
基于密度泛函理论,北京交通大学理学院的研究者探讨了硅烯在表面氢插层的GaAs(111)表面的电子结构和光学性质。结果表明,插层的氢原子显著削弱了硅烯和GaAs(111)表面之间的相互作用,并在硅烯/GaAs(111)异质结构中引起了相当大的带隙。此外,硅烯/GaAs(111)异质结具有高吸收系数,其中硅烯具有独立的典型光学吸收特性,且在紫外区存在一些吸收光谱和能量损失光谱的强峰,表明硅烯/GaAs(111)异质结在紫外区有明显的增强。
本工作有望为硅烯在半导体GaAs器件上的研究奠定理论基础和应用前景。
鉴于III-V族半导体GaAs具有较高的电子迁移率和响应速度,且具有直接带隙的能带结构,而二维材料由于其特殊的特性在近年来得到了关注,因此GaAs/二维材料的界面被广泛研究。

图1. 硅烯/GaAs(111)异质结的俯视图和侧视图 (a) 富As表面 (b) 富Ga表面
由图2可见,表面氢插层对不同终止面的硅烯/GaAs(111)异质结构的电子性质具有不同的影响。富As表面的硅烯/HAs-GaAs(111)异质结构的费米能级向上移动到导带,表现出n型半导体特性,而富Ga表面的硅烯/HGa-GaAs(111)异质结构的费米能级向下移动到价带,表现出p型半导体特性。显然,这种差异也是由Ga原子和As原子的不同电负性引起的。
图2. 硅烯/GaAs(111)异质结的能带结构。其中,蓝实线是GGA泛函的计算结果,而红虚线是HSE06泛函的计算结果。(a) 富As表面 (b) 富Ga表面
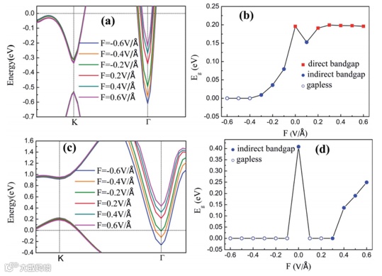
由图3、图4和图5的结果可见,氢插层削弱了硅烯层与GaAs(111)表面之间的相互作用,并导致打开了相当大的带隙。富As的硅烯/HAs-GaAs(111)异质结具有直接带隙,而富Ga的硅烯/HGa-GaAs(111)异质结具有间接带隙。与富Ga的硅烯/HGa-GaAs(111)异质结相比,富As的硅烯/HAs-GaAs(111)异质结具有较低的屈曲高度,有利于实验生长。硅烯/GaAs(111)异质结的电子特性可以通过调整层间距L和屈曲高度h,以及施加外电场F来控制。调整L和h可以增大带隙并实现直接带隙和间接带隙之间的转换,施加外电场F可以调整带隙,但不能明显增大带隙,且在负方向的垂直外电场F下容易失去带隙而呈现出金属特性。

图3. 硅烯/GaAs(111)异质结的费米能级附近的能带结构和带隙随层间距L的变化。(a)(b) 富As表面 (c)(d) 富Ga表面
图4. 硅烯/GaAs(111)异质结的费米能级附近的能带结构和带隙随硅烯屈曲高度h的变化。(a)(b) 富As表面 (c)(d) 富Ga表面
图5. 硅烯/GaAs(111)异质结的费米能级附近的能带结构和带隙随外电场F的变化。(a)(b) 富As表面 (c)(d) 富Ga表面
由图6和图7的结果可见,在1~12 eV的能量范围内有多个吸收峰,硅烯/GaAs(111)异质结的典型光谱中保留了独立硅烯的特性。富As和富Ga的硅烯/GaAs(111)两种异质结构中存在平行和垂直方向的各向异性,且吸收和能量损失峰集中在紫外区。
图6. 富As表面的硅烯/HAs-GaAs(111)异质结的光学性质。(a) 介电函数的实部 (b) 介电函数的虚部 (c) 吸收系数 (d) 能量损失函数
图7. 富Ga表面的硅烯/HGa-GaAs(111)异质结的光学性质。(a) 介电函数的实部 (b) 介电函数的虚部 (c) 吸收系数 (d) 能量损失函数
本文工作研究了硅烯/GaAs(111)异质结的电子结构和光学性质,计算了硅烯与GaAs(111)表面之间的层间距L、硅烯屈曲高度h和外电场F对电子性能的影响,结果表明可以通过调节L和h以及应用F来控制硅烯/GaAs(111)异质结的电子结构,且插层的氢原子显著削弱了硅烯和GaAs(111)表面之间的相互作用,并在硅烯/GaAs(111)异质结构中引起了相当大的带隙。此外,硅烯/GaAs(111)异质结具有高吸收系数,其中硅烯具有独立的典型光学吸收特性,且在紫外区存在一些吸收光谱和能量损失光谱的强峰,表明硅烯/GaAs(111)异质结在紫外区有明显的增强。该工作可以为硅烯/半导体异质结构在实验条件下的预期结果提供理论指导,并有望促进硅烯在光电器件中的潜在应用。
原文链接:https://pubs.rsc.org/en/content/articlepdf/2021/ra/d1ra01959g
转发本条推文到朋友圈,截图发给公众号后台或以下学习群,即可获得6节视频课。
课程内容包含:高通量建模+第一性原理计算+LAMMPS+数据库+机器学习以及催化领域详细课程讲解。

