本教程只涉及到特定业务场景相应功能的实现方法,没有使用到搭搭云企业超级应用平台的所有功能,想要实现更全面、更复杂的软件功能,请访问 搭搭云官网(www.dadayun.cn) ->开发者->零代码教程,查看更多图文与视频教程。
业务场景
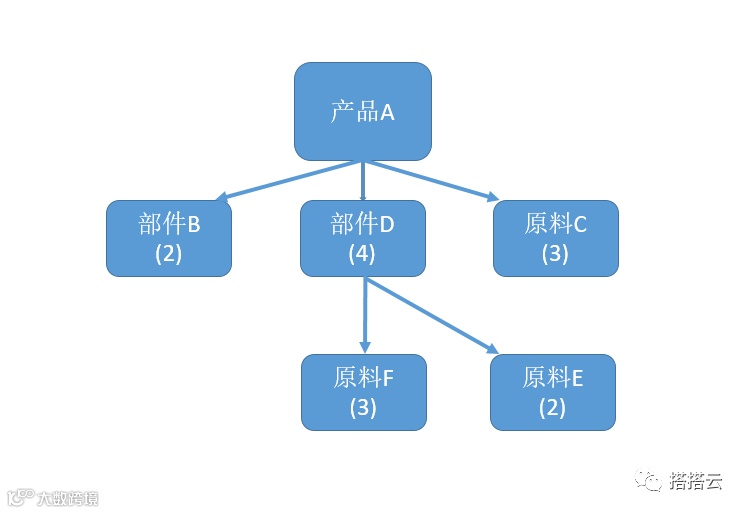
生产制造型企业,都会用BOM表记录产成品与部件、原材料之间的结构层次关系,以及每个部件所需的各下属零部件的数量。BOM表清晰的反应了产品的组成结构及所需的物料。如下图所示,在生产过程中我们需要根据BOM表对产品进行物料拆分,将拆分的结果用于指导物料采购、外协加工、生产配料等环节的工作。
解决的问题
一家企业不同的业务场景,需要使用不同BOM拆解规则
不同的生产环节,需要不同的BOM拆解规则
BOM拆解时,需要拆解到不同的部件细粒度
功能特点
可根据实际业务场景设计不同的BOM拆解规则
不同的生产环节,可设计不同的BOM拆解规则
BOM拆解时,可设置不同的拆解细粒度,既可以拆解到最底层物料,也可以拆解到半成品
配置方法
我们需要单据来记录BOM物料信息以及PMC计划相关数据。(如果系统中之前已导入下述单据,可忽略此步骤)
在Word文档中,制作如下图所示的单据:


打开浏览器(推荐Chrome浏览器),输入网址:dev.dadayun.cn登录搭搭云开发环境。点击“表单模板编辑”菜单,点击“新建”按钮,进入表单模板设置页面。如下图所示:
点击“从Word识别导入”按钮,选择需要导入的Word单据模板,然后选择“普通动态表单”这个单据类型,点击确定。如下图所示:
Word单据模板导入系统后自动识别生成的表单模板界面,如下图所示:
点击左上角“保存模板”按钮,保存当前导入的BOM单模板。
单据模板导入完成后,系统会自动生成软件界面,同时在数据库中创建数据表。
按照上述同样的操作步骤,把[PMC计划单]等单据导入系统。
❖ 设置BOM单字段属性
设置[BOM单]单据模板中的字段为自动填写及数据源。在录入[BOM单]时,无需手动输入,通过选择即可完成数据的录入,既简化了员工手动输入的工作量,也保证了数据格式的统一性。如果系统中未存有[物料信息表]单据模板,需要创建一张[物料信息表]的单据模板,如果系统中已存有[物料信息表]单据模板,那么直接设置字段属性信息即可。如下图所示:
❖ 设置PMC计划单字段属性
设置[PMC计划单]单据模板中的字段为自动填写及数据源。具体设置方式如下图所示:
按照同样的方式设置[PMC计划单]单据模板中的<物料需求清单>列表各个字段的属性。
在企业生产中,不同的生产环节需要使用不同的BOM拆解规则,例如:在进行物料需求分析时需要将所有的物料都拆解到最底层,在采购物料分析时需要拆解出所需采购的物料清单。在BOM规则设置界面中可以设置多种BOM拆解规则。具体设置方法如下:
在开发环境(https://dev.dadayun.cn),点击“ERP功能设置”菜单,点击“BOM规则设置”菜单,点击“新建”按钮。如下图所示:
选中新创建的BOM规则,在右侧<BOM规则详细设置>中设置相关设置项。首先我们选中“基本信息”页签,将<BOM规则名称>重命名为“PMC需求拆解”,选择<物料信息表>为“物料信息表”,<BOM表>为“BOM单”,<BOM子表>为“物料清单”。具体效果如下图所示:
在<BOM规则详细设置>中,选择“物料信息配置”页签进行设置,在本页签中设置[物料信息表]的信息。具体设置如下图所示:
在<BOM规则详细设置>中,选择“BOM信息配置”页签进行设置,在本页签中设置[BOM信息表]的信息。具体设置如下图所示:
在<BOM规则详细设置>中,选择“计算选项”页签进行设置,在本页签中设置BOM拆解计算规则的信息。具体设置如下图所示:
设置完成所有的配置项,将该配置规则启用,勾选“启用”选项,点击左侧的“保存”按钮,将BOM拆解规则保存。如下图所示:
上述已经设置完了BOM的表单模板以及BOM拆解规则,下面我们将设置这两者的关联关系,以明确物料拆解时使用哪种BOM规则进行拆解。点击“表单模板编辑”菜单,找到[PMC计划单]表单模板,打开该模板,点击<物料需求清单>列表空白处,即选中该列表,点击右侧的“自动填写”设置项,选择<自动填写类型>为“与控件关联”,<列表引用方式>为“按BOM规则计算”,<自动填写来自>为“PMC计划清单-PMC计划清单”。具体设置如下图所示:
在<BOM拆解计算设置>页面设置BOM拆解计算规则,在<BOM规则>中选择“PMC需求拆解”规则。如果需要其他拆解规则,则选择其他规则。设置如下图所示:
设置完成BOM的拆解规则,点击“确定”按钮,完成该设置项的配置,点击左侧的“保存”按钮,将表单的设置项保存。
❖ 菜单权限
❖ 数据权限
进入用户环境(https://qiye.dadayun.cn),点击“生产管理”菜单,点击“BOM单”菜单,在[BOM单]中录入BOM数据。如下图所示:
点击“生产管理”菜单,点击“PMC计划单”菜单,在[PMC计划单]中录入PMC数据,如下图第一张图所示。点击“展开BOM”按钮,将产品数据按照设定的BOM规则拆解成如下图第二张图所示的效果:


总结与延伸
运用同样的方法,可以将采购需求计划、委外加工需求计划等通过BOM拆解,拆解出所需的物料清单,为后续的生产环节提供数据支持。
点击阅读:5分钟了解搭搭云的商业模式——搭搭云创始人万斌发布会演讲全文
点击阅读:重塑渠道价值,为软件开发商提升30%的利润不是玩笑
微信、网站、APP与企业软件
一体化的超级应用平台
微信号:dadayun2009
长按下方二维码关注搭搭云公众号

长按下方二维码访问搭搭云官网

点击阅读原文,了解“全家桶”超值风暴促销活动!

