

半导体和绝缘体中的缺陷已被广泛用于控制固体的电子、光学和催化性能。近年来,与晶体中原子缺陷相关的电子自旋在量子技术中的潜在应用,引起了人们的巨大兴趣。在这方面,二维材料为原子精确化产生和缺陷自旋控制提供了新的机会。
近日,美国劳伦斯伯克利国家实验室的研究者发现二维WS2中的碳自由基离子(CRI)作为一种有效的1/2自旋体系,可以在保持周围原子结构不变的同时实现自旋极化局部缺陷态与宿主晶格的耦合。通过扫描隧道显微镜(STM)尖端的电压脉冲诱导CHX(X=S/Se)杂质的氢脱钝化,并且发现这是具有高重复性的。对于石墨烯(C)衬底的WS2,费米能级的排列导致了带负电荷的碳杂质,称之为CRI,CRI具有一个净磁矩为1 μB的已占据的自旋极化缺陷状态。对于硒(Se)衬底的WS2,CSe是中性的,没有磁矩。此外,CRI缺陷轨道主要与几个振动模耦合,且耦合强度严重取决于CRI二能级系统的组成状态及过渡金属二硫化物(TMD)层数。

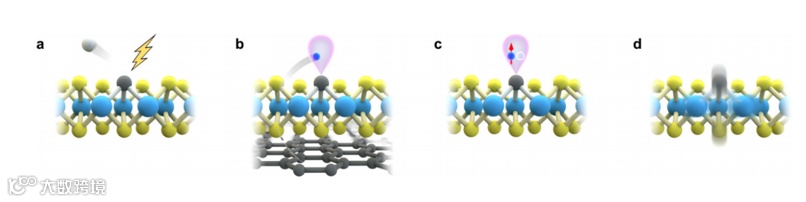
图1. CRI的生成和主要属性。a. CH杂质的氢钝化示意图;b. 电子从衬底转移到悬挂的C-S键;c. CRI的磁矩;d. CRI振动耦合到TMD宿主晶格。颜色编码:H(白色)、C(灰色)、S(黄色)、W(蓝色)和带自旋的电子(带红色箭头的深蓝色)。
图1给出了CRI的生成和主要属性,该工作主要讨论三个过程:CH杂质的氢钝化和CRI的形成、与CRI相关的两种自旋极化缺陷状态以及CRI缺陷状态与TMD宿主晶格的振动耦合(见图1)。
图2. CRI的电子结构和磁学性质。a. 氢钝化的CRI的能带结构;b. 脱氢后的CRI的能带结构;c. CRI的能谷分裂态;d. CRI的磁矩;e. 占据态的电荷密度;f. 未占据态的电荷密度图。
由图2可见二维WS2脱氢后,由于CRI的存在,能带中费米能级附近引入了两个杂质峰,其带隙△=593 meV。同时,在价带能谷中产生了K和K’能级分裂,在缺陷密度等于4.7×1013 cm−2的情况下分裂值λ=16 meV,总磁矩m=1 μB,即具有一个净磁矩为1 μB的已占据的自旋极化缺陷状态。此外,占据态的电荷密度分布相对对称且均匀,非占据态会造成电荷的无规则分布。

图3. CRI的电子-声子耦合特性。a和b计算了能量为ℏω的不同声子的未占据缺陷态和占据缺陷态的S因子,其中填充圆分别表示1 ML(2 ML);c. 5 meV时的共振模态(弯曲模态,b中的红圈);d. 22 meV时的主要局部振动模态(b中的紫圈);e. 75 meV时的主要局部振动模态(b中的绿圈)。
由图3可见,占据态和未占据态的S因子分布相差不大。不过总体而言,低能声子更容易激发占据态的电子,并与其发生耦合,而高能电子偏向于与未占据态电子耦合。同时,随着WS2覆盖度的增加,S因子呈现出略微减小的趋势。此外,低能声子与电子发生耦合产生共振模态的S因子相对较大,而高能声子产生共振模态的S因子相对较小。

图4. 与CRI电荷态跃迁有关的振动激发。a. 电子附着在单层WS2上未占据缺陷状态的CRI。其中黑点和橙色线分别表示dI/dV测量结果和三模态电子-声子耦合模型的结果;b. 空穴附着在单层WS2上占据缺陷状态的CRI。其中黑点和蓝色线分别表示dI/dV测量结果和四模态电子-声子耦合模型的结果;c. 电子附着在双层WS2上的CRI。其中黑点和橙色线分别表示dI/dV测量结果和三模态电子-声子耦合模型的结果;d. 空穴附着在双层WS2上的CRI。其中黑点和蓝色线分别表示dI/dV测量结果和四模态电子-声子耦合模型的结果。
由图4可见,利用dI/dV测量得到的CRI值与模态电子-声子耦合模型的结果在低偏压下吻合较好,而高偏压下模型结果会低估CRI值。同时,随着WS2覆盖度的增加,无论所加偏压的大小,CRI值都呈现出减少的趋势,这表明耦合作用被削弱了。
二维材料中的原子自旋中心在量子技术中受到关注,本工作通过原子精确化产生和缺陷自旋控制碳自由基离子(CRI)在两个TMD层中合成CRI,表明其是一个有效的1/2自旋体系。进一步,通过STM尖端的氢钝化来实现原子精度的活化。在阴离子状态下,碳杂质的磁矩为1 μB,这是由一个不配对的电子占据一个自旋极化的隙内轨道引起的,且CRI缺陷态与少量的局部振动模态耦合。振动耦合强度在很大程度上取决于自旋态,单分子层和双分子层WS2的耦合强度不同。碳自由基离子是一种可以选择性引入的表面束缚原子缺陷,具有很好的理解的振动谱,并且是电荷态控制的。
原文链接:https://www.nature.com/articles/s41467-021-27585-x.pdf
转发本条推文到朋友圈,截图发给公众号后台或以下学习群,即可获得6节视频课。
课程内容包含:高通量建模+第一性原理计算+LAMMPS+数据库+机器学习以及催化领域详细课程讲解。

