近日,南方科技大学理学院化学系副教授刘柳团队在主族元素化学领域取得重要进展:首次成功合成一例异重氮甲烷负离子,系统揭示了其作为氮宾前体的独特化学性质。相关研究成果以“A crystalline isodiazomethyl anion”为题,发表于国际学术期刊《自然合成》(Nature Synthesis)。
碳、氮等元素构成的基础结构为有机化学的发展奠定了坚实的物质基础。经过近两个世纪的持续探索,大多数常见有机官能团已被系统研究并得到较为全面的认识。时至今日,创制全新的碳、氮官能团面临巨大挑战。然而,通过对碳、氮元素进行全新的排列组合,仍有望创制前所未有的官能团结构,进而催生具有革新意义的原创发现,对基础化学研究具有重要而深远的科学价值。
有机叠氮化物(图1a,R–N3,I)自19世纪中叶被发现以来,已成为有机合成和化学生物学中不可或缺的工具,广泛应用于 Curtius 重排、Staudinger 还原以及“点击化学(Click chemistry)”等经典反应体系。重氮甲烷负离子(图1a,[R–CNN]–,II)与有机叠氮化物互为等电子体,通常只能在低温条件下以瞬态中间体形式存在。近年来,随着取代基效应的精细调控,科学家已实现部分重氮甲烷负离子的合成和晶体学表征。研究表明,有机叠氮化物和重氮甲烷负离子在脱氮气反应中,分别生成“氮宾(R–N)”和“卡拜负离子[R–C] –”等高活性物种,从而作为重要的合成子,广泛应用于有机合成、功能材料与相关交叉领域。
图1 研究背景及本研究内容概况
然而,在合成化学研究中,异重氮甲烷负离子(图1a,[R–NNC]–,III)长期处于缺席状态。相较于II,该类物种具有显著更低的热力学稳定性,因而在常规实验条件下难以被直接观测。尽管早在20世纪初,人们便提出相关体系可能存在互变异构现象,但在随后的数十年中,仅有极少数研究能够在溶液相中对异重氮甲烷负离子进行原位表征,或依赖过渡金属配位实现其稳定化。异重氮甲烷负离子的稳定合成始终未能实现,其本征电子结构与化学反应模式完全未知。因此,实现异重氮甲烷负离子的稳定合成,长期以来一直是主族元素化学领域亟待突破的核心科学难题之一。
路易斯双亲性(ambiphilicity)是一种既亲核也亲电的独特化学属性。近年来,刘柳团队围绕“创制与转化双亲性主族元素化合物”开展系统研究。异重氮甲烷负离子[R–NNC]–可视为氮宾[R–N]和氰根离子[NC]–的加合物(图1b),其稳定合成有望为氮宾化学开辟新的研究维度。近期,团队利用兼具空间位阻(动力学稳定)与π受体能力(热力学稳定)的环硼取代基,成功实现了首例异重氮甲烷负离子的合成与晶体学表征,揭示了一类全新的氮宾前体(图1b)。
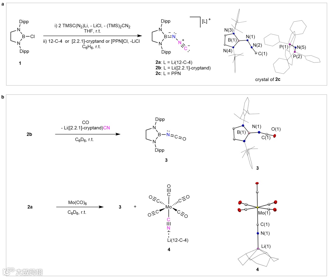
图2 异重氮甲烷负离子的合成及其配体交换反应
在合成策略上,研究团队设计了一条简洁且高效的反应路线:以氯代环硼烷1和两倍当量的三甲基硅基重氮甲烷锂盐[TMSC(N2)Li]为原料(图2a),依次经历复分解和去硅基化反应,再进一步引入锂离子络合剂或阳离子替换试剂,成功实现了异重氮甲烷负离子的合成。
化合物2c的X射线单晶衍射结果显示,异重氮甲烷负离子核心的NNC片段呈近乎线性的构型(图2a)。该物种在化学反应中表现出与传统有机氮负离子截然不同的反应模式。具体而言,该异重氮甲烷负离子能够在氮原子中心进行协同式的CN⁻/CO交换反应(图2b),直接生成异氰酸酯;同时,它还能与多种含双键官能团(如C=O、C=S和C=N)发生高效的双键复分解反应(图3)。理论计算表明,异重氮甲烷负离子可视为硼基氮宾与氰根离子形成的加合物,并在反应过程中充当“氮宾转移试剂”这一关键合成子,从而赋予其独特而多样的反应活性。
图3 异重氮甲烷负离子与多种双键的复分解反应
该研究为新型碳、氮结构的设计及其在合成化学中的潜在应用提供了重要的物质基础。目前,研究团队正进一步拓展该类体系的反应模式,探索其在创制其他新型官能团方面的应用前景。
南科大2022级博士研究生王洪雨为论文第一作者,刘柳与李建成研究助理教授为论文共同通讯作者。南方科技大学为论文唯一单位,该研究得到了国家自然科学基金和广东省自然科学基金的资助。南方科技大学高性能计算中心与仪器测试中心为本研究提供了重要的技术支持。
论文链接(点击阅读原文可查看原文):
https://www.nature.com/articles/s44160-025-00981-7

