的铁电翻转并不是畴整体翻转的宏观表现。整个畴的翻转通常需要很大的能量,在翻转过程中也会使材料内部出现极端应力,这种整体翻转的方法显然是不合适的。于是为了减小内应力的产生以及能量上的巨大波动,极化翻转会通过畴壁迁移的方式来进行。然而,事实上,畴壁分为很多种,在钙钛矿材料中,存在“头对头”型带电畴壁(H-H domain)、“尾对尾”型带电畴壁(T-T domain),以及肩并肩型的180度畴壁,71度畴壁等等。不同的畴壁同时也对应着不同的物理化学性质。特别在“头对头”型畴壁中在特定的情况下可能出现“二维电子气”,使得原本是绝缘体的铁电材料在畴壁处表现出现金属性。

带电畴壁一般是不稳定的,这种畴壁周围产生的电场远超过矫顽力场,这就导致畴被重新定向。因此,可以肯定的是,在这种畴壁中,一定存在杂质与电荷的某种耦合机制,最终才使得畴壁稳定。事实上,人们很早就在实验中观测到,钙钛矿材料中的头对头型畴壁处总会聚集大量的氧空位。当时最广泛接受的观点是,氧空位有助于稳定自发形成的带电畴壁。来自丹麦技术大学物理系的Urko Petralanda等人通过第一性原理计算的研究,提出了另一种观点,即氧空位实际上可能促进带电畴壁的形成,而不是简单地提供稳定畴壁所需的电荷。
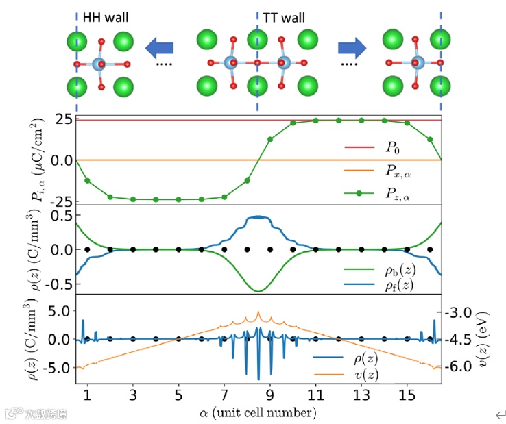
Urko Petralanda等人以钙钛矿型铁电体中的明星材料BaTiO3为基础,构建了头对头型尾对尾型带电畴壁,如图2所示。作者等人通过这一结构,研究了电荷的分布规律,由于这种结构是极其不稳定的,因此对该结构进行研究时,并没有进行弛豫。其结构中的每一个单胞极化值通过波恩有效电荷的计算方法给出,同时通过第一性原理计算给出了该结构的束缚电荷和自由电荷密度,如图2中间图所示。这表明,自由电荷基本可以对尾对尾型结构的束缚电荷进行屏蔽,使带电畴壁基本处于电中性的状态。在这种环境下,带正电的氧空位基本没有迁移到畴壁的驱动力。因此,人们通常理解的带电畴壁对氧空位的吸引的说法缺乏足够的说服力。
图2 BaTiO3头对头畴壁及尾对尾畴壁示意图及电荷分布图
如图3所示,通过进一步的能带计算表明,在尾对尾带电畴壁处,自由电荷主要由氧原子提供的空穴正电荷,这些正电荷的聚集就导致了图2中中间部分电势上升。而在两端,也就是尾对尾畴壁的位置处,聚集的则是由Ti原子贡献的电子负电荷。

图3 BaTiO3头对头畴壁及尾对尾畴的层DOS分布图
为了确定氧空位在带电畴壁中究竟起了什么作用,如图3所示,作者构建了3*3*8的超胞单畴模型,并在其中引入了一个氧空位。计算结果表明,氧空位的出现导致附近Ti原子出现了与极化相反的位移,这将削弱模型中原有的极化。如图3第三幅图所示,通过波恩有效电荷的计算方法也表明,存在氧空位后,其周围极化值确实减小了。但仅一个氧空位并不足以使一侧极化发生翻转,形成带电畴壁。随后,作者在存在一个氧空位的结构中再引入一个新的氧空位,这时,氧空位将会倾向于移动到原先第一个氧空位所在的平面处。这一结论似乎有悖常识,氧空位是带正电的,两个带正电的结构应该相互排斥,而非吸引。而事实上,氧空位与周围电荷的共同作用下,其所在的位置会形成一个负电位,如图3第二幅图所示,正是这个负电位对第二个带正电荷的氧空位产生了吸引。

随着后续氧空位被吸引到第一个氧空位所在的平面后,平面附近的Ti原子相对极化反方向的位移进一步增大,当这一平面出现三个氧空位时,该平面左右两边的极化开始反向,尾对尾型带电畴壁形成。随着畴壁的形成,畴壁附近的电势逐渐升高,负电位减小,对氧空位的吸引力也逐渐减小。
至此,文章通过第一性原理计算,成功描绘了氧空位和带电畴壁之间的关系,不同于以往所认为的,是带电畴壁形成后,由于电势的影响,导致带正电荷的氧空位聚集,而是先由氧空位的出现,降低了氧空位附近的电荷状态,导致氧空位附近形成了很强的负电势,从而吸引了其他氧空位的聚集,氧空位的聚集最终影响了Ti原子的位移,形成了带电畴壁。换句话说,是氧空位的自发聚集造就了带电畴壁,而不是带电畴壁导致了氧空位聚集。
笔者自从事第一性原理计算工作已近十载,深感其中工作之繁琐,劳心伤神,且常做无用之功。遇惑难,亦需自撰 “一次性”脚本。白驹过隙,岁月连年,唯年岁徒增矣。一日,忽闻MatCloud+平台,遂浅尝罢,思绪涌于心,遂荐于君。
MatCloud+平台集成了第一性原理计算、分子动力学以及机器学习等重要科研手段,让大量计算工作“全自动化”。由于笔者只从事第一性原理计算工作,所以本次也只介绍该平台的第一性原理计算方面的工作。
笔者第一次接触该平台是在两个月前,作为体验用户对平台进行了试用,该平台的主要优势在于使用便利,MatCloud+平台省略了科学计算中绝大多数需要人工干预的部分。就第一性原理计算而言,通过鼠标点击和拉动,结合自身需要计算的结构性质,构建如下图所示的计算流程框架,导入结构后,整个过程将自动化进行。这一过程省略了日常需要写大量脚本的问题,为科研工作者节省了大量时间。就第一性原理方面,它可以对材料进行结构优化、静态计算、声子谱、弹性常数、能带、态密度、光学性质等绝大部分的性质计算,其功能还在进一步扩展。以上计算功能均能与高通量计算兼容,适合结构搜索、材料基因组计划等工作。



后处理方面,平台也做了很多优化工作。事实上,第一性原理计算发展了30多年,前前后后出现的各种后处理脚本数不胜数,但各自方法不同,而且只局限于部分功能。MatCloud+平台解决了后处理方面所需的绝大多数问题,如经典的能带、态密度等图只需要查看结果,直接就可以显示出来,上图中展示下后处理的态密度和能带图结果。平台地址:www.matcloudplus.com 目前平台还有不少活动,如注册送500核时试用机时等。
原文链接:https://journals.aps.org/prl/abstract/10.1103/PhysRevLett.127.117601
