
一、可转换债券的含义及性质
由于可转换债券条款及性质的复杂性,在会计核算上不能将其按基础金融工具进行处理,其会计处理和估值方法较之通常意义上的债券及股票都具有复杂性。本文重点分析了在现行会计准则下,可转换债券的发行人如何对其进行核算。
二、可转换债券初始确认的会计处理
1. 识别金融工具组成成分
2. 确定金融负债成分的公允价值
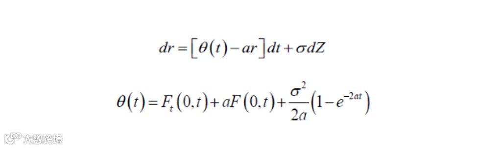
该条款意味着发行人有权在特定时点赎回无固定期限资本债券,主动结束该段债权债务关系。二叉树/三叉树方法因其适应性较强,在国际上被广泛应用于各类期权的估值中。因此我们认为可以采用基于Hull-White模型的三叉树方法估计赎回条款的价值。本方法的基本原理是基于Hull-White模型,利用三叉树方法模拟短期利率在未来一段时间的变动路径,并根据不同利率路径上的行权情况递推债券估值。其中Hull-White模型形式如下:
参数说明:r为短期利率;a为利率均值回复速度;σ为利率波动率;F(0,t)为0时刻所观察的在t时刻的瞬时远期利率,Ft(0,t)表示F(0,t)关于t的偏导数。
4. 确定权益成分价值
(未完待续)

免责声明:本文是为提供一般信息的用途所撰写,并非旨在成为可依赖的会计、审计、税务、法律或其他专业意见。阅读者应区分具体情形,合理运用执业判断进行分析。本所及相关编写人员不对依据本资料采取或不采取行动的任何损失承担责任。
如欲转载本文,务必原文转载,不得修改,且标注转载来源为:天职国际官方微信公众号。如需修改内容,需要获得天职国际的书面确认。
往期推荐






