
电催化氮还原(NRR)由于可以实现常温常压下的氨气生产,被认为是最有前景的NH3生产方式之一。N掺杂的二维石墨烯铁单原子催化剂(Fe-Nx-C)催化NRR在实验和理论计算中均有非常好的表现。然而目前普遍采用的电化学计算CHE模型与实际实验中存在显著差异。例如,根据实验结果NRR反应在-0.4V即可发生。然而在理论计算中的预测电位往往要在-1.0V以下。这种差异主要来自于溶剂和表面电极电势对于反应分子的活化。
本文中,作者构建了显式溶剂化模型,对FeN4单原子催化剂催化NRR过程中的溶剂化效应、表面电极电势影响进行阐述。发现水分子和表面电极电势对于促进N2吸附、第一步加氢非常大的影响。通过约束分子动力学和热力学积分的方法,发现当表面电极电势从-0.48V降低到-0.68V时,吸附态N2的第一步加氢过程变成放热反应。文章证明了考虑溶剂化效应后NRR可以在较低的电位下发生反应,使理论计算结果与实验结果相吻合。从而证明了溶剂化作用和表面电极电势在NRR反应计算中的重要性。
作者首先模拟了基于CHE模型的真空表面和加入溶剂之后表面NRR反应的自由能,可以看出,考虑溶剂化作用后,N2的吸附自由能从0.32eV下降到-0.23eV。并且两种体系中的决速步都是N2活化加氢,但是限制电位为1.24和1.26eV,远远高于实验观测。
在CHE模型的基础上计算了不同条件下N2吸附的电子结构(图1)。与真空体系相比,水溶液中金属Fe向N2的电荷转移更多,对于COHP进行考察发现,液体体系中,N2与Fe的作用力更强,从而导致N2在水系中更好的吸附作用。


图2 不同电极电势下的N2吸附和活化加氢的键长和点和分析
为了解释表面电极电势的作用,作者对比了四种电极电势下(0.02V, -0.23V, -0.48V, -0.68V)下的N2吸附和活化加氢(图2),可以看到,在不同电势下吸附态N2的N-N键长和bader电荷并没有非常明显的改变。但是,作者发现电荷的减少主要发生在远端N原子上,这可能会在较低的负电位下增强其与溶剂环境的相互作用。加氢后,作者发现相同电位下*NNH中间体和*NN中间体的bader电荷基本相等,说明*NN加氢是一个质子耦合电子转移过程。结果表明,表面电极电势对于N2吸附并无明显促进作用,但是可以促进N2部分活化。

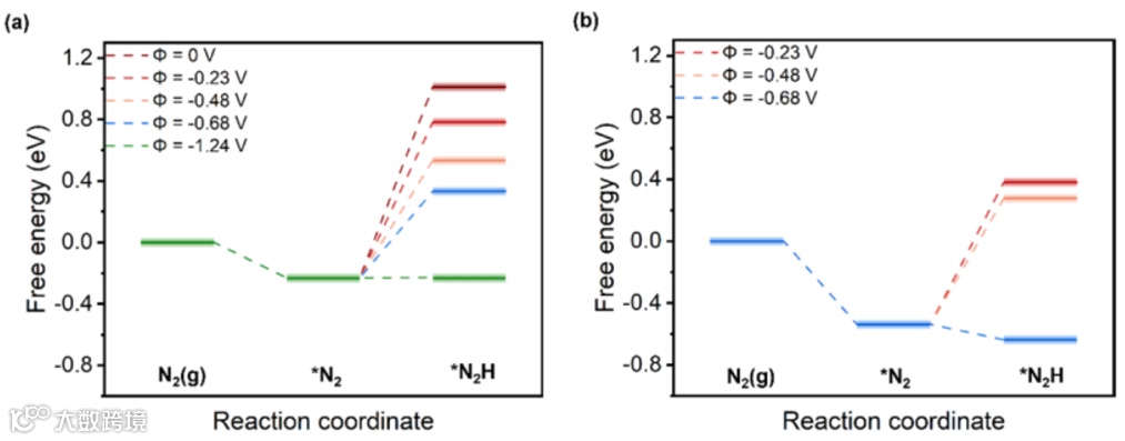
为了进一步准确计算反应过程中的限制电位,作者进一步进行了约束分子动力学模拟,通过一个包含溶剂化效应和电极电位的显式溶剂化模型来探索NRR过程的自由能分布。由图3可以看出,一般来说,N2吸附在不同电位下吸附能均保持在−0.5±0.1 eV。而活化加氢过程则与电极电势之间有着较为强烈的依赖关系。而当电势达到-0.68V后加氢反应成为放热反应,且反应能垒大幅降低。

图4 不同电极电位下N2吸附和活化加氢的自由能图。
(a)CHE模型;(b)显示溶剂模型的热力学积分结果
作者最后对传统的CHE模型和研究中所构建的显式溶剂模型的结果进行了对比。在CHE模型中,电极电势作用使用ΔGU项校正。对于N2吸附过程中,该校正系数为0,N2吸附不受吸附自由能影响,吸附自由能保持在-0.23eV。而第一步活化加氢过程中,该校正系数为1,因此要在-1.24V的电势下反应才能进行。在显式溶剂化模型中,不同电位下,N2吸附能大约为-0.5eV。而电极电势可以显著影响第一步加氢过程,使得该步在-0.68V的电势下可以成为放热反应,并且大幅降低了反应能垒。由于该步为决速步,因此在-0.48~-0.68eV的电极电位下,N2已经可以自发活化加氢。与实验结果非常吻合。
原文基本信息:Qian S.; Cao, H.; Chen, J.; Chen, J.; Wang, Y-G.*; Li, J.*Critical Role of the Explicit Inclusion of the Solvation Effect and Electrode Potential in the Electrochemical Description of Nitrogen Reduction. ACS Catal. 2022, 12,11530-11540, https://doi.org/10.1021/acscatal.2c03186
本文作者综合考虑了溶剂化模型和CHE模型,,使得计算结果更加贴合实验结果,过程中需要手动在真空层上方添加水分子层,并测试,同时对于表面电极电势则又需要认为添加H原子进入体系,对于建模水平要求较高,同时后续处理时,使用手动热力学积分的方法,需要处理大量的数据。虽然思路明晰,但是在实际操作中还是存在一定的问题:
(1)初学者模型搭建不熟练,不能很好的搭建中间体吸附和溶剂化模型
(2)模拟过程中使用多种模拟方法,如DFT, MD等,学习的时间成本大,软件下载困难,环境编译困难,参数设置繁琐且易出错。
(3)后处理需要各种插件,由于缺乏Linux知识和编程能力弱;计算过程中产生大量数据,容易产生处理不及时和数据易丢失的问题,不能很好的处理得到正确结果。不能很好的与实验数据整合
相比之下,MatCloud+平台的功能更加齐全和方便
(1)提供完整的晶体数据库支持在线搜索所需的晶体结构,且建模界面方便友好,可以很容易按照用户想法添加水分子层,同时方便高通量构建反应吸附模型,批量筛选活性位点,构建表面缺陷。
(2)整合了VASP、Lammps等计算软件,无需下载,可以在同一平台完成DFT计算和分子动力学模拟,并且无需编程基础,即可快速上手模拟计算、跨尺度模拟、高通量筛选和机器学习。
(3)平台对于每一次的计算都有数据记录,结果可自动导入后台数据库,方便用户后续进行分析整合,解决了数据易丢失的问题、难以溯源、难以整合的问题。

