大数跨境
0
0

贺泓院士领衔!中国科学院大学徐光艳JACS | ZnOx/Cu 界面的电子金属–载体相互作用提升甲醇水蒸气重整制氢效率!

贺泓院士领衔!中国科学院大学徐光艳JACS | ZnOx/Cu 界面的电子金属–载体相互作用提升甲醇水蒸气重整制氢效率! 微算云平台
2026-02-03
1
导读:文献速递
【做计算 找华算】福利加码!新年预存增值高至30%!更有8500+返利直接送,一次预存,全年无忧!
科研贺新春!华算科技DFT计算6折不打烊!涵盖催化、电池、半导体等领域,名额有限,即刻预约!

甲醇水蒸气重整(MSR)是一项颇具前景的现场制氢技术,但广泛使用的Cu/ZnO/Al2O3催化剂中锌的作用机制一直模糊不清。电子金属–载体相互作用(EMSI)常被用来调控此类多相催化剂的活性位点,为优化能量转化过程提供了新途径。

2026年1月29日,中国科学院大学徐光艳贺泓在国际知名期刊Journal of the American Chemical Society发表题为《Electronic Metal–Support Interaction at ZnOx/Cu Interface Enhances H2 Production in Methanol Steam Reforming》的研究论文,Diru Liu为论文第一作者,徐光艳贺泓为论文共同通讯作者。
图片

在本文中,作者揭示了Cu与ZnO之间动态EMSI的强化机制:通过构建ZnOx/Cu界面,实现ZnOx与Cu之间的双向电子转移。ZnOx→Cu的电子传递抑制了水活化过程中Cu0过度氧化为Cu+,从而提升水活化效率;而Cu→ZnOx的回传电子则加速Cu+还原为Cu0,促进低温下ZnOx/Cu界面处甲酸中间体的脱氢——该步骤为低温反应的速率决定步骤。

由此,作者确立了EMSI诱导的ZnOx/Cu界面在稳定活性中间体与促进氧化还原循环中的双重角色。这些发现为通过EMSI工程精准调控催化活性位点提供了新思路,并为可持续能量转化高效催化剂的设计指明了方向。

甲醇水蒸气重整(MSR)是现场制氢的高效、可持续路线。Cu/ZnO/Al2O3催化剂在该反应中表现优异,并同样适用于CO2加氢、水气变换(WGS)等关键能源转化过程。其性能主要由电子金属–载体相互作用(EMSI)调控:通过结构与电子效应优化活性位点。然而,Cu与ZnO之间复杂的EMSI使MSR的构–效关系难以精确建立。尽管已知ZnO是提升活性与稳定性的关键助剂,但其如何精细调变Cu物种的物理化学状态以控制催化性能仍不明确,制约了绿色产氢催化剂的理性设计。
在Cu/ZnO体系中,EMSI包含配位效应与电子转移过程,共同决定活性Cu物种的状态。ZnO的多重角色(结构稳定剂、合金调变剂或直接参与者)导致观点冲突:有研究认为ZnO为结构助剂,可稳定高分散Cu纳米颗粒并抑制烧结;另有观点提出还原态ZnO与Cu形成Cu–Zn合金,改变Cu电子环境从而调变催化行为;亦有人强调Cu/ZnO界面本身就是高活性位点。这些分歧阻碍了对ZnO调控机制的揭示。
反应条件下Cu与Zn物种的动态演化进一步增加了复杂性。作者最近工作证实了MSR中Cu0/Cu+的氧化还原循环;同时有研究指出反应气氛可诱导ZnO迁移。此外,ZnO被认为可作为“电子库”在还原条件下稳定亚稳Cu+,但也有观点认为ZnO通过反应物活化促进Cu0主导界面。上述矛盾源于Zn在反应过程中动态重构Cu状态:EMSI介导的Cu↔ZnO电子转移实时调变Cu电子结构,而非静态作用。然而,前人研究多聚焦催化剂初始状态,忽略了MSR过程中EMSI的实时演化,阻碍了活性位与反应机制的识别。
作者阐明了ZnO通过EMSI提升Cu/ZnO/Al2O3在MSR中催化性能的机制。作者合成了一系列Zn修饰的Cu/Al2O3(Znx-Cu5Al)催化剂并用于MSR。综合表征发现,EMSI在Zn5-Cu5Al上诱导形成清晰的ZnOx/Cu界面,促进ZnOx与Cu间的动态电子转移。
多种原位光谱实验进一步捕捉反应中间体与活性位的动态演化:EMSI诱导的电子调变既可抑制Cu0→Cu+过度氧化、提升水活化效率,又能加速Cu+→Cu0还原、促进ZnOx/Cu界面活性甲酸脱氢,最终显著增强催化性能。本工作揭示了ZnO通过EMSI调控活性位的重要作用,为理性设计高效EMSI催化剂提供了指导。
图片
图1:Cu/ZnO/Al2O3催化剂的表征分析。本图通过多种先进表征技术揭示了ZnOx/Cu界面的结构特征。HAADF-STEM图像及EDS元素分布图直观展示了Zn5-Cu5Al催化剂中Cu纳米颗粒表面包覆的ZnOx薄层结构;EELS谱图证实了Zn物种在Cu颗粒表面的富集现象。XPS结果显示,随着Zn含量增加,Cu 2p3/2结合能降低,Zn 2p3/2结合能升高,表明电子从ZnOx向Cu转移。原位CO吸附DRIFTS光谱中Cu+特征峰的出现,以及XAFS谱学分析中Zn-O-Cu配位结构的确认,共同证实了ZnOx/Cu界面的形成及其诱导的电子金属-载体相互作用(EMSI)。
图片
图2:催化性能评价与构效关系。该图系统评价了不同Zn含量催化剂的甲醇蒸汽重整(MSR)性能。Zn5-Cu5Al催化剂表现出最优的催化活性:在240 °C时甲醇转化率接近100%,H2产率达54.0 μmol g-1s-1,且活化能最低(29.1 kJ/mol)。稳定性测试表明,Zn5-Cu5Al在200小时反应后活性仅下降21.8%,远优于Cu5Al(35小时下降37.5%),证明ZnOx/Cu界面有效抑制了Cu纳米颗粒烧结。通过N2O滴定和CO-TPD定量分析证实,ZnOx/Cu界面位点密度与H2产率呈线性正相关,表明该界面是真正的活性中心。
图片
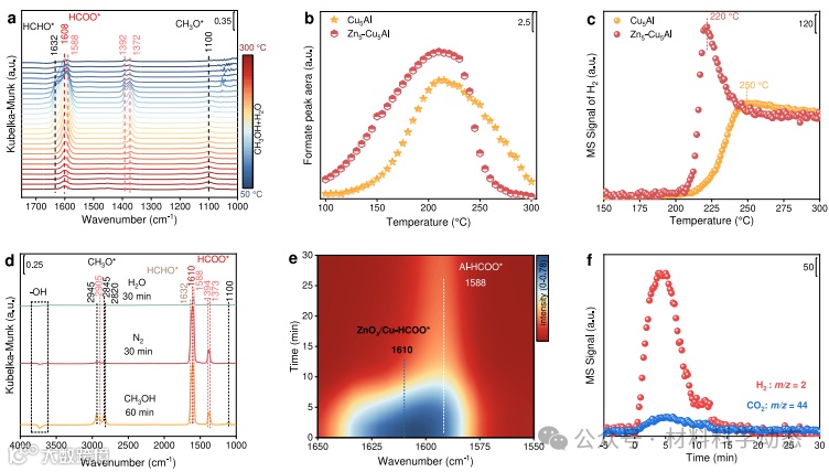
图3:反应中间体的原位光谱研究。本图利用原位DRIFTS技术揭示了反应中间体的动态演变。在Zn5-Cu5Al催化剂上,甲酸盐(formate)物种在1593 cm-1和1355 cm-1处表现出独特的吸收峰,对应于ZnOx/Cu界面处的活性甲酸盐中间体。阶跃响应实验表明,这些界面甲酸盐与水反应迅速(10分钟内完全消耗),并伴随H2和CO2的快速生成;相比之下,Cu-Al界面甲酸盐反应活性较低,Al2O3表面甲酸盐则几乎不反应。这说明ZnOx/Cu界面不仅促进了活性甲酸盐的形成,还显著加速了其脱氢分解,这是提高MSR性能的关键。
图片
图4:活性位点动态变化的原位光谱证据。该图通过多光谱联用揭示了反应条件下Cu物种的动态氧化还原循环。原位Raman光谱显示,在水处理过程中,Zn5-Cu5Al上Cu+-OH物种的生成量明显低于Cu5Al,表明ZnOx向Cu的电子捐赠(EMSI效应)有效抑制了Cu0的过氧化。原位DRUV-vis光谱证实,Zn5-Cu5Al在反应条件下能保持更高浓度的Cu0物种。近常压XPS(NAP-XPS)分析显示,Zn5-Cu5Al表面Cu0结合能向低能端移动0.3 eV,证明Cu表面电子富集;同时检测到Zn2+δ物种(986.4 eV),其比例随氧化过程增加、随还原过程恢复,证实电子在ZnOx与Cu之间的双向动态转移。
图片
图5:ZnOx/Cu界面调控甲醇蒸汽重整反应机理示意图。本图总结了EMSI诱导的ZnOx/Cu界面在MSR反应中的双重作用机制。ZnOx物种迁移至Cu纳米颗粒表面形成conformal包覆层,建立明确的ZnOx/Cu界面。在正向电子转移(ZnOx→Cu)过程中,界面给予Cu电子,稳定Cu0态,促进水分子解离生成Cu+-OH;在逆向电子转移(Cu→ZnOx)过程中,界面从Cu+接受电子,加速Cu+还原为Cu0,同时促进界面甲酸盐(ZnOx/Cu+-COO*)脱氢分解生成CO2和H2。这种动态双向电子转移构成了自维持的催化循环,显著降低了决速步(甲酸盐脱氢)的能垒,解释了Zn5-Cu5Al的高活性和高稳定性。
综上,作者通过构建定义明确的ZnOx/Cu界面,揭示了电子金属-载体相互作用(EMSI)在甲醇蒸汽重整(MSR)反应中的动态调控机制,开发出一种高效稳定的铜基催化剂用于原位氢气生产。
研究团队利用高角环形暗场扫描透射电镜和X射线吸收精细结构分析等表征手段证实,ZnOx在Cu纳米颗粒表面形成超薄覆盖层,诱导产生从ZnOx向Cu的电子转移,生成富电子的Cuδ−物种;更为重要的是,多种原位光谱实验揭示了这种EMSI在反应条件下呈现动态双向特征——在水活化阶段,ZnOx向Cu捐赠电子以有效抑制Cu0过度氧化为Cu+,从而提高水活化效率并维持高密度的金属Cu0位点,而在反应性甲酸根脱氢阶段(该步骤为低温下的速率决定步骤),电子又反向回流至ZnOx以加速Cu+还原为Cu0,促进界面甲酸根中间体的脱氢分解。
这种独特的界面协同效应与氧化还原循环使Zn5-Cu5Al催化剂在200 °C下的氢气产率达到22.4 μmol g−1s−1,较无Zn改性的Cu5Al催化剂提升34.9%,活化能降至29.1 kJ/mol,并在200 h稳定性测试中仅出现21.8%的性能衰减,显著优于对比催化剂。
本工作从根本上统一了长期以来关于ZnO在Cu/ZnO催化剂中作用的争议,证实ZnO不仅作为结构稳定剂防止Cu纳米颗粒烧结,更通过动态EMSI充当可逆电子储库,实时调节活性位点的氧化还原状态,证明了MSR活性位点并非静态而是处于氧化还原驱动的动态平衡之中,这与传统静态活性位点的认知形成重要突破。
研究成果为通过精准调控金属-氧化物界面电子相互作用以优化活性位点和反应路径提供了新的理论指导,其揭示的EMSI工程原理不仅适用于甲醇蒸汽重整,还可推广至CO2加氢、费托合成、电化学CO2还原等广泛的能源转化过程,为设计面向可持续能源的高效多相催化剂开辟了新的途径。
Electronic Metal–Support Interaction at ZnOx/Cu Interface Enhances H2 Production in Methanol Steam Reforming, J. Am. Chem. Soc.2026https://doi.org/10.1021/jacs.5c20603.

#中国科学院大学#徐光艳#贺泓#催化#JACS

👉 点击阅读原文,立即下单!

【声明】内容源于网络
0
0
微算云平台
做计算 找华算!电话:13129551561
内容 13603
粉丝 0
微算云平台 做计算 找华算!电话:13129551561
总阅读156
粉丝0
内容13.6k