关于下达2019年省支持科技创新有关政策奖补项目的通知
皖科资〔2019〕45号

根据省政府《关于印发支持科技创新若干政策的通知》(皖政〔2017〕52号)、《关于印发支持与国内外重点科研院所高校合作若干政策的通知》(皖政〔2018〕50号),省政府办公厅《关于印发支持科技型初创企业发展若干政策》(皖政办〔2019〕18号)和《关于印发安徽省支持科技创新若干政策专项资金管理办法的通知》(财教〔2017〕1223号),经组织申报、审核,现将2019年省支持科技创新有关政策奖补项目下达给你们。
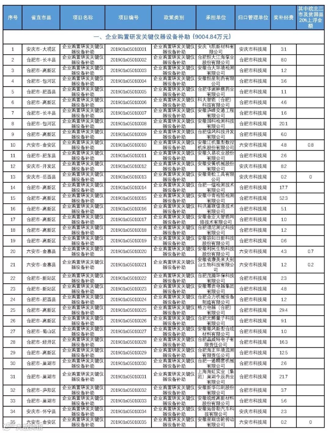
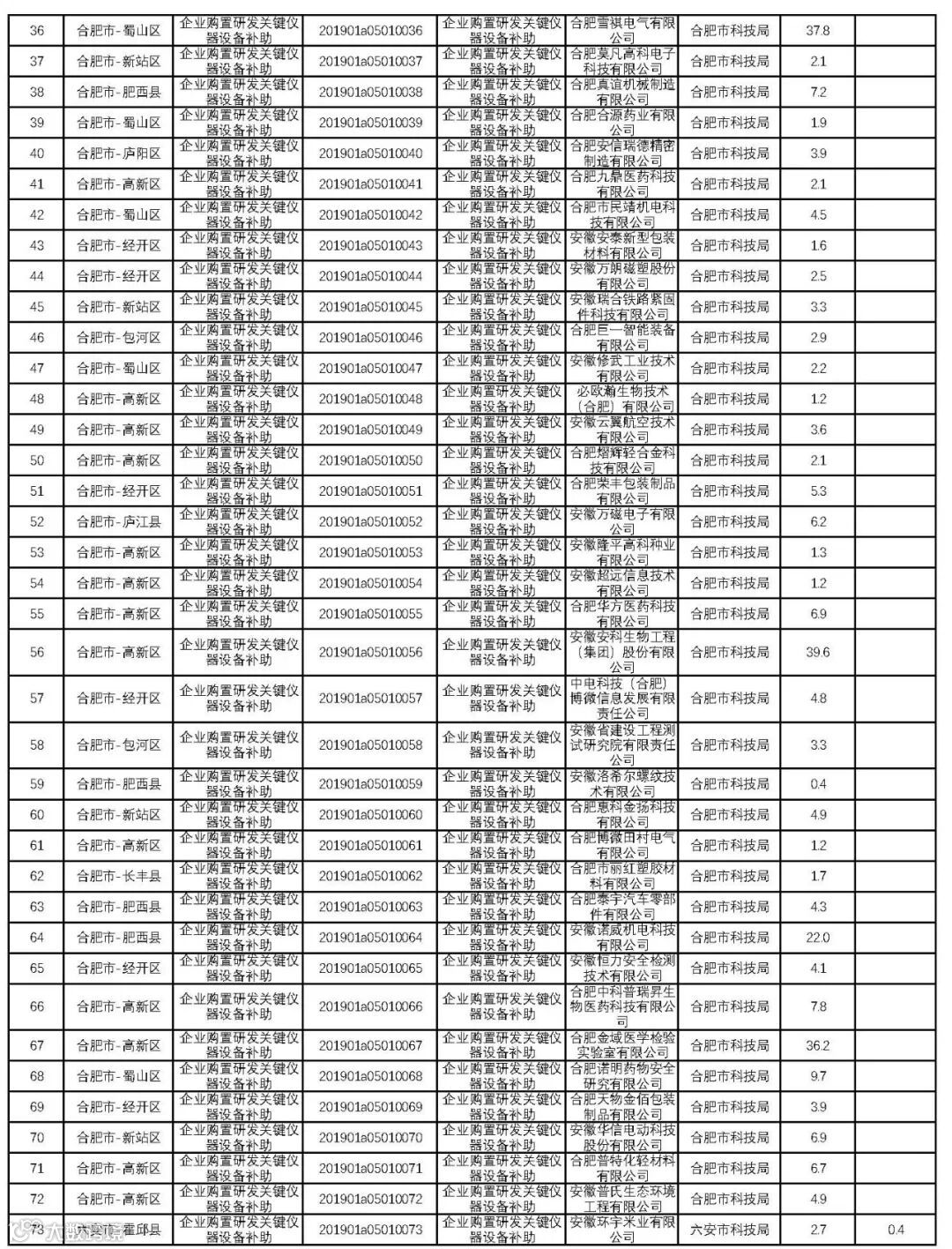
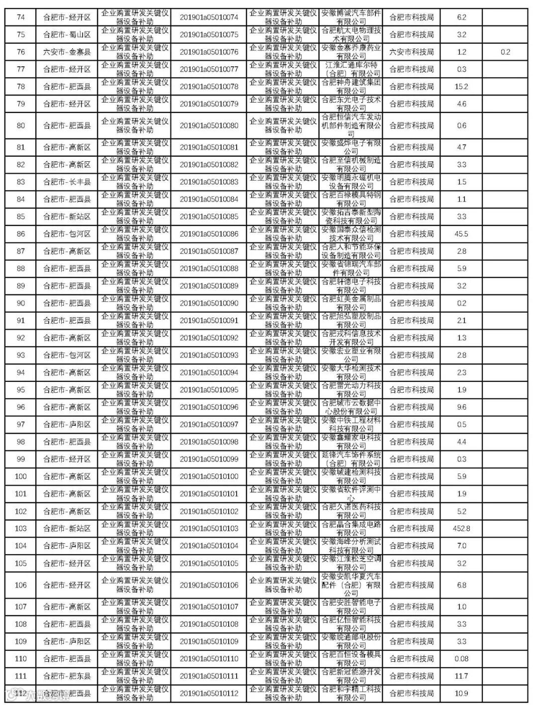
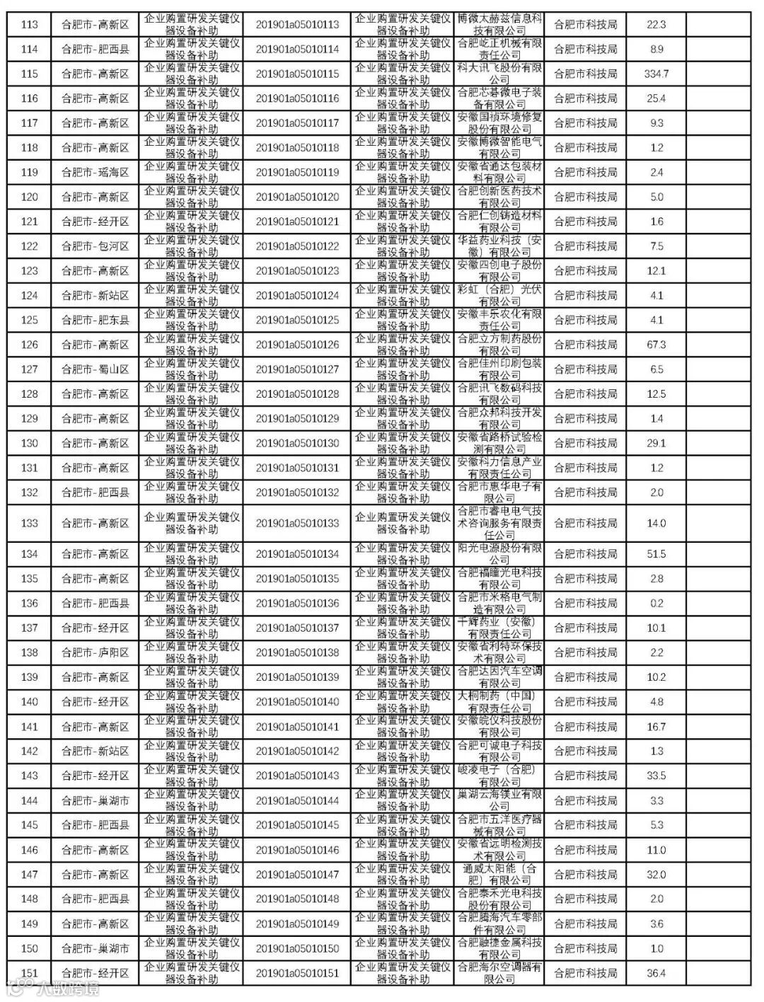
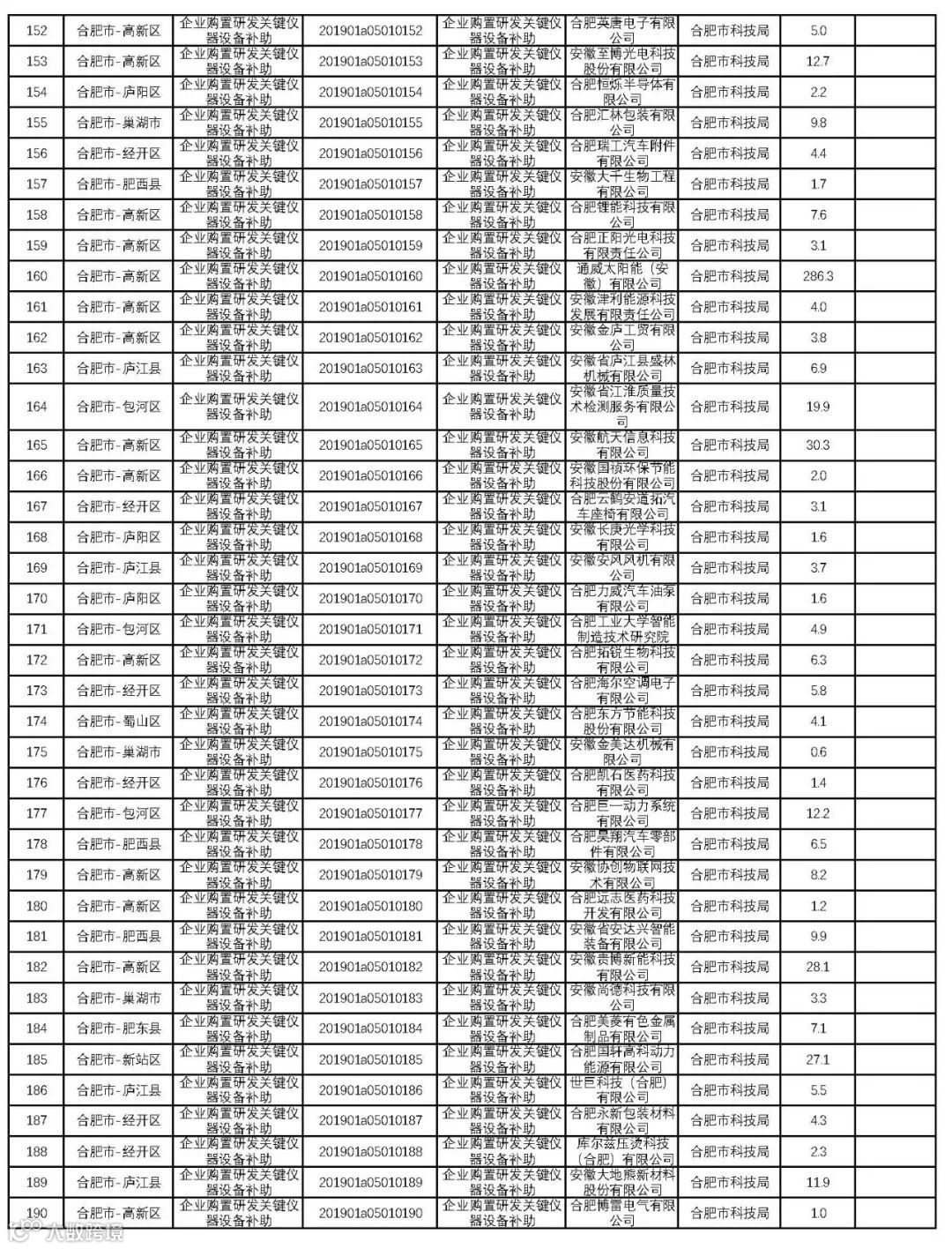
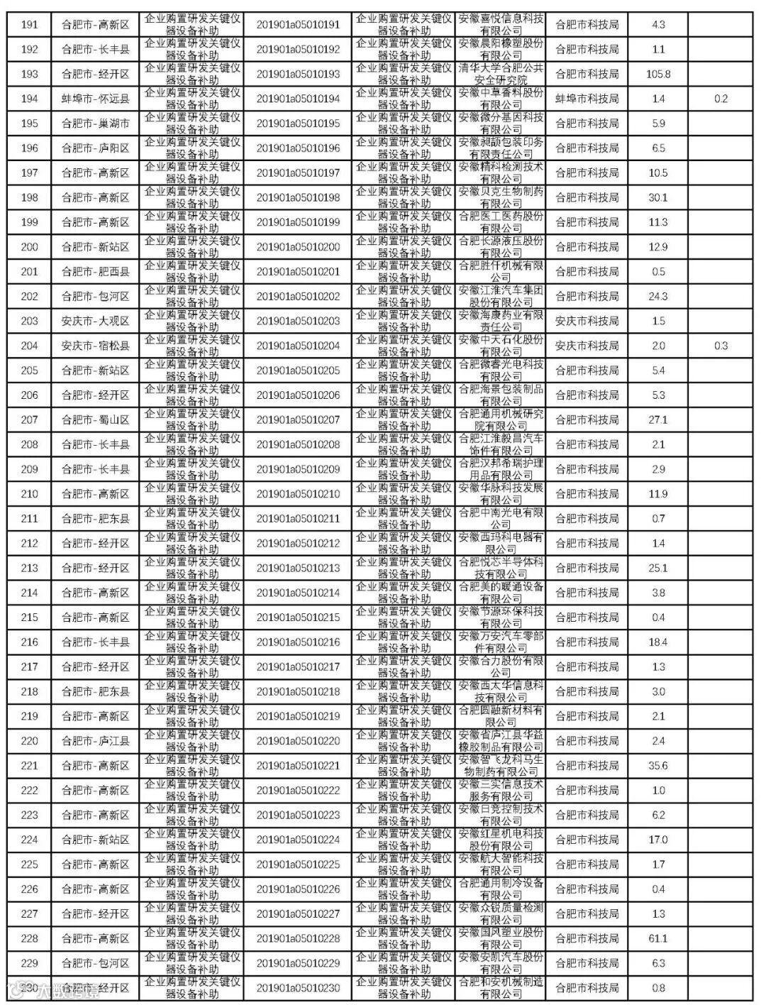
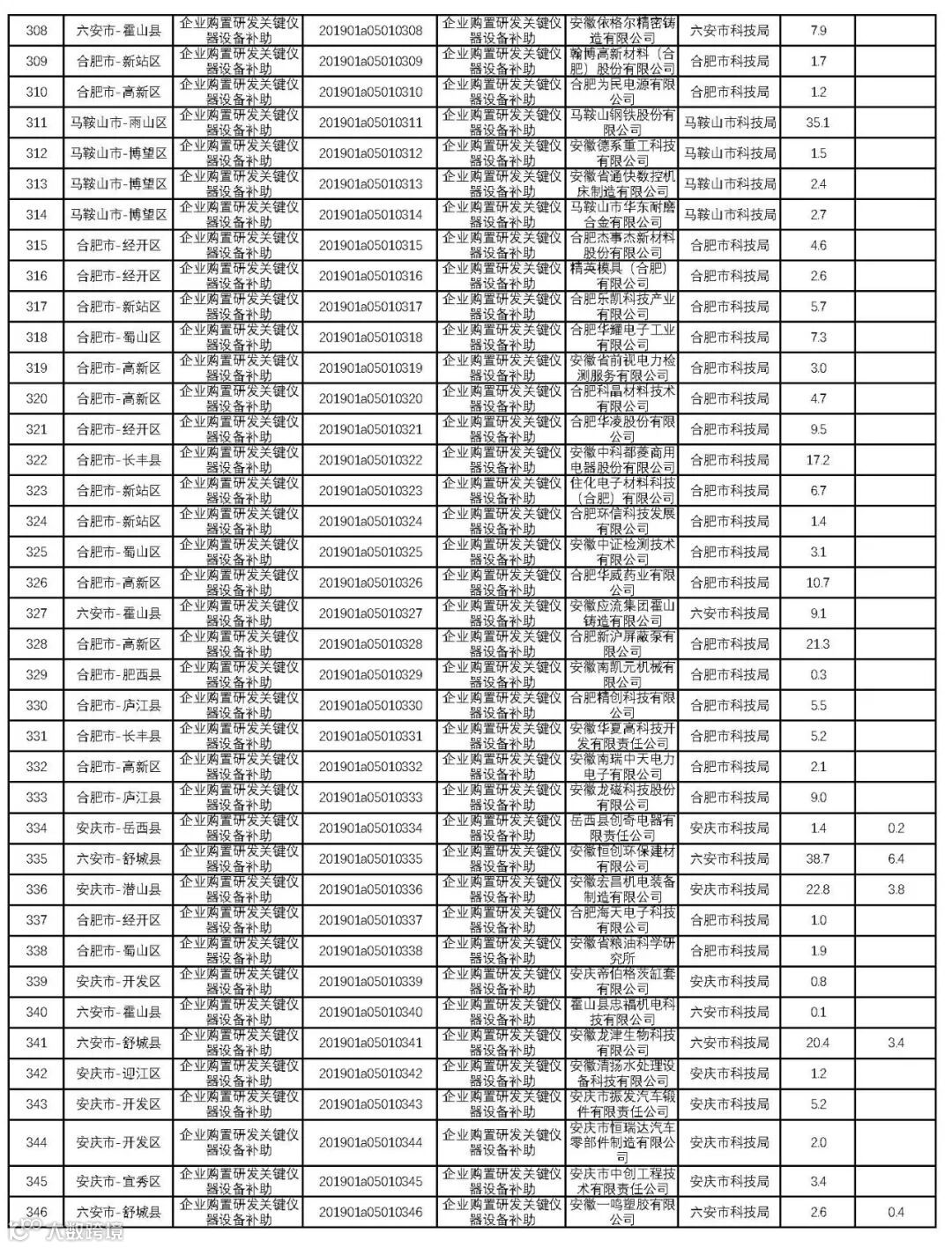
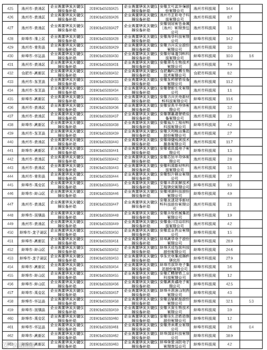
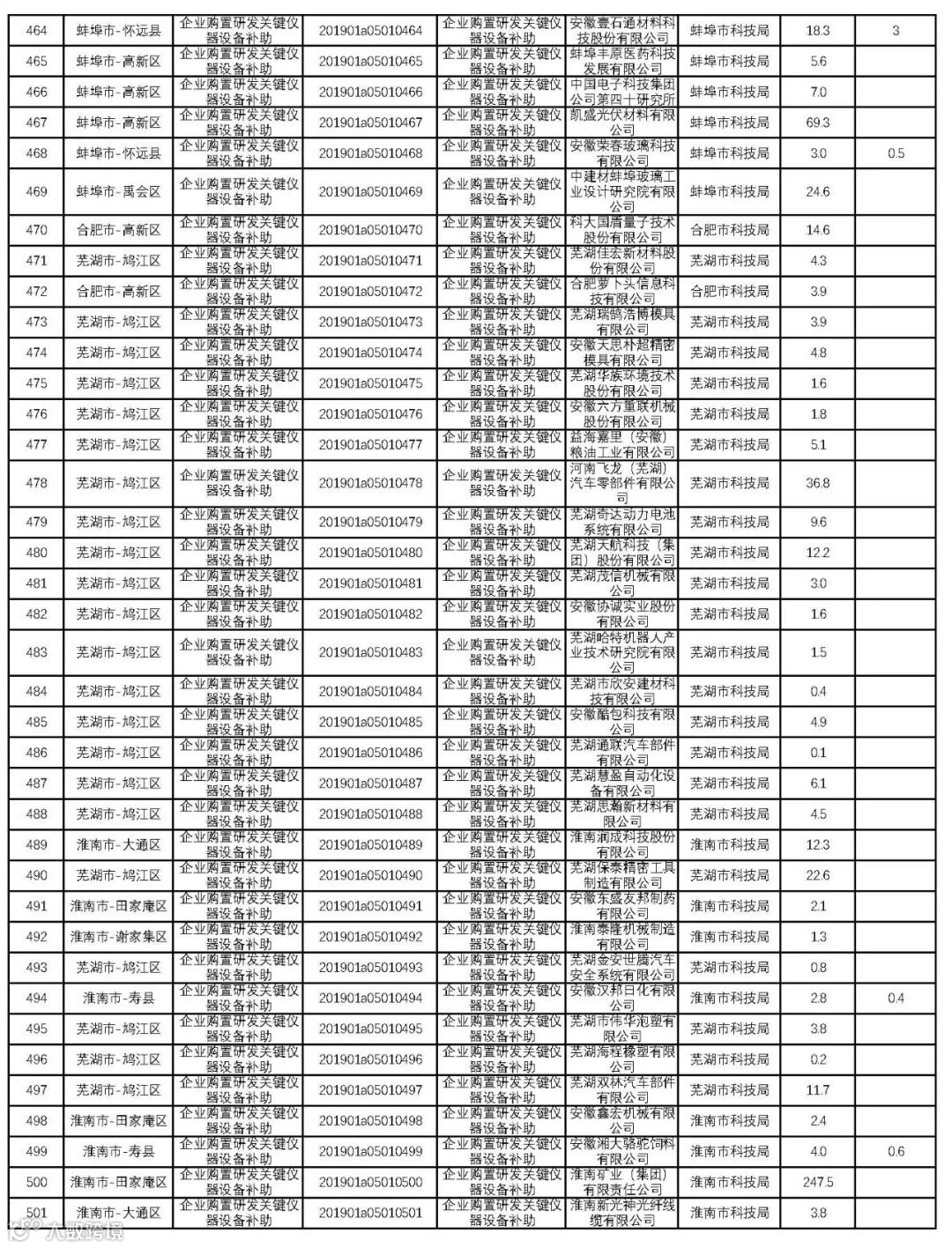
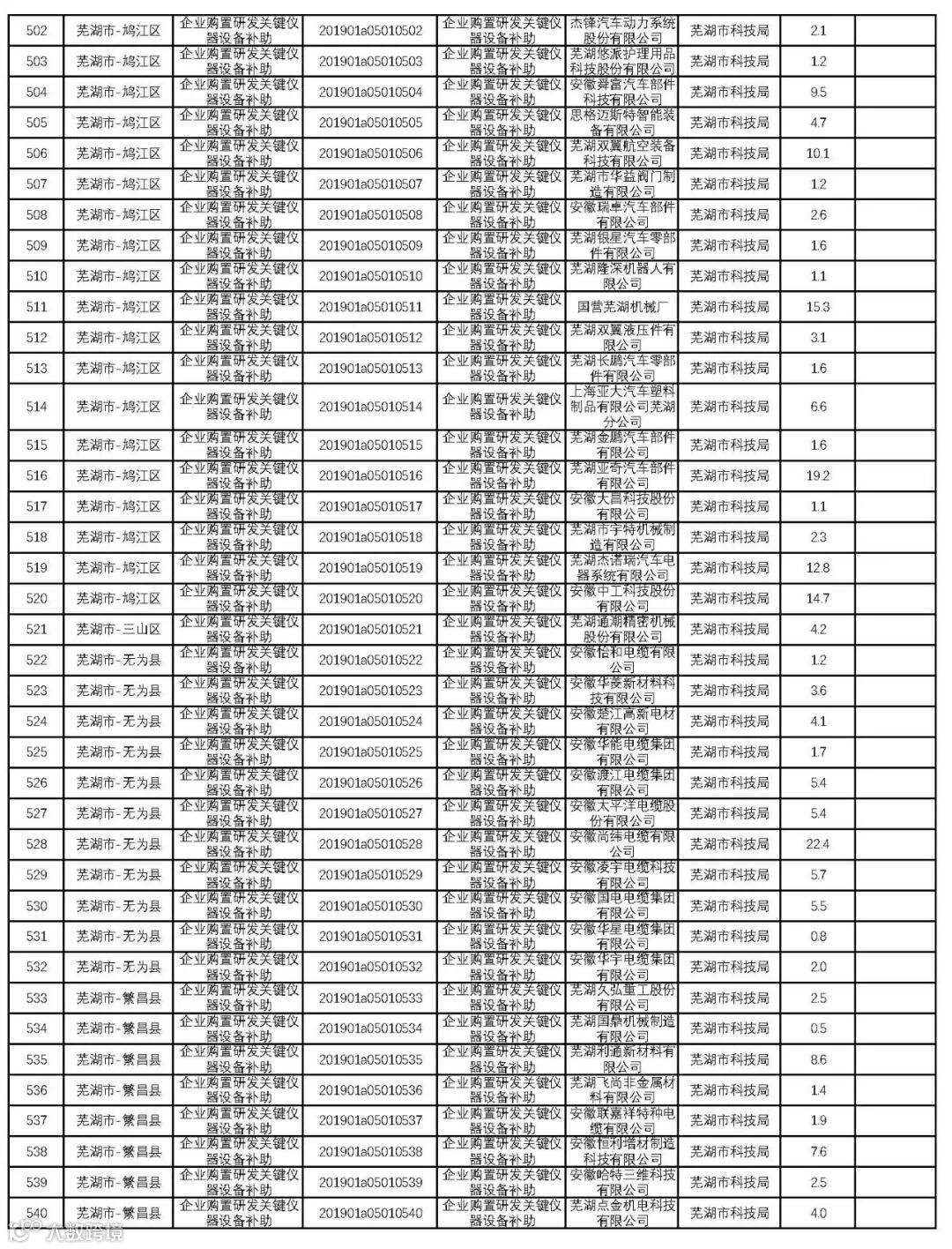
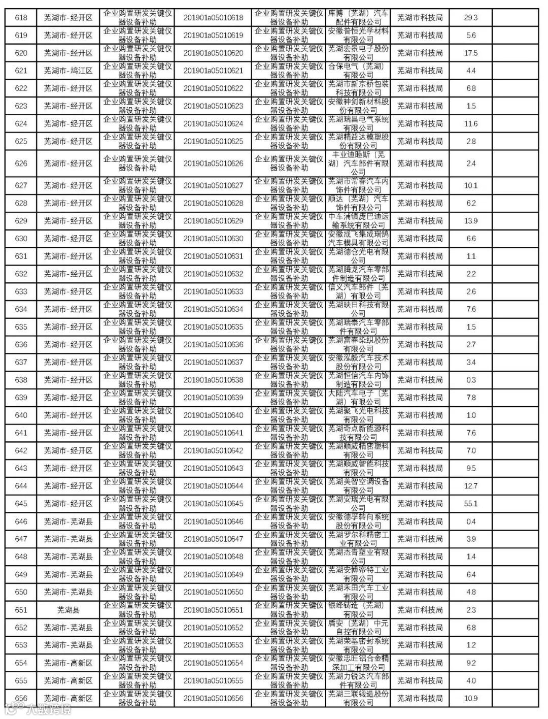
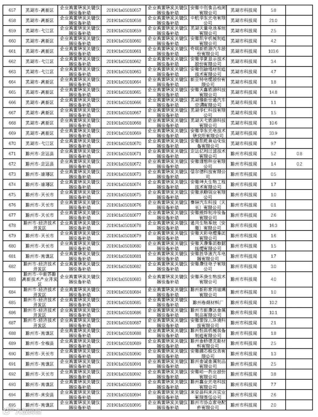
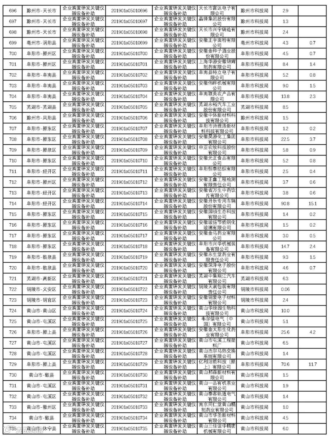
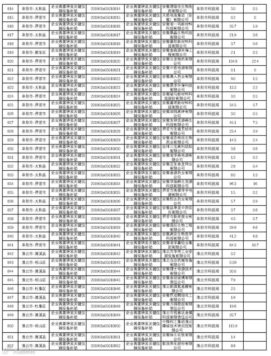
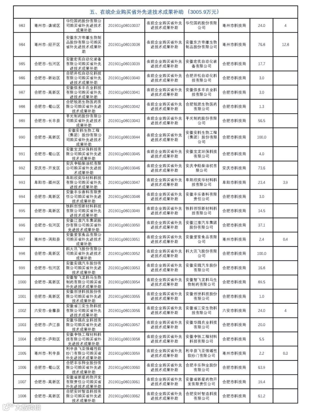
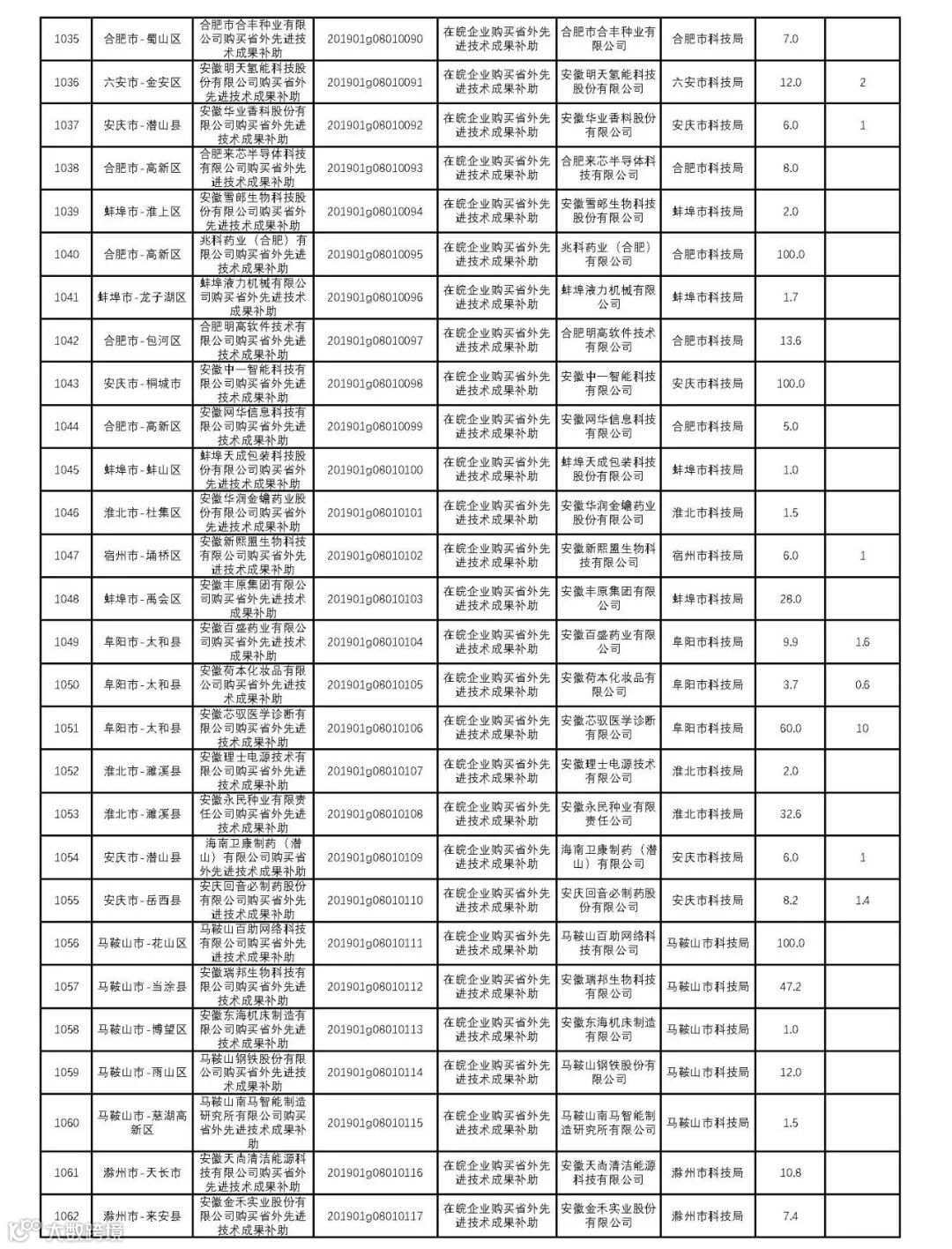
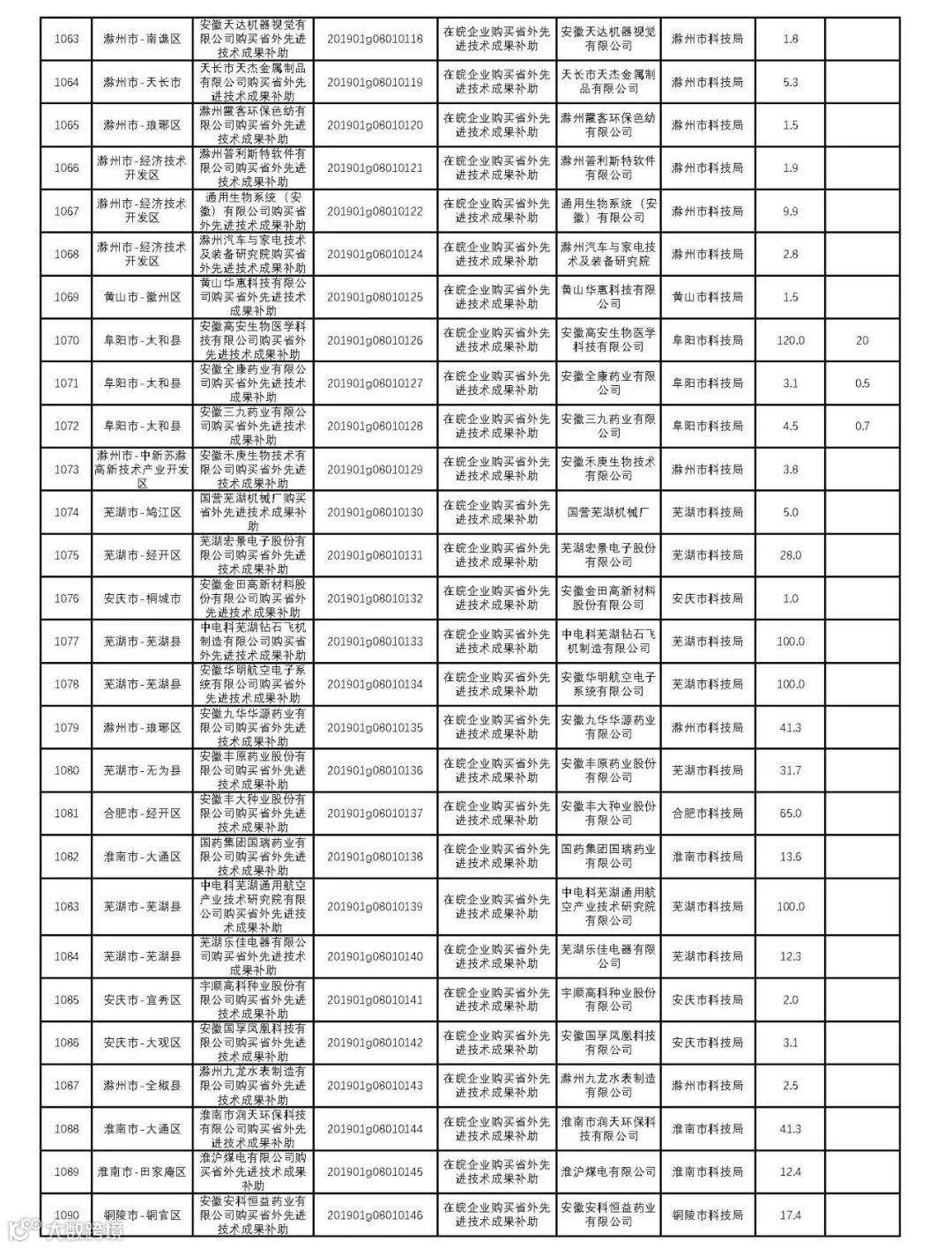
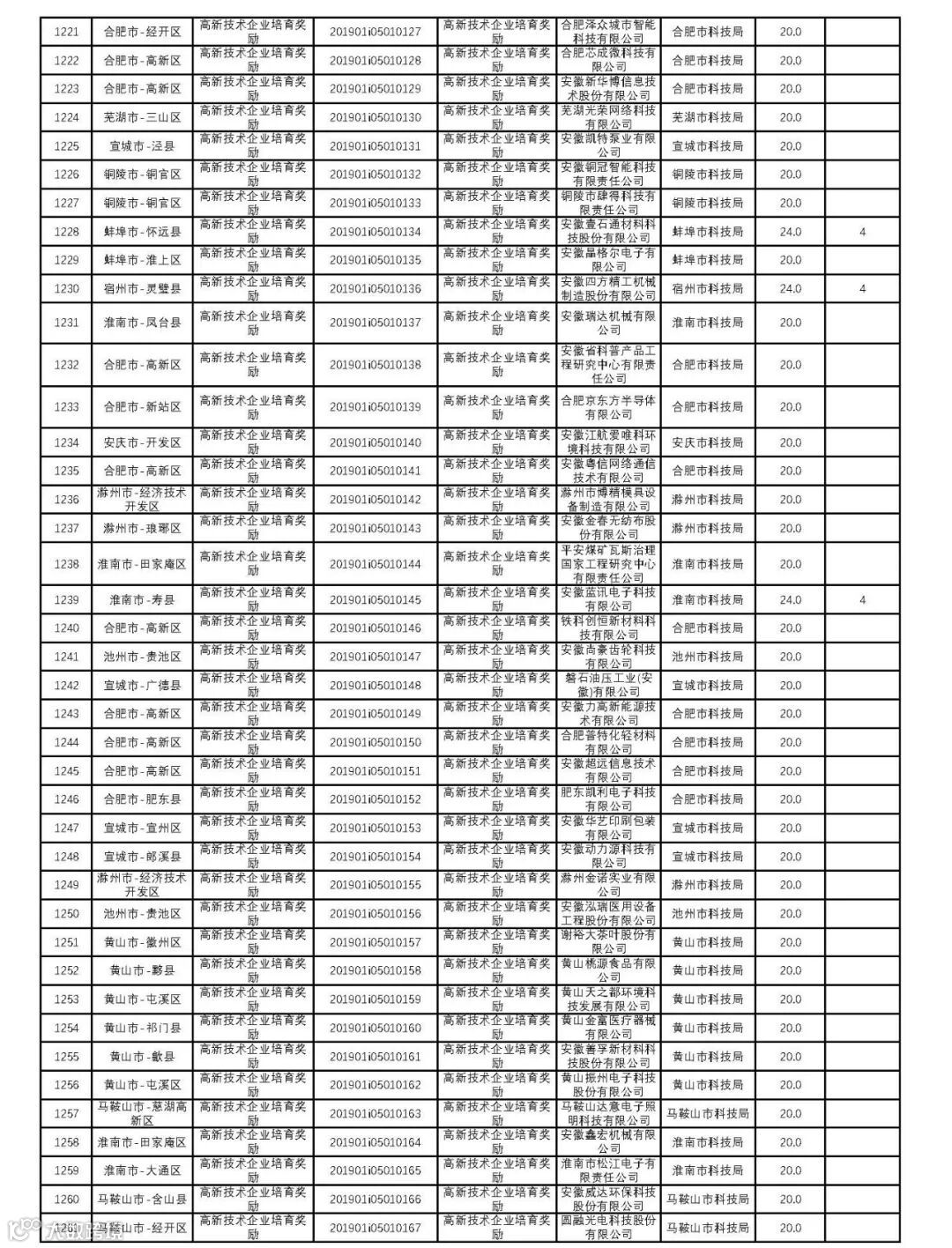
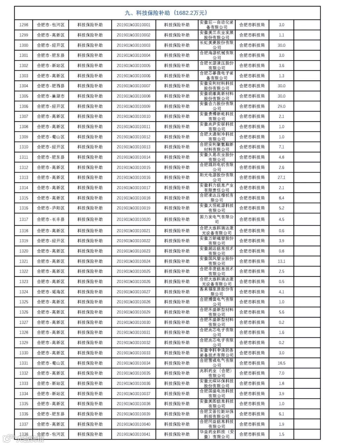
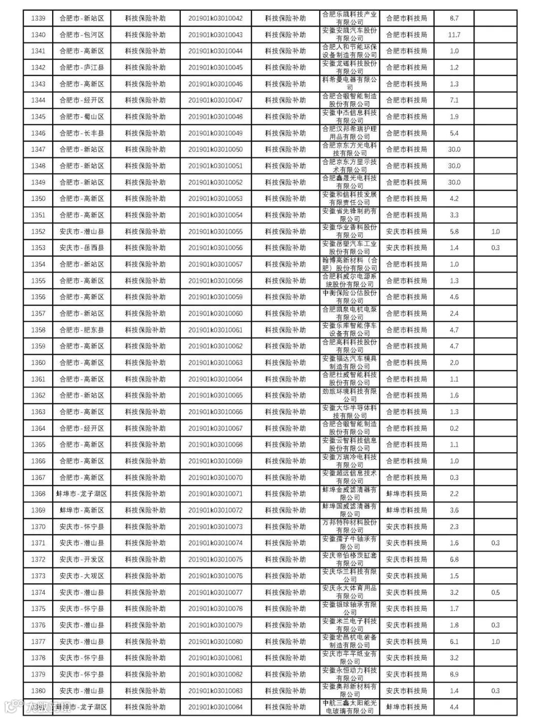
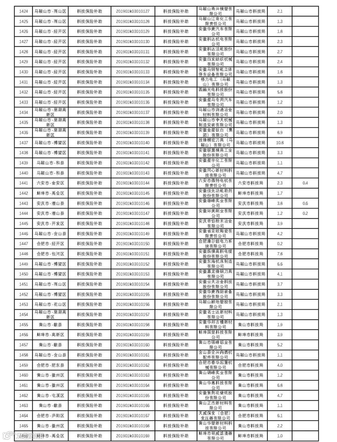
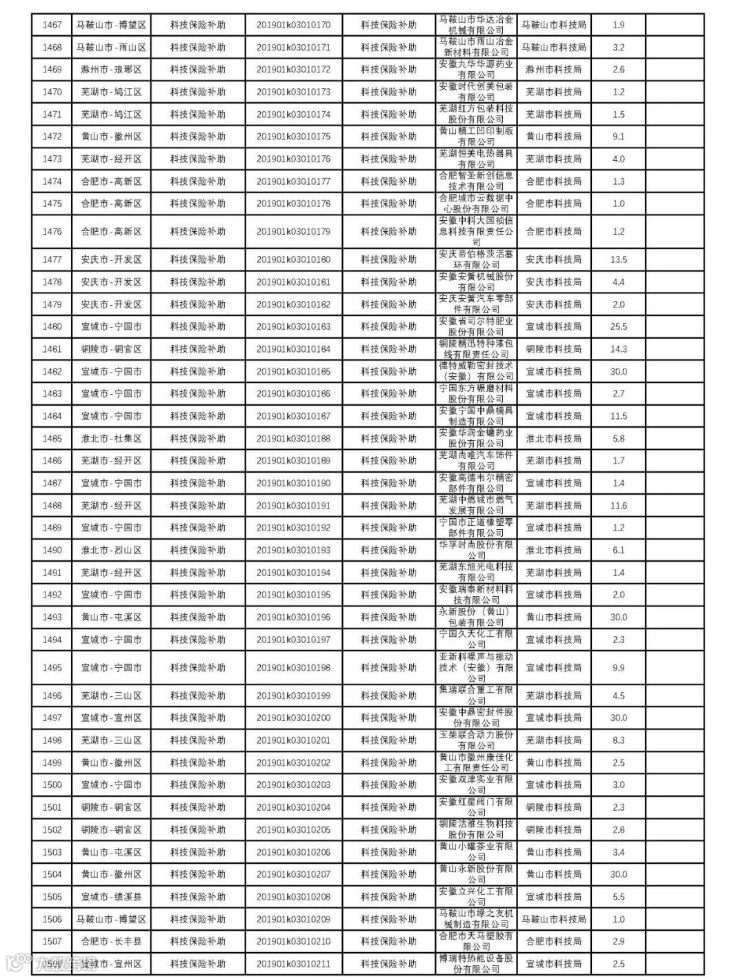
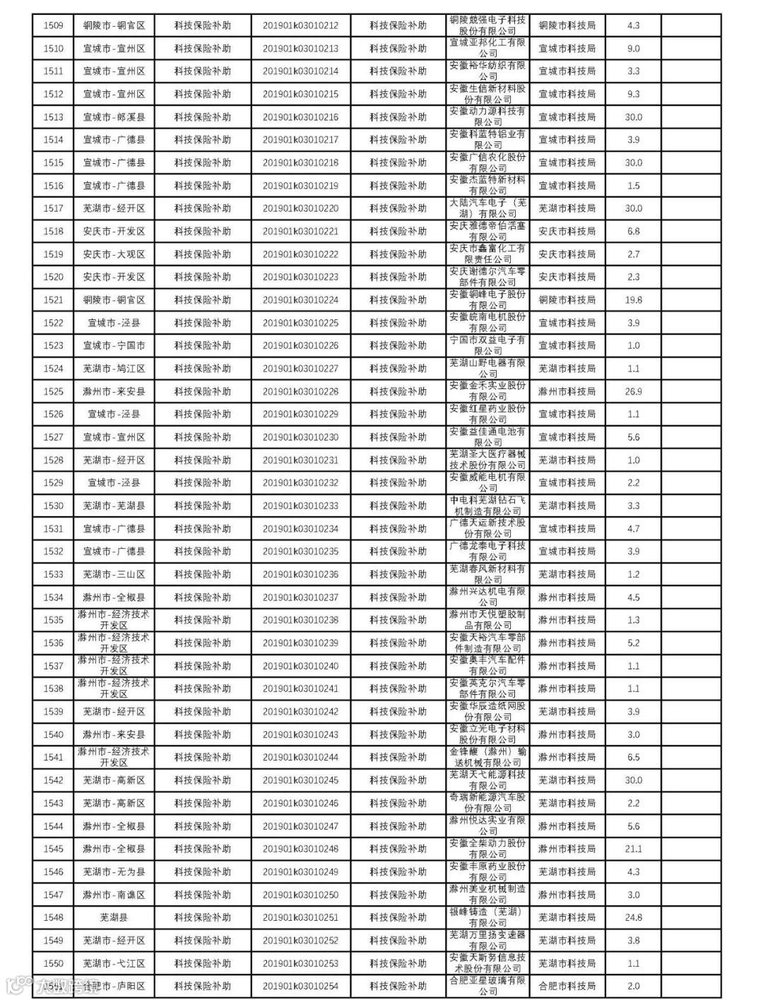
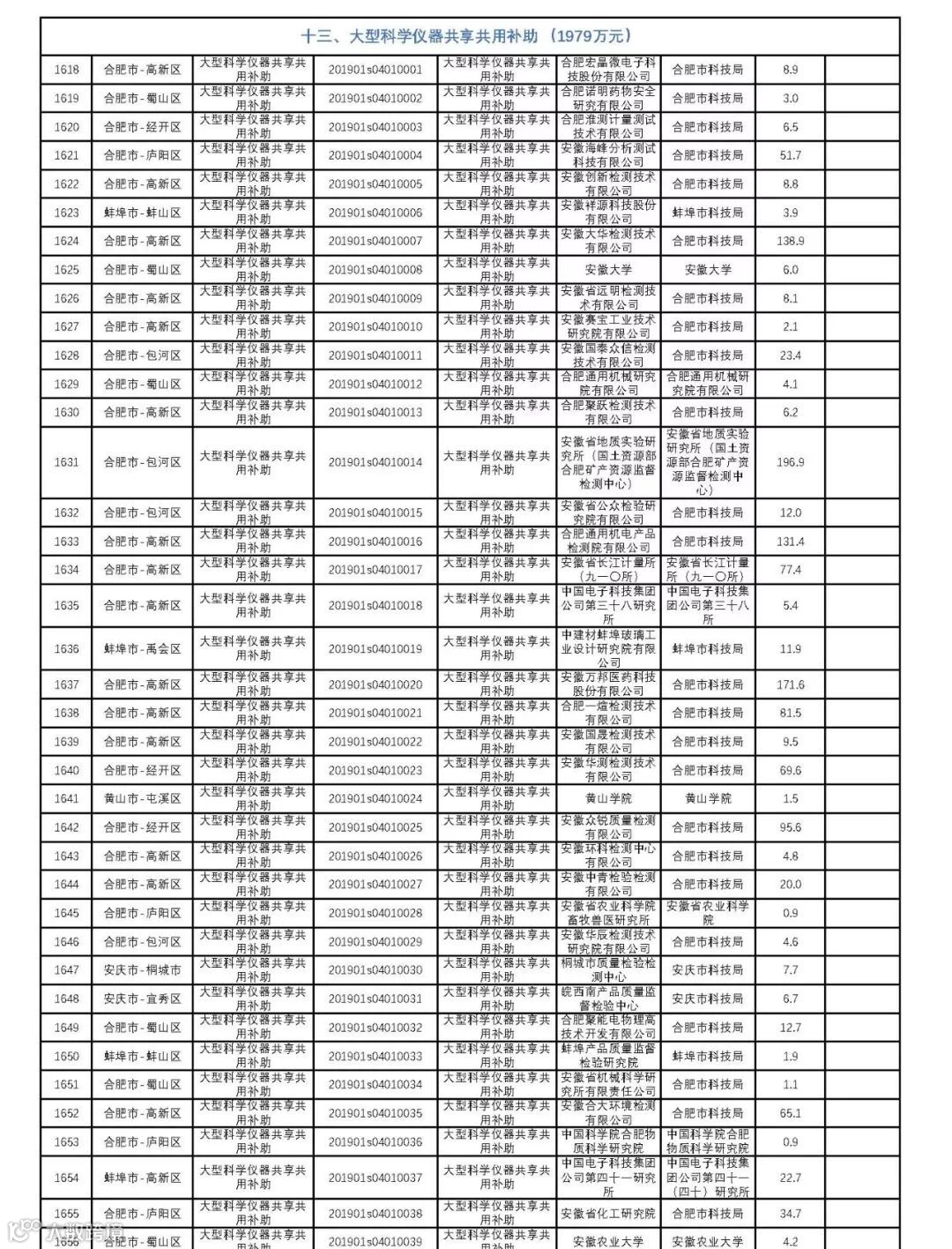
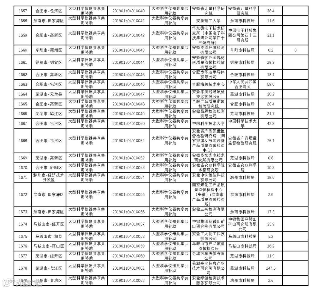
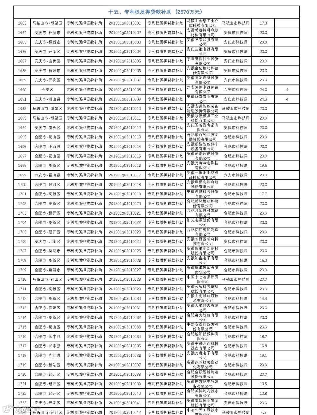
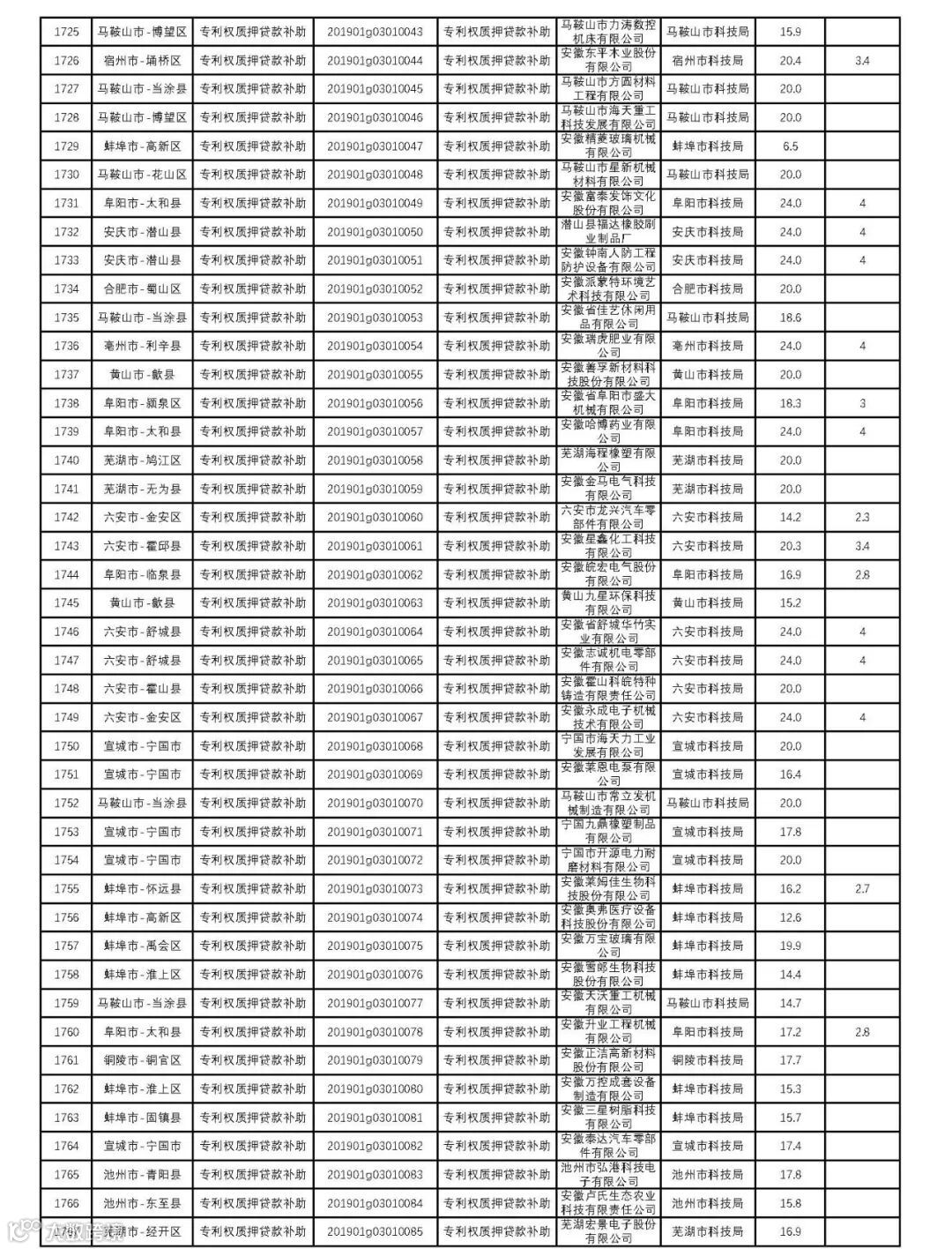
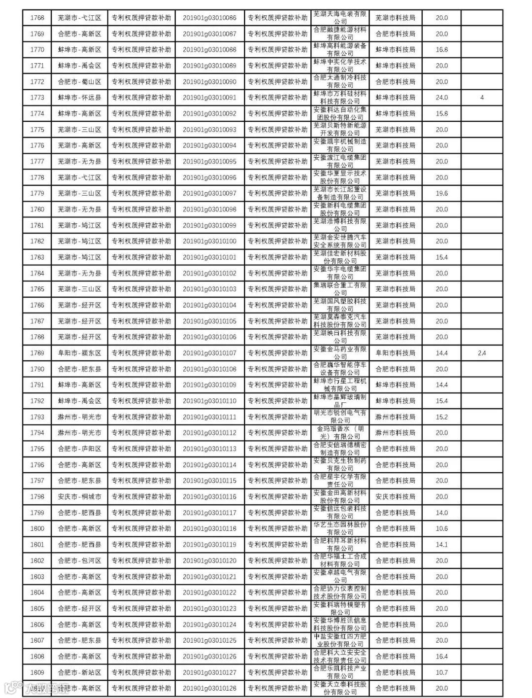
本年度政策兑现共包括9大类19款政策,共安排奖补项目1866项、奖补资金31831.34万元;安排支持14个市引导企业加大研发投入补助资金5000万元。其中企业购置研发关键仪器设备补助项目854项、补助资金9004.84万元,国家科技重大项目奖励项目86项、奖励资金1257.7万元,国家科技奖奖励项目6项、奖励资金600万元,省内高校院所在皖转化科技成果补助项目36项、补助资金1519.9万元,在皖企业购买省外先进技术成果补助项目113项、补助资金3005.9万元,高新技术企业培育奖励项目198项、奖励资金4052万元,省级高新区奖励项目3项、奖励资金300万元,国家高新技术产业基地奖励项目1项,奖励资金100万元,科技保险补助项目268项、补助资金1682.2万元,农业种质资源库(圃)绩效奖励项目9项、奖励资金450万元,动植物新品种绩效奖励项目33项、奖励资金498万元,农(林)业综合实验站、农技推广示范基地绩效奖励项目10项、奖励资金300万元,大型科学仪器共享共用补助项目62项、补助资金1979万元,涉外专利维权补助项目3项、补助资金1.8万元,专利权质押贷款补助项目142项、补助资金2670万元,获得中国专利奖奖励项目21项、奖励资金440万元,国家知识产权示范企业奖励项目17 项、奖励资金1740万元;支持与国内外重点科研院所高校合作补助项目4项、补助资金2230万元。上述奖补项目中已对皖北三市和贫困县项目给予支持经费20%上浮,共计上浮项目203个、上浮资金523.6万元。
各市科技局、各有关归口管理单位要加强对政策奖补资金规范使用的监督管理,需市(县)先行(共同)补助的项目要确保市县补助资金足额到位。对支持各市引导企业加大研发投入补助资金,各市科技局要会同市财政、税务、统计等部门,研究制定具体补助办法,确保专款专用;对建立研发准备金制度并享受研究开发费用税前加计扣除优惠政策的企业,按其研发投入强度和增长幅度择优给予一定资金补助,补助企业名单请于2020年2月底前报省科技厅备案。各获得政策奖补项目单位,要严格按照《安徽省支持科技创新若干政策专项资金管理办法》有关规定,明确奖补资金支出范围,完善内部控制和监督约束机制,合理确定科研、财务、人事、资产等部门的责任和权限,加强单位研发投入统计归集,及时按规定办理财务支出手续,自觉接受财政、审计、科技等部门的监督检查或绩效评价。
创新发展规划处:0551-62653657(支持与国内外重点科研院所高校合作奖补、支持各市引导企业加大研发投入补助政策)
资源配置与管理处:0551-64691013(承担国家重大科技项目奖励、科技保险保费补助、涉外专利维权补助、专利质押贷款融资补助、获得中国专利奖项目奖励、新认定国家知识产权示范企业奖励政策);
基础研究与科技奖励处:0551-62655036(获得国家科技奖奖励政策)、0551-62659625(大型科学仪器共享共用补助政策);
高新技术处:0551-62674421(高新技术企业培育奖励政策)、0551-62678620(企业购置研发设备补助、新获批国家高新技术产业基地奖励政策);
农村科技处:0551-62658791(农业种质资源库(圃)绩效奖补、农(林)综合实验站和农技推广示范基地绩效奖励政策)、0551-62678319(动植物新品种绩效奖励)
成果转化与区域创新处:0551-62644232 (新获批省级高新区奖励、省内高校院所在皖转化科技成果补助、在皖企业购买省外先进技术成果补助政策);
科技监督与诚信建设处:0551-62651782;
机关纪委:0551-62659375;
省科技情报所网络信息中心技术支持:0551-62654951。
特此通知。
安徽省科学技术厅
2019年12月31日































































往期回顾
Review of previous periods
政策 | 芜湖市出台21条措施促进经济持续健康发展
如文章对你或身边的朋友有帮助,
请点赞或转发!
若企业需要了解更多相关信息,
欢迎致电平台服务热线
400-0303-108
| 安徽双创服务平台 |
服务双创,共赢未来

点击↓阅读原文,了解更多


