

档即用网www.downjy.com向您分享如下的“GRR”的知识。原版文档下载方法参照文章底部说明~
在测量系统分析中,为什么计量器具的分辨率是首先要考虑的因素?因为计量器具的分辨率是仪器设计时的固有特性,做为测量过程的重要组成部份,如果仪器的分辨率都不满足要求,后续测量过程的能力(GRR%)通常是不会满足要求的。
1、什么是分辨率以及对分辨有什么样的要求?

在MSA手册中提到,测量的问题主要是三个方面:
(1)测量系统是否具有足够的分辨率?
(2)测量过程的误差随时间是否具有统计稳定性?
(3)测量过程的误差(统计特性)相对于用途是否满足要求?
对于第一个问题,测量系统是否具有足够的分辨率?分为两步研究,首先,测量仪器的显示分辨率是否满足1/10的原则,其次,考虑到整个测量过程的变差,能把制造过程的零件波动分成几个等份,可以用ndc来表达,通常也称为测量系统的有效分辨率。
在通用计量术语及定义中,对显示装置分辨率的定义为“能有效辨别的显示示值间的最小差值”。通常它就是指量具的最小刻度,如处图所示。

对于这种定义的理解,不能被理解为是测量设备测量值的最后一位读数,比如,测量设备测量某个特征得以的测量值为12.305mm,不能认为显示装置的分辨率就是0.001mm,它也有可能是0.005mm,那么如何较好的从测量值的角度去理解分辨率的概念呢,我们可以在数值离散图上去看,如下图所示,相邻最近的两个不同值之间的差值即为量具的分辨率。
在MSA手册中,对于显示分辨率的要求,通常用1/10法则,即量具的分辨率是公差和过程变差较小者的1/10,以前的质量管理活动侧重在产品控制时,按公差的1/10选择量具即可,当前的质量管理活动强调过程控制,需要按过程变差的1/10来选择。通常在量具选购阶段,实际加工过程的过程变差是不知道的,很多企业在选购量具时直接按照公差的1/10来选择,这样的量具选购方式必然会导致后期测量系统分析时不能满足要求。
2、为什么显示分辨率为公差的1/10, GRR%不能满足小于10%的要求?

前面提到能有效辨别的显示示值间的最小差值称为显示装置的分辨力,考虑到整个测量过程的变差,测量过程能有效识别测量值的波动范围,即测量过程的随机变差范围通常也称为GRR,通常Resolution<=GRR。
如果在选择量具时,仅仅满足Resolution/T(公差)=1/10,因为Resolution<=GRR,而T>PV(过程变差),此时要求GRR%(GRR/PV)<=1/10通常不现实,例如,数显游标卡尺的分辨率为0.01mm,使用这把卡尺去测量产品特性(公差为0.1mm)的测量系统的随机误差,除了包含量具分辨率的影响,还包括人与人的不同的差别,测量系统本身的重复性误差,故GRR通常是大于0.01mm的,此时用GRR/0.1应该是大于10%,更何况过程变差比公差小,如计算占过程变差的百分比,则GRR%会更大。
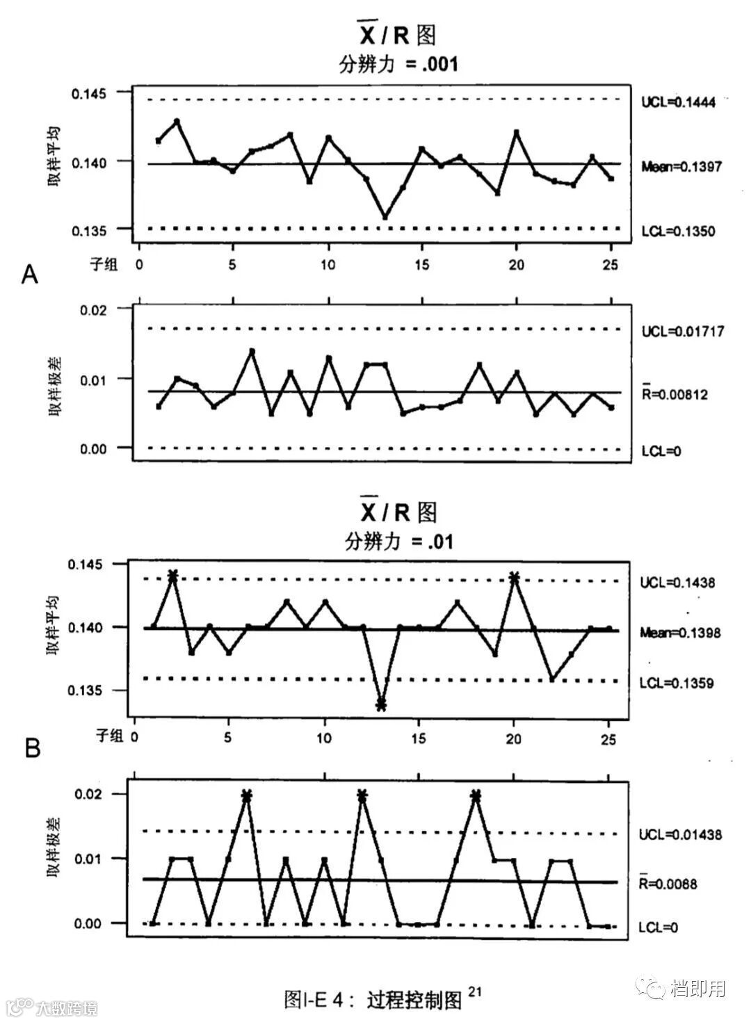
MSA手册中提到在进行spc控制时,不合适的分辨率的最佳象征,可由极差图看出来,尤其是,当极差图中只有一、二、三种可能的极差值在控制限内时,或者极差图显示有4种可能的极差值在控制限值内且超过四分之一以上的极差值为0,则该测量是在分辨率不足的情况下进行的,如下图所示,上面为分辨率为0.001的情况,下图为0.01的情况。

当然,我们在前面也提到,当测量系统的分辨率不足时,通过样本数据没有办法对过程的分布模型进行合理的推断,如下图所示:

如果显示装置的分辨率不按公差的1/10来选择,而是按过程变差的1/10来选择的话,通常在进行设备能力研究时,要求设备能力指数为2.0,即过程变差为公差的1/2,要求量具的分辨为过程变差的1/10,即公差的1/20.在ISO22514-7国际标准,包括Bosch, VW, BMW, GM等汽车公司标准中,通常规定量具的分辨率需要小于公差的5%,基于这样的标准来选择量具,是后期进行测量过程验收的前提条件。
当然,对于使用光栅尺的测量设备而言,其测量的重复精度在它生产出来后是固定的,但可以通过软件的设置显示位数不一样,从而使得它的最小显示分辨差值发生改变,通常对这类量具的选购会按最大允许误差(MPE)有选购,MPE在通用计量术语及定义(JJF1001-2011)中定义为:对给定的测量、测量仪器或测量系统,由规范或规程所允许的,相对于已知参考量的值的测量误差的极限值。通常这类测量设备的选购要求MPE小于公差的1/10。
3、如何选择量具的分辨率

在这篇短文中,我们介绍了测量仪器显示分辨率定义,强调在进行测量系统分析时,首先要考虑的是量具的显示分辨率,也说明了如果显示分辨率不满足时,对后期测量过程能力研究,生产过程控制的影响。
(1)结合一些公司标准,建议企业在选购量具时,按公差的1/20来选购量具, 同时对于使用光栅尺的测量设备,建议按相关技术规范中的MPE来选购测量设备,当然,对于标准量具,因为其生产和检定都有相关的技术规范,通常除了分辨率满足公差的1/20,其MPE也应满足公差1/10的要求。
(2)测量系统分析的工作开始于测量设备的采购需求提出,测量过程的前期策划开发活动可以参照APQP的流程,量化的验活动必要时,可以在量具供应商预验收阶段开展,在终验收阶段,最终确认测量过程的能力,量产后, 主要是控制测量过程的稳定性。
(3)量具的分辨率的选择是测量系统分析的重要内容,我想大家再也不会接受量具的分辨率为公差的1/10,而计算出来的GRR%<10%的MSA报告了吧。
浏览完整内容,请下载原版文件。
下载方式如下:请登录 [档即用网] www.downjy.com
进入【内部质量/供应商质量】专栏,或搜索【GRR】即可下载
往期优秀文章:
长按二维码加入档即用,更多制造业管理知识享不停


