
在写爬虫的时候难免会遇到验证码识别的问题,常见的验证码识别的流程为:
图像灰度化
图像去噪(如图像二值化)
切割图片
提取特征
训练
但这种方法要切割图片,而且破解验证码的重点和难点就在于能否成功分割字符。
本文要介绍的算法不需要进行图片切割,也不需要进行机器训练,这种方法就是模板匹配:将待识别的文字切割成一个个模板,在待识别的图像中去匹配模板。
这篇文章将分为两个部分:
第一部分介绍模板匹配的基本概念以及模板匹配的一种实现算法:快速归一化互相关匹配算法;
第二部分是一个具体实例。
1模板匹配
模板匹配是在图像中寻找目标的方法之一,目的就是在一幅图像中寻找和模板图像最相似的区域。
模板匹配的大致过程是这样的:通过在输入图像上滑动图像块对实际的图像块和输入图像进行匹配。
假设我们有一张100x100的输入图像,有一张10x10的模板图像,查找的过程是这样的:
从输入图像的左上角(0,0)开始,切割一块(0,0)至(10,10)的临时图像;
用某种方法得出临时图像与模板的相似度c,存放到相似度矩阵中(矩阵大小为91 x91);
切割输入图像从(0,1)至(10,11)的临时图像,对比,并记录到相似度矩阵;
重复上述步骤,直到输入图像的右下角。

最终得到一个相似度矩阵,找到矩阵中的最大或最小值,最大值(最小值)对应的临时图像即为与模板最相似的图像。
在步骤b中,求模板与图像的相似度有多种方法,如平均绝对差算法(MAD)、绝对误差和算法(SAD)、误差平方和算法(SSD)、归一化互相关算法(NCC),本文使用的是归一化互相关算法。
2归一化互相关算法
什么是归一化互相关?
从几何图形上来看,空间中的两个向量,同方向平行时,归一化互相关系数为1,表示两个向量最相似,反方向平行时归一化互相关系数为-1,垂直时为0,表示最不相似(用互相垂直的三个向量来代表整个空间也是这个道理,垂直的向量之间不包含对方的信息,相关系数为0),存在一定夹角时处于(-1,1),是不是跟余弦函数很像,cos(0)=1,cos(pi/2)=0,cos(pi)=-1。就是这个样子的,相关系数可以看作是两个向量之间夹角的cosine函数。

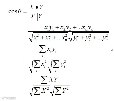
在数学中是这么计算cosine函数的,假设两个n维向量X,Y,对应的坐标分别为(x1,x2,…xn), (y1,y2,…yn) 则:

(如果想要了解更多,请参考文献【2】)
但这是一维的,在模板匹配中要再加一个维度(具体算法请参考文献【3】),简要说一下文献【3】的内容:如果直接计算二维相似度的话计算复杂度会非常高,文献【3】利用快速傅里叶变换与积分图像快速算法来降低计算复杂度。
接下来让我们看一个具体的应用。
3具体实例
模板匹配识别验证码的具体步骤为:
找出图片中所有可能出现的字符,制作成模板集合
图像灰度化
图片去噪(二值化)
模板匹配
匹配结果优化
要识别的图片如下,以识别图片中的加字为例:

(image)

(template)


要从image中找到与模板最匹配的部分,Template图像是事先从image图像中截取的一部分。所用的为python模块skimage中的match_template方法,match_template方法使用的是快速归一化互相关算法【2】。
遍历模板图像集合,与图像匹配,如果dist大于阈值h,则认为此模板在图像中存在,否则不存在,继续匹配下一个模板,直到遍历完所有模板。
以模板‘加’为例,图像大小为40x260,模板大小27x27,result是一个大小为(14,234)的矩阵,即上文提到的相似度矩阵,矩阵中的数值属于[-1,1],找到result中最大值所处的对应位置即为与模板最匹配的图像位置:x=66,y=11,正好对应模板图像在image中所处的位置。(更多内容请参阅参考文献【4】)
但这是比较好的情况,因为在匹配时遍历了所有的模板,而一张图片中出现的模板数量是有限的,比如数字’四’在图片中是没有的,这时就要根据某种规则去掉这些在图片中没有出现的模板:程序中使用dist变量来过滤匹配结果,如果dist变量大于某个值则认为此模板在图像中不存在。
最后的result_list中可能仍然存在一些图片中不存在的模板或者匹配不精确的模板,比如数字‘一’在模板中不存在,但仍然可以匹配到,因为数字‘二’中可以匹配到‘一’,需要进一步优化,优化方法有很多,比如当匹配到的两个模板距离过近时,选择较大的那个模板,其余方法留给读者自行考虑吧。
后续将会推出如何使用深度学习识别验证码,敬请期待~
参考文献:
http://www.cnblogs.com/beer/p/5672678.html
http://www.ruanyifeng.com/blog/2013/03/cosine_similarity.html
J. P. Lewis, “Fast Normalized Cross-Correlation”, Industrial Light and Magic.
http://scikit-image.org/docsjinhqin/dev/auto_examples/plot_template.html

本文作者:李晖(点融黑帮),毕业于电子科技大学,现就职于点融成都Data部门,对一切新鲜事物充满好奇,对跳舞毫无抵抗力的活力女青年一枚。
随着点融网新一轮融资,点融网即将开始大规模的扩张,需要各种优秀人才的加入,如果你觉得自己够优秀,欢迎加入我们!获取更多职位信息,请关注点融黑帮。


