

近年来,金属有机骨架材料(MOFs)因其独特的可修饰性和高稳定性而被认为是一种非常有前途和高效的材料,可用于碳捕获和封存。一些科学调查已经发现只需改变官能团,就可以对MOF进行修饰,从而应用于各个领域。
众所周知,MOF是由金属离子簇和连接体组成的有机分子,其中连接体是具有孔和连接通道的三维结构。MOF具有不饱和金属中心,为CO2分子提供更多的活性吸附位点,从而促进它们之间形成强键CO2结构。
与沸石等其他材料相比,MOF的优点是通常具有更宽的孔,这不仅提高了单个结构中的分子扩散率,而且提高了分子间的扩散率,这就是为什么科学家们认为MOF有望通过吸附CO2,调节孔隙率和表面物理化学性能。
本工作研究的MOF包括ZIF-8、Zn-MOF-74、Mg-MOF-74、PCN-16、MOF-5、PCN-11、BeBTB、Co-BDP、Mg2(dobdc)、Cu-BTTri、MOF-177、IRMOF-1、IRMOF-6、IRMOF-3、IRMOF-11、Cu BTC、MOF-505、MOF-74和MOF-2。
图2. 使用不同算法进行特征选择和分类以预测吸附CO2的MOF性能
随着压力的增加,根据室温等温线,MOFs孔隙的饱和过程将得到促进。从这些等温线可以看出,每个MOF的吸收能力与其表面积定性相关,在当前研究评估的所有类型MOF中,MOF-177、BeBTB、MOF-5和PCN-11表现出相当大的CO2吸附能力且随着孔径越大吸附效率越高。在所有提到的多孔材料中进行比较,MOF-177的最大容量为33.5 mmol/g,因为其高表面积(4508 m2/g)几乎是IRMOF-11的两倍。图3a详细说明了所研究的MOF在298 K温度下不同压力下的吸附能力。
图3b比较了MOF-177和一系列其他MOF在313 K温度下的CO2吸附效率。研究者还发现MOF结构上CO2吸附量与表面积和表面极性直接相关。由于这些特性,更多的CO2将被吸附,即使在低压下,使用一些MOF也可以实现高吸附,如Cu-BTTri和Mg2(dobdc)。此外,在高压会显著影响影响CO2吸附能力。
对于Co-BDP,可以看到吸附等温线的阶梯状外观,这可能是由于MOF的框架显著的灵活性造成的。然而,不得将这一结果解释为其他MOF在CO2去除工作中无效性和不实用性,但这意味着MOF-177在35 bar下具有出色的CO2去除能力。
如图4所示,吸附容量对操作温度的依赖性相当大,并且通常对于MOF-5,室温下的CO2吸附容量高于其在313 K时的容量。因此,温度对二氧化碳吸附效率有负面影响。
换句话说,随着温度升高,吸附能力降低。如图5所示,XGBoost作为最佳模型与Langmuir、Freundlich、Dubinin-Radushkevitch (D-R)和Sips等温线模型一起使用了PCN-11和Mg-MOF-74的实验数据。
数字表明,Langmuir和XGBoost模型都很好地预测了结果。Langmuir等温线模型显示出良好的拟合,PCN-11和Mg-MOF-174的相关系数R2值分别为0.999和0.980,但总体而言,XGBoost模型表现出更好的拟合相关性,两种MOF的R2值为0.998。
图3. 不同MOF上的CO2吸附能力:(a)298 K (b)313 K
图5. 温度为313 K下CO2吸附在PCN-11上的等温线
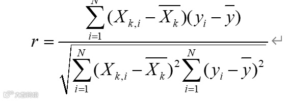
为了研究各种参数对MOFs吸附能力的影响,相关系数定义如下:
其中
分别代表组合数据点的个数、第
个输入值的第
个参数、第
个输出数据、第
个输入参数的均值和输出的平均值。相关系数描述了输入参数对MOF的CO2去除能力的影响程度。且其值在±1之间。随着与特定参数对应的相关的绝对值增加,二氧化碳吸附能力将随着该参数的任何变化而发生更剧烈的变化。
图6说明了对各种MOF上CO2吸附的每个影响参数的相关系数影响评估。根据计算的
值,在所有研究的参数中,只有温度对吸附容量有负面影响,
=-0.114。此外,发现MOF的压力和表面积对CO2吸附容量的影响最大,其r值分别为0.478和0.337,还发现孔隙体积对MOF的CO2吸附能力有正面影响,因为空隙为捕获的CO2分子提供了更多的吸附位点。
在本研究中,基于决策树的方法,分类提升(CatBoost)、轻梯度提升(LightGBM)、极限梯度提升 (XGBoost) 和随机森林 (RF) 以预测19种不同MOF对二氧化碳的吸附。所实施模型的输入被选择为MOF的温度 (K)、压力 (bar)、比表面积 (m2/g) 和孔体积(cm3/g),输出是CO2吸附能力(mmol/g)。XGBoost、CatBoost、LightGBM和RF模型的均方根误差RMSE值分别为0.5682、1.5712、1.0853和1.9667。
敏感性分析表明,在所有研究参数中,只有温度对CO2吸附能力产生负面影响,并且MOF的压力和比表面积具有最显着的影响。在所有实现的模型中,发现XGBoost是最值得信赖的模型。此外,与不同的等温线模型相比,该模型显示出了对实验数据的良好拟合。通过使用XGBoost方法,MOF对CO2的吸附能力得到证实,具有成本效益且可直接应用于环境科学等相关领域。
原文链接:https://doi.org/10.1038/s41598-021-04168-w
