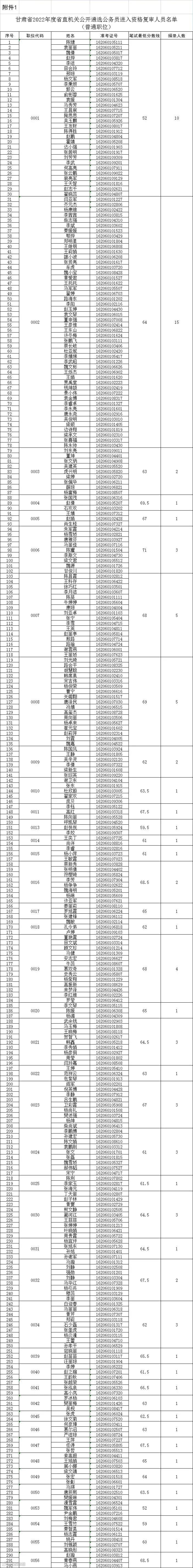
关于公布甘肃省2022年度省直机关公开遴选公务员进入资格复审人员名单及资格复审地址和咨询电话的通知
我省2022年度省直机关公开遴选公务员笔试成绩已公布,现将进入资格复审人员名单及公开遴选单位资格复审地址和咨询电话予以公布。请进入资格复审的考生按照遴选单位指定的时间和相关要求进行资格复审。因资格复审不合格所出现的空缺,按照笔试成绩由高到低依次进行递补复审。
中共甘肃省委组织部
2022年8月19日
来源:甘肃组工网
编辑:柳 叶
责编:李淑娟
审核:杜国亮

