DFT计算全场6折!华算科技新年献礼,催化/电池/半导体领域全覆盖,限时开抢!
锑硫硒(Sb2(S,Se)3)因其优异的光电性能、高吸收系数和原料丰富而被视为下一代光伏材料的候选。水热沉积技术推动了其发展,但目前对反应机理认识不足,常导致吸收层内价带顶梯度不理想且深能级缺陷浓度高。
2026年1月14日,新南威尔士大学钱晨,黄嘉亮,郝晓静,中国科学技术大学陈涛在国际知名期刊Nature Energy发表题为《Regulation of hydrothermal reaction kinetics with sodium sulfide for certified 10.7% efficiency Sb2(S,Se)3 solar cells》的研究论文,钱晨为论文第一作者,钱晨,黄嘉亮,陈涛,郝晓静为论文共同通讯作者。
本研究在前驱液中引入硫化钠作为添加剂调控反应动力学,实现更均匀的纵向元素分布,平坦化价带顶梯度并抑制深能级缺陷形成,从而提升Sb2(S,Se)3材料质量,获得11.02%的光电转换效率(认证值10.7±0.37%)。该工作推进了Sb2(S,Se)3太阳能电池效率,并为优化水热合成提供新思路。
锑硫硒(Sb2(S,Se)3)因其优异的光电性能、高吸收系数和原料丰富而被认为是下一代光伏材料的有力候选。其简单的二元组成和准一维晶体结构赋予其在可见光至红外波段超过105 cm-1的极高吸收系数,使得在仅数百纳米厚的吸收层中即可实现高效的光电转换效率。其带隙可在1.1–1.7 eV范围内调控,且具备可实现的半透明器件结构,为突破单结电池的Shockley–Queisser极限提供了可能,尤其是宽带隙(>1.5 eV)化合物有望作为硅基叠层电池的顶层电池。此外,其低温加工特性也使其具备规模化制造的潜力,因此Sb2(S,Se)3正日益被视为下一代硫系光伏材料中的关键候选,特别适用于叠层与超薄太阳能电池技术。
在各种合成方法中,水热沉积因其低温、溶液可扩展且能获得高结晶度、择优取向的Sb2(S,Se)3吸收层而受到广泛关注。目前该材料的两项最高效率记录,即1.5 eV带隙器件达到10%与1.3 eV带隙器件达到10.7%,均通过水热法实现,凸显其在高效低成本器件制备中的巨大潜力。
尽管前景广阔,效率的进一步提升仍受限于根本性挑战。近期研究主要通过有意掺杂、能带结构工程与缺陷钝化等手段改善体材料质量。然而,水热过程在密封高压釜中进行,难以原位观测,导致反应路径认知不足。此前研究推测Sb与Se可通过酒石酸锑钾、HSe-与H+反应形成Sb2Se3,而无需硫代硫酸钠参与,但整个化学反应序列尚缺乏系统验证。特别是硒脲的分解机制,以及S2-与Se2-在Sb2(S,Se)3晶格中的竞争掺入行为仍不清楚。缺乏对底层机制的清晰理解,使得当前最先进的Sb2(S,Se)3太阳能电池仍面临由成分纵向不均匀引起的非理想价带顶梯度与大量深能级缺陷的问题。
为此,本文系统研究了水热反应机制,并据此引入硫化钠(Na2S)作为添加剂调控反应动力学。硫离子的可逆水解可缓冲pH,抑制随时间酸化并延缓硒的释放。该受控反应动力学实现了Se与S在厚度方向上的均匀分布,消除了有害的价带顶梯度并有利于空穴传输。此外,Sb富集条件下易形成的深能级缺陷(如SbS反位与VS空位)被有效抑制,降低了Sb2(S,Se)3体内的陷阱密度。借助该策略,本研究实现了11.02%的光电转换效率(认证值为10.7±0.37%)。这些发现为深入理解Sb2(S,Se)3水热合成反应动力学提供了关键洞见,并为该技术的性能进一步提升指明了可行路径。
图1:水热反应路径解析。拉曼与XRD共同证实STS+SU先形成SeSO32-中间体,再与SbO+反应生成Sb2Se3;Na2S通过提高pH至6.2并释放HS-,同步抑制Se爆发、促进Sb2S3成核,实现动力学平稳化。
图2:截面形貌与元素分布。Na2S延缓沉积速率,使SS样品无空洞且Se/S比例垂直均匀;CT样品因早期Se快速释放出现底部大孔洞和顶部Se贫化,验证了动力学调控对薄膜致密性与成分一致性的关键作用。
图3:CL光谱与能带排布。CT样品呈现深度相关的CL峰移(带隙梯度~0.1 eV),形成阻碍空穴传输的VBM台阶;SS样品CL峰位恒定,能带平坦,消除ΔE势垒并显著提升载流子收集效率。
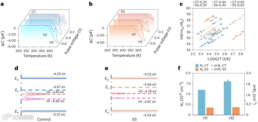
图4:深缺陷O-DLTS定量。Na2S使VS与SbS深陷阱的σ×NT降低两个数量级,载流子浓度由4.8×1016增至1.7×1017 cm-3,寿命延长直接推高FF与Jsc。
图5:J-V与EQE性能。SS器件Jsc增至24.96 mA cm-2,FF达69%,认证效率10.7%;EQE短波与长波同步提升,证实平坦能带与低缺陷协同增益。
综上,本研究通过在水热前驱液中添加硫化钠精准调控Sb2(S,Se)3沉积动力学,实现纵向元素均匀、价带平坦与深缺陷抑制,将电池效率提升至认证10.7%,为低成本、高效率硫硒锑薄膜光伏的规模化制备与叠层应用奠定直接可行的工艺基础。
Regulation of hydrothermal reaction kinetics with sodium sulfide for certified 10.7% efficiency Sb2(S,Se)3 solar cells. Nat. Energy., 2026. https://doi.org/10.1038/s41560-025-01952-0
#Nature子刊#新南威尔士大学#钱晨#黄嘉亮#郝晓静#中国科学技术大学#陈涛#电池#水热法#硫硒锑薄膜#沉积动力学#光伏材料

