大数跨境
0
0

中科大「国家高层次人才」葛君杰/长春应化所王颖AM |“连接基团导向”高质量活性Fe-N-C正极助力PEMFC!

中科大「国家高层次人才」葛君杰/长春应化所王颖AM |“连接基团导向”高质量活性Fe-N-C正极助力PEMFC! 微算云平台
2026-01-11
0
导读:文献速递
【做计算 找华算】华算科技新年献礼,经费预存高至30%增值,更有8500+返利直接送!限时福利,快冲!

Science正刊再+1!华算科技DFT计算全场5折!仅限本周,速抢!

原子级分散的Fe-N-C催化剂被视为质子交换膜燃料电池(PEMFC)中铂族金属(PGM)催化剂的有前景替代品,但是其在膜电极组件(MEA)中活性位点的利用率不足,阻碍了进一步的发展。
2026年1月8日,中国科学技术大学葛君杰、Hao Wan中国科学院长春应用化学研究所王颖国际知名期刊Advanced Materials发表题为《Linker Group Directed High Mass Activity Fe-N-C Cathode in Proton Exchange Membrane Fuel Cells》的研究论文,Zhechen Fan为论文第一作者,葛君杰、Hao Wan、王颖为论文共同通讯作者。
在本文中,作者开发了一种高质量活性的O-FeNC催化剂,兼具高活性位点密度与显著提升的位点利用率。C=O基团作为硬碱连接臂,通过路易斯酸碱相互作用促进 FeN₄ 位点的致密化;同时,它们在三相边界内定向界面排布,使水合氢离子富集并通过调控离子聚合物纳米相分离加速氧气渗透。
由此,所得O-FeNC正极在0.90 ViR-free下实现66.45 mA cm-2的电流密度,超越美国能源部2025年目标(44 mA cm-2,0.9 ViR-free),其质量活性比商业Pt/C高出59%。峰值功率密度在H2-O2条件下达到1.8 W cm-2,在H2-O2条件下达到0.93 W cm-2;通过克级合成与500 W无PGM正极电堆原型,验证了工业可扩展性。

原子级分散的非贵金属催化剂,尤其是Fe-N-C单原子催化剂(SACs),被视为质子交换膜燃料电池(PEMFC)中替代铂族金属(PGM)的下一代阴极催化剂基石。这些Fe位点通常被认为是模拟天然血红素中心的FeN4配位结构,但目前仍受限于短寿命和/或不令人满意的催化效率。

关于催化剂稳定性的持续研究表明,与吡啶氮配位的Fe(即S2结构FeN4C10)可显著提升催化剂稳定性;同时,通过构建内曲面来嵌入FeN4,在300 h的连续燃料电池运行中展现出优异的稳定性。这些进展使Fe-N-C催化剂在耐久性方面向规模化应用更近一步。

为使Fe-N-C驱动的PEMFC能够与Pt基系统有效竞争,必须大幅提高Fe位点密度,因为这些Fe原子反应器并行工作并共同贡献功率输出。值得注意的是,虽然理论上提高Fe前驱体投料比例应能按比例增加总反应速率,但现实情况远为复杂:i)增加Fe前驱体投料比并不一定能保证形成单原子位点,由于锚定位点密度不匹配,热力学上更倾向于形成Fe颗粒;ii) 催化剂中高密度的原子Fe位点并不一定等同于运行中的PEMFC中高密度的活性位点。

特别地,一个活性Fe位点需要电子、O2分子和水合氢离子(H3O+)同时汇聚于同一原子位点。因此,建立通往活性位点的畅通路径——即催化剂/H3O+/O2三相边界(TPB)——至少与单纯增加Fe负载同等重要,甚至更关键。不可否认,Fe SACs的位点利用率低得惊人,仅约4.5%的总Fe原子(每克6.3×1018 vs.1.40×1020原子)被利用。

这一低利用率可归因于Fe被埋藏在碳基质中,或 O2/H3O+传导通道不匹配。例如,碳基催化剂的疏水性可能阻碍质子接近活性位点;同时,全氟磺酸(PFSA)离子膜与催化剂表面的不匹配可能阻碍O2向活性中心渗透。这些问题共同降低了Fe在燃料电池中的原子效率,导致其质量活性远低于Pt,并阻碍了其进一步发展。

作者通过超氧自由基(O2-)蚀刻策略向Fe-N-C催化剂引入C=O官能团(记为O-FeNC),以应对上述挑战。C=O基团作为硬碱连接臂,在高温催化剂热解过程中捕获气相中的边界酸Fe物种,从而实现高达8.96×1019 sites g-1的可及位点密度(SD)。

此外,C=O基团还能调控PEMFC中催化剂表面的离子膜组装,形成对反应物友好的界面(兼具 H3O+和O2),从而大幅延长TPB。这两项优势使Fe SACs驱动的PEMFC在H-O2/H2–空气工况下分别实现1.8 W cm-2/0.93 W cm-2的高峰值功率密度。

值得注意的是,其性能远超美国DOE 2025目标(66.45对44 mA cm-2,0.9 ViR-free),质量活性较商业Pt/C催化剂提高59%。通过10克级催化剂合成并组装500 W短堆,进一步展示了面向实际应用的成本效益型PEMFC开发进展。

图片
图1:锌-氮-碳(Zn-N-C)载体的理论预测与结构分析。a)基于DFT计算FeCl2在不同碳载体上的吸附能。灰色、白色、红色、黄色和绿色球分别代表碳、氢、氧、铁和氯原子。b)电子顺磁共振(EPR)谱图:空白DMSO溶液、KO2/18-冠-6-DMSO溶液、NC以及KO2/18-冠-6-NC-DMSO溶液。上述溶液中加入5,5-二甲基-1-吡咯啉N-氧化物(DMPO)作为O2-捕获剂;实心黄色三角形和空心黄色三角形分别标记O2-自由基和DMPO-O2-加合物的信号。c)NC与O-NC载体的固态13C NMR谱图。d,e)两种载体的C K-edge(d)和O K-edge(e)软X射线吸收光谱。f)高温热解过程中,碳载体上邻近氧官能团参与金属置换反应的示意图。
图片
图2:催化剂的结构分析与催化性能。a,b)FeNC(a)与O–FeNC(b)的高角环形暗场扫描透射电子显微镜(HAADF-STEM)图像。c)FeNC与O–FeNC的拉曼光谱。d–f)两种催化剂的C K-edge软X射线吸收光谱(d)、Fe K-edge XANES光谱(e)以及实空间傅里叶变换EXAFS(R 空间,f)。g)通过亚硝酸剥离法测定的两种催化剂的活性位点密度(SD)与转换频率(TOF)对比。h)催化剂氧还原反应(ORR)活性对比。i)O–FeNC催化剂在70000圈加速老化测试(AST)前后的活性演变。
图片
图3:对O-FeNC催化剂的机理分析。a–d)界面结构快照。灰色、白色、黄色、青色、紫色、橙色和蓝色球分别代表碳、氢、硫、氟、氧、铁和氮原子。
e)离碳表面z轴方向的离子聚合物密度分布。f)在12%含氧Fe–N–C模型上方1 nm内,水合离子聚合物在X-Y平面的密度分布。g)不同表面氧含量Fe–N–C上的O2渗透性能。h,i)离子聚合物复合后的FeNC(h)与O–FeNC(i)的STEM图像。j,k)FeNC(j)与O–FeNC(k)催化剂上三相边界(TPBs)的示意图;左上角插图展示对应的离子聚合物-碳复合结构。
图片
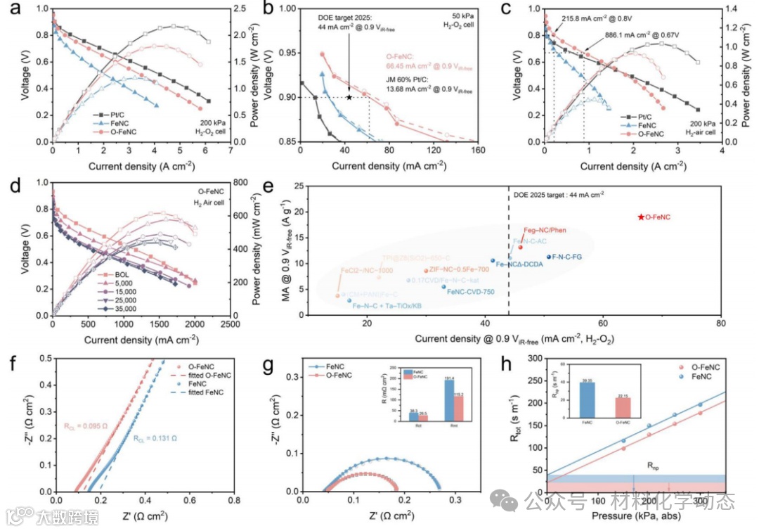
图4:O-FeNC催化剂的膜电极组件(MEA)性能。a)在200 kPa背压下,阴极的H2-O2燃料电池性能。b)在50kPa O2、0.9ViR-free条件下测定催化剂活性;黑色星号标注美国DOE 2025目标,MEA活性面积为1 cm2c)在200 kPa下,阴极的H2-空气燃料电池性能。d)O-FeNC阴极在35000圈加速应力测试(AST)过程中的初始(BOL)与结束(EOL)H2-空气燃料电池性能。e)在50 kPa O2、0.9ViR-free条件下,O–FeNC的动力学电流密度与催化剂质量活性与文献报道值的对比。f)在0.5V、H2-N2条件下的燃料电池奈奎斯特图。g)在1 A cm-2电流密度下的燃料电池奈奎斯特图;插图显示等效电路拟合得到的电荷转移电阻(Rct)与传质电阻(Rmt)。h)极限电流法得到的总氧传输电阻(Rtotal)与绝对气体压力的线性关系;插图为压力无关电阻(Rnp)数值。
图片
图5:O-FeNC催化剂的500W燃料电池电堆。a)组装后电堆的照片。b)电堆结构示意图。c)电堆性能曲线。d)Pt/C与O–FeNC催化剂成本分析;最大与最小值之间的空心框表示平均价格,铁的价格以商用钢材为基准。
综上,作者通过引入C=O官能团,开发出一种高活性、高稳定性的Fe-N-C单原子氧还原催化剂(O-FeNC),实现了在质子交换膜燃料电池(PEMFC)中的性能突破。C=O基团不仅作为硬碱连接剂促进FeN4活性位点的高密度形成,还通过调控三相界面结构,优化了质子与氧气的传输路径,显著提升了活性位点的利用率。
该催化剂在0.9 ViR-free下实现了66.45 mA cm-2的电流密度,质量活性达19.0 A g-1,远超美国能源部2025年目标,并在H2-O2和H2-空气条件下分别实现1.8 W cm-2和0.93 W cm-2的峰值功率密度,优于商业Pt/C催化剂。
此外,O-FeNC在35000次循环加速老化测试后仍保持70%以上的峰值功率,展现出优异的耐久性。研究还实现了克级催化剂的批量合成,并成功组装500 W级燃料电池堆,验证了其工业可扩展性。
该成果不仅为非贵金属催化剂在燃料电池中的实际应用提供了可行路径,也为低成本、高效能、可持续的能源转换技术发展奠定了坚实基础,具有广阔的产业化和商业化前景。
Linker Group Directed High Mass Activity Fe-N-C Cathode in Proton Exchange Membrane Fuel Cells. Adv. Mater.2026.  https://doi.org/10.1002/adma.202518053. 
#AM#王颖#葛君杰#中国科学技术大学#电池#中国科学院长春应用化学研究所
👉 点击阅读原文,立即下单!

【声明】内容源于网络
0
0
微算云平台
做计算 找华算!电话:13129551561
内容 13603
粉丝 0
微算云平台 做计算 找华算!电话:13129551561
总阅读252
粉丝0
内容13.6k