//
近日,吉因加与中国医学科学院肿瘤医院韩逸群博士,王佳玉教授及徐兵河院士合作的一项临床试验研究成果在‘Signal Transduction and Targeted Therapy’杂志上发表。
项目背景
近几年,免疫检查点抑制剂和抗血管生成药物取得了良好的治疗效果,在肿瘤的治疗中发挥了重要作用,有效控制和延缓了病情发展,改善了患者的生活质量。目前,多项研究已经在肝癌,肺癌,结直肠癌,胃癌,乳腺癌等多种癌种上开展,越来越多的研究结果也显示免疫检查点抑制剂联合抗血管生成相互协同,可以提高患者的PFS和OS,使肿瘤患者从中获益。此项研究在联合治疗的基础上,开展生物标志物探索性研究,寻找更适合的指标用作分子分层,为肿瘤患者带来更多获益。
检测方法
此次研究共招募患者34例,基线期共有31例患者接受了NGS ctDNA检测,2例患者因最佳疗效无法评估而被排除分析。其中14例患者在疾病进展后再次进行NGS测序。NGS测序采用吉因加1021大Panel对血液样本进行检测;1021大Panel在临床试验中既可满足入排检测的精确性,及时性,也因其优秀的设计,对肿瘤发生发展基因的全面覆盖,使其可充分满足临床试验中的探索性研究需求。
上图为实验设计
主要结果
■ 表明bTMB,MSAF与患者ORR及PFS相关
研究使用中位bTMB将患者分为bTMB-H(高)和bTMB-L(低)组,bTMB-L组对安罗替尼+贝莫苏拜单抗显示出更高的ORR(客观反应率,50% vs. 7%),更长的mPFS(中位无进展生存期,7.3个月 vs. 4.1个月)。研究还同时分析了以MSAF(最大体细胞等位基因突变频率)作为生物标志物,对联合治疗的疗效和预后的预测作用。以中位MSAF(10%)进行分组,MSAF-L组呈现出更高的ORR(43% vs. 20%)和更长的mPFS(7.9个月 vs. 2.7个月)。
bTMB-L,MSAF-L的TNBC患者对免疫和抗血管联合治疗的反应可能更好
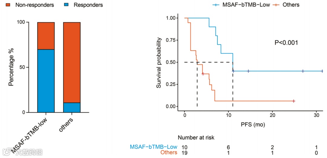
■ bTMB,MSAF结合综合判断患者状态可提高预测相关性
单一指标在疗效的预测中显示出了很好的关联效果,但是仍然存在局限,研究进一步分析了是否可以综合两个指标以提高关联。人群分成了MSAF-bTMB-L组(bTMB,MSAF都低),和其他组(Others)。结果显示,相比Others,MSAF-bTMB-L人群拥有更高的ORR(70% vs. 11%)和更长的mPFS(11.0个月 vs. 2.9个月),综合分类的效果比单一指标更好。
MSAF-bTMB-low患者显示出更好的疗效
临床意义
三阴性乳腺癌治疗手段有限,尤其缺乏有效的生物标志物对治疗进行有效指导。此项研究的结果表明bTMB与MSAF的结合可能是预测经治复发或转移性TNBC患者对联合免疫治疗和抗血管生成治疗反应的潜在生物标志物。这是第一个将bTMB和MSAF结合作为生物标志物与接受联合免疫治疗和抗血管生成治疗的aTNBC患者的治疗反应和生存结果相关的研究。
此项研究结果促进了免疫治疗联合抗血管生成治疗方案的分子分层策略研究,同时为其他癌种中类似方案的先关研究探索提供了线索和经验。
关于临床试验NCT03855358
NCT03855358是中国医学科学院肿瘤医院徐兵河院士主导的一项PD-L1抑制剂贝莫苏拜单抗联合抗血管生成药物安罗替尼联合治疗晚期三阴乳腺癌患者的临床试验。该临床实验开始于2019年5月,2020年12月结束,项目预期招募患者30名。项目申办方为正大天晴(Chia Tai Tianqing Pharmaceutical Group Co., Ltd)。
吉因加药企服务
吉因加提供覆盖基因组数据服务、中心实验室检测、伴随诊断开发(CDx)及商业化、患者招募等贯穿药物研发全过程的科研及临床服务,协同药企推动新药的研发、审批和上市,让患者更快享受到精准医疗带来的实惠。
伴随药物研发上市全过程的检测服务
关于吉因加科技服务
吉因加创立于2015年,是诞生于精准医疗大背景下的创新型高科技企业。公司坚持国产自主战略,以检测、制造和数据三大平台为载体,提供面向医学、科技、健康三大业务方向的基因检测产品与服务,实现从技术突破、学术引领、产品创新到市场领先的发展之路。
自2019年底以来,吉因加基于DNBSEQ-T7、Gene+系列国产测序平台和吉云数据分析平台,推出大型基因组测序项目服务,精心打磨NGS测算一体、单细胞、GM-Seq等核心产品,为科技服务领域500多所高校、科研院所、医院和企业提供全方位、多元化的组学数据服务,近3年产出数据多达10Pb,在科技服务领域形成了快捷、精准、可靠的品牌影响力。

