螺[4.5]癸烷的合成:
Nazarov试剂环化氮二烯
引言
螺[4.5]癸烷骨架广泛存在于天然产物和有用的生物活性化合物,这种骨架的有效合成在有机化学领域引起了持续的兴趣。合成螺环化合物的最常见方法依赖于金属催化或有机催化的多米诺环化反应,但Nazarov试剂有效合成全碳螺[4.5]癸烷骨架的例子很少,因此,本文提出用Nazarov试剂环化氮二烯构建螺[4.5]癸烷,提出了可能的反应机理,并进行了相应的DFT计算。
结果分析
文中对反应条件(溶剂、温度、反应物比例等)进行了优化,可以把反应收率提高到94%(图1),并通过X射线晶体结构证实了产物3a的结构。
图1
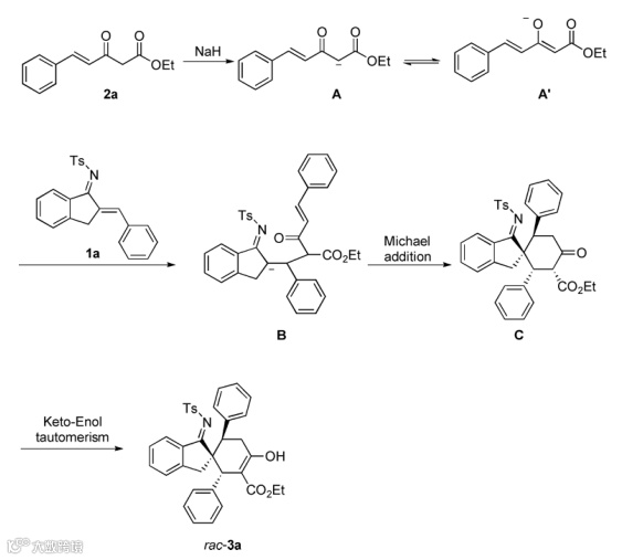
本文根据实验结果和相关文献报道,提出了可能的反应机理(如图2):Nazarov试剂2a被NaH去质子化,得到具有两种共振结构的共轭碱,碳阴离子形式A和烯醇化物形式A'。随后,A在1a上的亲核加成生成中间体B,该中间体随后通过分子内Michael加成转化为中间体C。最后,中间体C进行酮-烯醇互变异构反应,形成所需产物3a。
图2
文中进行了密度泛函理论(DFT)计算来验证所提出的机制,相应的自由能分布如图3所示。
图3
四氢呋喃溶液中,NaH对2a的亚甲基的去质子化产生离子对中间体A,A将与底物1a偶联以形成所需产物3a。在第一步中,A在1a上的亲核加成通过过渡态TS-1,自由能为11.8kcal/mol,以产生中间体B(ΔG=2kcal/mol)。在第二步中,通过C-C键的形成一个六元环结构的过渡态TS-2,自由能为14.6kcal/mol,产生不稳定的烯醇化物中间体C(ΔG=12.4kcal/mol)。最后,C转化为相对稳定的物种3a-Na,这是3a的钠盐形式。可以看出反应是自发进行的,总自由能变化为-5.2kcal/mol。根据整个反应路径自由能曲线,反应决速步骤为TS-2的过程,我们使用AlphaCat智算平台针对决速步进行了计算,如图4所示,平台计算该过程反应活化能为12.79 kcal/mol,计算结果与文献结果几乎一致。AlphaCat智算平台进行过渡态任务的计算,提交简单,全流程自动调参,结果可视化,完全可以用来计算本篇文章中所涉及的DFT任务。
图4
结论
Nazarov试剂环化氮二烯生成螺[4.5]癸烷。以高产率获得了一系列全碳螺[4.5]癸烷衍生物并通过DFT计算探讨了反应机理,C-C键的形成为反应过程中的决速步骤,文献中螺[4.5]癸烷的研究为螺[4.5]癸烷衍生物提供了新思路。
参考文献:Wang W, Wang Y, Zhao X, et al. Construction of spiro [4.5] decanes via annulations of azadienes with Nazarov reagent and DFT studies[J]. Asian Journal of Organic Chemistry, 2023: e202300152.
- END -
北京深云智合科技有限公司秉持绿色发展理念,推出电子级AI+自动化+高通量DeepChem智能合成平台,基于人工智能、计算化学、云平台和智能合成机器人,通过设计目标分子及其合成路径,探索催化剂、溶剂和温度等反应条件对结果的影响,进而提供深度的分子合成研发,以推动AI+绿色创新的多场景应用。
点击阅读全文即可打开智算(AlphaCat)平台~
现在注册即送2000核时!快来alphacat.deepchem.cn试试吧~

