
摘要:无人机航空摄影测量技术在国民生产中发挥着越来越大的作用。传统的航空摄影测量都需要一定数量的像控点,对于山地、丘陵和一些复杂的地形,像控点的获取尤为困难,从而大大限制了航空摄影测量的应用。本文以天狼星免像控航测系统为平台,介绍了免像控摄影测量的工作原理和作业流程,运用计算机自动进行内业处理,大大减少了人工干预。通过阐述其在青岛市某区1∶500地形图的应用中进行了精度分析。
关键词:无人驾驶飞机(UAV);航空摄影;免像控;精度分析
引言
无人机航摄测量系统已经成为在基础测绘、国土资源调查、地质勘测等重要领域的数据采集手段[1]。传统的无人机航摄系统需要一定数量的像片控制点,这些像片控制点是通过解析空中三角测量的方法来获得的。而解析空中三角测量所需要的外业控制点是由人员在实地结合地形控制测量的方法得到的。但对于丘陵、山区、森林等一些人员很难进入的地区,其控制点的布设变得尤为困难,从而也大大限制了无人机航摄系统的应用[2]。目前,随着GPS动态定位技术的广泛应用以及精密测时系统的快速发展,无人机航摄系统在减少像片控制点以及无控制测图方面取得了巨大的突破。本文以天狼星无人机航摄系统为基础,通过其在青岛市某区1:500地形图的应用对免像控航摄系统进行介绍和精度评定。
1无人机航摄系统简介
天狼星(Sirius PRO)无人机航测系统是美国拓普康定位系统公司研发的高精度微型电动固定翼RTK航空测图系统,其构成大体分为:无人机飞行平台、飞行控制系统、地面监控系统以及内业数据处理系统,该系统构成如图1所示。

图1 无人机航摄系统的构成
1.1 飞行平台
无人机飞行平台内部载有影像传感器、自动驾驶模块和RTK测量模块。具体技术参数如表1。

1.2 飞行控制系统
无人机的飞控系统用于飞行计划设计及任务设备管理,由自驾仪、GPS/IMU 惯性导航系统、GPS接收机等组成,可实现无人机的姿态、航高、速度、航向的控制及各个参数的传输,方便地面人员实时监控无人机飞行信息[3]。它采用手动、辅助和全自动飞行控制模式,可以有效的使无人机按照预定的飞行路线平稳飞行。
1.3 地面监控系统
地面监控系统包括地面监控软件和无线遥控器等。地面监控软件为MAVinci软件,通过它可以实时监控无人机的飞行高度、航迹、飞行姿态等数据,确保地面监控人员能及时了解无人机的飞行状况,保证飞行任务的顺利完成。另外该套软件也是航测系统的飞控软件,用于制定飞行计划实现自适应地势起伏。
1.4 内业数据处理软件
主要软件为数据后处理软件Photoscan,是一款基于影像自动生成高质量三维模型的优秀软件。它通过已知的基准点坐标、无人机获得的航片影像和POS数据自动完成影像定向、空三加密过程,实现免像控自动拼接处理,从而获得高精度的DEM、DOM 数据。
2免像控低空摄影测量工作原理
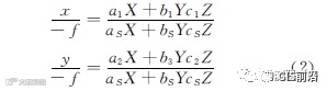
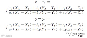
无人机低空摄影测量系统搭载的非测量数码相机的成像模型为小孔模型,物方的任意点的构象都是通过中心投影的方式成像在像平面上,而共线条件是中心投影构想的数学基础,如图2所示。

图2 共线方程
如图所示,S(XS,YS,ZS ) 为摄影中心,A(XA,YA,ZA) 为物方任意一点,a 为A 在影像上的构想,对应的像空间坐标和像空间辅助坐标为 (x,y,-f ) 和(X,Y,Z)。满足S、A、a 三点共线,像点的像空间辅助坐标和物方点物方空间坐标之间的关系为:

结合像空间坐标和像空间辅助坐标关系:

将(1)代入(2),考虑像主点坐标(x0,y0 )得到的共线方程为式(3):

式中:x,y 为像点的像平面坐标;x0,y0 ,f 为摄影的内方位元素;式中系数ai,bi,ci (i=1,2,3)为影像的3个外方位角元素组成的9个方向余弦。
在低空摄影测量中将航摄仪固定安装在无人机上后,机载GPS接收天线的相位中心位置与航摄仪投影中心的偏心矢量为一个常数,故每次曝光瞬间镜头的中心点S 的空间位置XS ,YS ,ZS 便可测定出来当作已知值,再根据求解相片摄影时姿态角的辅助设备,这样相片的6个外方位元素便可以得到。将外方位元素引入到解析空中三角测量进行区域网联合平差计算,通过地面上的一个基准点,便可获得相当精度的地面加密点坐标[4]。
POS 系统(Position and Orientation System)又称定位定向系统是集DGPS(Differential GPS)技术和惯性导航系统(INS)技术于一体,主要包括GPS信号接收机和惯性测量装置(IMU)两部分,亦称GPS/IMU 集成系统。在已知GPS天线相位中心,IMU以及航摄仪三者的空间位置关系,通过GPS载波相位差分定位获取航摄仪的空间位置参数以及IMU 获取无人机侧滚角、俯仰角和航偏角,获取航空影像曝光瞬间摄站三维空间坐标和航摄仪的姿态角,经过对系统误差的检校,便可直接获得影像外方位元素,从而实现无像控便可恢复航空摄像的成像过程。
3工程应用
为了更好地检验无人机免像控航测系统的应用,选择的区域位于青岛市某区。该区域地形以山区和丘陵为主,主要集中在东部和北部,地势起伏较大,测区面积为15.3km2。本次地形图成图比例尺为1∶500,生成图幅数为425幅。具体的作业流程如图3。

图3 无人机免像控测量流程
3.1 航摄设计与外业飞行
航摄设计根据软件MAVinci浏览自动下载带有高程数据的Google影像为基础,根据摄影区域地形情况、起飞场地情况以及摄影分辨率要求等因素,使用自带程序进行自动航线设计。此外,天狼星无人机航摄系统可以在不影响航测精度前提下按照地势起伏变化进行航线间自适应设计,如图4。

图4 航线间自适应设计
本次飞行参数为:地面采样距离0.05m,相对航高186m;航向重叠80%,航向最少不小于75%,旁向重叠65%,旁向最少不小于40%,每个架次航飞有效面积为0.7km2,航飞时间30min,飞行总架次22个,用时3天。
无人机经过地面检查,参数设置,基站架设等一系列工作完成后,采用手抛式起飞。在起飞之前,要根据风的方向变化调整无人机起飞方向,一般要求起飞时地面风力小于3级(风速约4m/s),逆风起飞为最佳;空中飞行的风力小于4级(5.5m/s)以保证航片的重叠度。
无人机飞到指定区域后,飞控系统会根据设定好的飞行路线实行自动驾驶飞行模式,并根据通信装置往地面监控系统发送实时飞行姿态数据,以便地面监控人员实时监管无人机飞行状态。每个架次结束时,无人机经过通信电台向地面监控系统发送POS数据,等到地面监控系统完成数据接收,采用手工遥控的方式对无人机实施人工降落,降落场地尽量选择在长度大于100m的硬化路面,并且保证视野开阔,同样采用逆风降落为最佳。
3.2 内业数据处理
天狼星航测系统采用一键式数据处理方式,减少了人工干预[5]。通过无人机获取的影像资料以及无人机传输POS数据生成匹配,输入基准点坐标和选取坐标系统利用MAVinci软件完成影像预处理,而后导入后处理软件。根据摄影测量的基本原理和三维重建技术,后处理软件Photoscan能够自动计算出影像摄站点位置和影像姿态,根据以上信息完成像片的内定向、相对定向和绝对定向等[6-8],只需要设置少量参数便可以生成带有地理参考的DEM、DOM 和高密度点云数据。
由于采用一键式内业处理方式,在内业处理时无需人工操作,节省了大量的人力,内业处理时间与计算机配置有关,本次内业处理时间(包括DEM、DOM、点云数据、影像拼接)总用时为5天。利用以上数据生成DSM,通过EPS软件进行后续的数据生成。由于不需要像控点的布设和测量,时间节点上得到了充分利用,只需要把第一天的数据传至数据处理中心,内业处理和DLG的生成便可从第二天开始。本次测量任务共经历了8天(外业航飞3天,内业数据处理5天和DLG的生成耗时7天)。
3.3 精度评定
航飞前,利用GPS RTK 技术结合全站仪设备,对测区内170个特征点进行了采集(包括92个平面特征点和78个高程点)。平面特征点主要选取较为明显、易于观测的点,包括道路夹角、墙体拐角、桥头和一些无房檐遮挡的房角等;高程检测点主要选取硬化道路中心点等。通过选取成果数据中的特征点的坐标值与野外RTK实测对应点的坐标进行统计如表2和表3。

在本次精度统计中,平面位置误差最大为0.331m,最小为0.032m,中误差为0.141;高程误差最大为0.334m,最小为-0.001m,中误差0.135m。为了更好地了解数据精度,本次也对误差区间做了统计见图5和图6。

图5 平面精度区间统计图

图6 高程误差区间统计图
从图上也可以看出,平面误差区间在小于0.1m和0.1m-0.2m 之间占了超过80%以上的比例,超过0.2m 的占了12%;高程误差区间在小于0.15m 的比例达到74%,超过0.15m 的为26%。综上所述,无论是DEM 和DOM 的精度均未超限,满足规范要求[9-10]。
4结束语
无人机航测技术以其卓越的优势,在基层测绘作业中被越来越多的采用,发挥着日益重要的作用。通过实践表明,天狼星无人机航测系统省略了像控点的布设和测量,并且内业数据处理也采用了计算机自动完成拼接等关键步骤;因此在小区域,复杂的地形环境中相对于传统低空摄影测量技术,天狼星免像控航测系统大大地提高了工作的效率,缩短了任务周期,降低了野外人员的工作量和强度。在实际工作中我们也看到了无人机的一些缺点:航程小,无人机续航时间短,场地选取条件苛刻。但是天狼星无人机航测系统作为新型的低空摄影测量技术,其高分辨率、高效率、任务周期短、灵活简便、免像控等特点,在以后的生产建设中仍然发挥着其独特的技术优势。
来源:《北京测绘》2018第9期
作者:贾彦昌,张斌
转载于:勘测联合网
- END -

▼更多干货不容错过

