
摘要 : 近年来无人机低空遥感技术不断发展,利用无人机影像生成的真正射影像(TDOM)在成图精度、制作流程方面仍有提高的空间。 本文采用固定翼无人机和专业摄影相机采集影像,布设地面控制点,提出了利用运动恢复结构(SfM) 和多视立体视觉(MVS)工作流来生成高精度数字表面模型(DSM)和数字正射影像(DOM)的方法;对遮蔽倾斜部分进行阴影检测、DSM 修编和多视影像纹理补偿生成TDOM;最后用TDOM 上随机分布的检查点进行精度检查,水平精度为3.3 cm,垂直精度为7.5 cm,消除了DOM 中倾斜和阴影部分,使建筑物保持垂直视角,生成的满足1 ∶ 500 比例尺高精度并消除倾斜阴影的TDOM 可用于农村宅基地确权、国土规划设计等领域。
关键词 : 无人机;运动恢复结构(SfM);多视立体视觉(MVS);数字表面模型;真正射影像
近年来,无人机低空遥感技术在许多领域得到广泛发展,已成为地理信息空间数据获取的重要技术手段之一。 与传统测量方法、卫星遥感和航空遥感相比,无人机遥感具有高时效、高分辨率、低成本、低损耗、低风险及可重复等诸多优势,能够在大面积区域、常规航摄困难地区和突发自然灾害地区快速获取高分辨率影像[1-3] 。
数字正射影像图(digital orthophoto map,DOM)是与地表垂直平行投影所得到的影像,同时具有地图的几何精度和影像的视觉特征。 真正射影像图(true digital orthophoto map,TDOM)是将地表影像经垂直投影,消除投影差,使地形和地物均被纠正到正确的平面位置上而生成的影像数据集,具有像片的影像特征和地图的几何精度[4-7] 。真正射影像图与传统正射影像图最显著的差异在于正射纠正的同时分析地物的可见性。TDOM 具有丰富的色彩和易于判别的纹理图案,可降低外业成本并提高精度,广泛应用于国土规划、精准农业、荒漠化监测、土地利用调查、农村宅基地确权等方面[8-11] 。
目前已有国内外许多学者对无人机真正射影像进行了研究,Lucieer 等使用运动恢复结构(struct from motion,SfM)算法和多视立体视觉(multi view stereo,MVS)算法建立了超高分辨率的3D 模型,生成的DOM 可用于对南极苔藓生存状况评估[12-13] 。艾明耀等提出了一个建立自动空三、多视点匹配的方法来改善数字表面模型(digital surface model,DSM)和DOM,使影像三维可视化[14]。 朱庆等提出了面向对象的真正射影像纠正方法,定义物方像方定义,全局可见性缩影,面向对象的真正射纠正和纹理优化采样[15] 。范彬彬等在村庄地籍调查中生产1 ∶ 1000 比例尺的TDOM,TDOM 克服倾斜遮挡问题,可对村庄地籍图直接矢量化[16] 。
目前研究尚有待改进的地方:①数字正射影像整体精度无法满足需求,国内传统方法对空三加密,生成DOM 精度平面中误差在0.15 m 左右[11] ,无法满足如农村宅基地确权等对高精度的要求。本研究使用运动恢复结构( SfM) 算法、多视立体建模(MVS)生成点云、DSM、DOM,可生产平面中误差在0.05 m 以内的高精度DOM;②DOM 局部影像存在倾斜遮蔽等问题,降低了影像局部精度,传统DOM是以数字高程模型(digital elevation model,DEM)为基础生成的,但存在中心投影变形、地形地物遮蔽阴影等问题,降低了DOM 局部范围精度,使用DSM 对DOM 进行纠正可生成TDOM。
本文以北京密云为研究区,使用无人机航拍收集数据,引入运动恢复结构算法(SfM)工作流来生成点云、DSM、DOM;针对局部影像房屋倾斜遮挡问题,通过对DSM 编修和多视影像补偿来消除倾斜生成TDOM,对生成的点云、DSM、TDOM 结果进行验证和讨论,从而提出一种无人机遥感真正射影像高精度制图方法。
1 研究方法
1.1 研究区概述
测试区域位于北京市密云区西邵渠村,密云区位于北京市东北部,属燕山山地与华北平原交接地,测区主要为农村宅基地,大部分建筑为一层楼平房,村内地势平坦,四周为农田,选取航飞区域为南北朝向,长条形状。 测区最高海拔为140 m,最低海拔为120 m,平均海拔为130 m, 飞行航拍当天天气晴朗无云,阳光照射充足,微风,适合进行无人机航飞拍摄。
1.2 外业航飞
1.2.1 设备参数
本研究所用无人机为大疆筋斗云S-900,它是一款轻巧稳定、便携易用的专业六旋翼飞行平台,主要结构部件均采用质量强度较高的碳纤维复合材料,整机自重约3.3 kg,搭载云台相机后最大起飞重量约8.2 kg, 搭载的数码相机为Sony A7r,3600 万像素,分辨率为7360×4912 像素, 传感器尺寸为35.9 mm×24 mm,相机重量为407g,可配合云台搭载在无人机S-900,用于采集影像数据。
1.2.2 GCP 布设
经航飞前实地调研观测,并结合飞行航线,利用Google Earth 在测区布设了32 个控制点、6 个检查点。布点沿航线方向均匀分布,位置在村庄内沿着主要道路、道路交汇处、房屋拐点、农田周边等,如图1 所示。 使用思拓力SC200 高性能CORS 接收机,架设地面CORS 基站,使用移动手持GPS 测量每个控制点和检查点的坐标数据。

图1 控制点分布
1.2.3 飞行控制
航线规划在大疆无人机系统配套软件Rockycapture 中完成,测区为约0.3 km2、长701 m、宽330 m 的长方形区域ꎬ,飞行2 个架次,规划航线10 条,蛇形路线飞行,航线设计如图2 所示,相对航高为160 m,地面分辨率(GSD)为1.6 cm,预设航向重叠率80%,旁相重叠率60%,曝光间隔为2 s,每个架次飞行时长18 min, 在研究区拍摄了460 张影像,完成航飞后,导出影像和GCP 数据,在Pix4D 中快速检测,并检查影像重叠率、相机焦距、单幅影像特征点匹配数量、GCP 与影像地理配准等指标是否满足要求。经检验,影像质量和GCP 质量良好,满足内业处理及正射影像制图规范[16] 。
1.3 SfM 算法生成点云
近年来随着计算机视觉技术的进步,SfM 算法和MVS 已成功应用于无人机影像处理,可生成高分辨率的DSM 和DOM, SfM 算法工作流程为:导入航飞获得的51 张高精度影像和3 个控制点数据,对控制点数据在可见的影像上进行刺点;通过控制点数据赋予的坐标和包含这些控制点的影像特征点,利用软件检索每两张影像中相同的特征点并进行匹配,恢复每张影像相机曝光的位置和姿态,将影像位置恢复在空中并显示运动轨迹,地面特征点的三维位置也可获得,这些特征点形成了一个稀疏的三维点云;基于MVS 的密集的几何重建可生成更详细的三维模型,其中3 个控制点数据用来改进该三维模型的绝对精度,DSM 网格生成的三维模型采用的地图投影为WGS-84 UTM 50 N;将原始影像投影到数字表面模型并将影像纹理混合在重叠区域,即可产生整个地区的数字正射影像。

(a)SfM算法恢复的相机曝光位置及无人机运动轨迹

(b)多视立体视觉(MVS)建立的纹理贴图三维模型
1.4 DSM 修编
DSM 是表达地球表面及表面上物体(如房屋、树冠等)高起伏形态的数据集,是地表上自然、人工地物空间信息的统一体。与DEM 相比,DSM 除包含地形的高程信息外,还涵盖了除地面以外的其他地表信息的高程,如建筑物、植被等,可表达各种建筑物表面和植被覆盖情况,反映坐落于地面的所有物体表面特征,更准确更直观地表达地理信息。 使用DSM 代替DEM 生成DOM 可获取更多地表信息,且可以对生成的DSM 进行修改编正,恢复被倾斜遮蔽的地物。
对初步匹配生成的DSM 进行遮挡区域检测,然后对遮挡区域进行分析和纹理修补,进一步恢复建筑物的立体角度,最后对修补好的DSM 去噪和平滑,在立体模型下手工精细编辑DSM,得到高精度的DSM。
1.5 TDOM 纠正及精度评价
利用中心投影的航摄影像得到正射影像图,实质是将中心投影转变为正射投影,一般采用影像纠正的方法实现两种投影之间的正确变换。本文采用数字微分纠正的方法,其原理是对数字影像进行逐个像元的微分纠正,即根据影像的已知定向元素和数字高程模型,按一定的数字模型利用控制点结算,由原始的中心投影的像片获取正射影像,其过程是将影像化为很多微小的区域,如一个像元的大小,逐一进行纠正。
利用多视影像对遮挡区域进行补偿,主要包括分别对每张影像生成近似真正射影像,然后对所有可见区域进行融合,依据一定原则选择合适主、辅影像进行补偿,在高精度DSM 的基础上,采用数字微分纠正的方法纠正消除了所有视差,建立了完全垂直视角的地表景观。 建筑物保持垂直视角,只显示了建筑物的顶部,不显示侧面,避免了高大建筑物对其他地表信息的遮挡,恢复了建筑物的正确显示,生成TDOM。
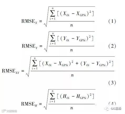
在完成正射影像成果之后,需要对其精度进行检验,以确认成果及整个试验方法的可靠性,检查点的X 方向误差、Y 方向误差、平面中误差、高程中误差计算公式分别为:

式中,RMSE 为中误差;XGPSi 、YGPSi 、HGPSi为实测值,单位为m;XOi 、YOi 、HOi为图上值,单位为m;n 为检查点数量。
2 结果与讨论
2.1 点云评价
对导入的影像和GCP 数据使用SfM 算法恢复相机曝光位置和运动轨迹,生成稀疏点云,接着根据稀疏点云使用MVS 生成稠密点云,根据生成点云利用反距离权重插值法生成数字表面模型。
从图2 可看出,利用SfM 通过特征点匹配,可以恢复每张影像相机曝光时的位置和无人机的运动轨迹,对生成的稀疏点云进行致密化处理,生成致密化三维点云数量约为1769 万个点,平均每立方米477.18 个点。根据三维点云数据创建Mesh 网模型,接着利用反距离权重插值法生成DSM 模型,对DSM 模型进行去噪滤波和表面平滑处理,结果如图3 所示。

图3 数字表面模型(DSM)
2.2 DSM 修编及TDOM 纠正
图4 为生成DSM 的有遮蔽倾斜部分,图5 为对DSM 进行修编后,建筑物房屋外形轮廓明显无倾斜遮蔽。 生成的DOM 也减小了倾斜和遮蔽。

图4 DSM 修编前
采用人工填补影像排序的方法,对标记为遮蔽区的地方进行影像填补,得到完整的正射影像。为避免副影像中用来填补的影像区域为遮蔽区,也需对副影像进行遮蔽检测,接着对初步正射纠正成果中标记为遮蔽区的地面单元与副影像遮蔽区进行判断,判断该遮蔽区是否能通过该副影像得到所需的影像信息。如果标记为遮蔽区的单元不在该副影像的遮蔽区中,则进行影像填补,反之不进行处理。依次利用航测影像来进行遮蔽区影像的填补,当得到的真正射影像具有完整的影像信息后就停止填补,否则持续进行。直到最后一张, 如图6、图7 所示,原始影像中圈内有明显的建筑物倾斜,通过正射纠正后,消除了这些明显的倾斜。每个建筑物处于垂直正射角度,如图8、图9 所示。

图5 DSM 修编后
图6 原始影像1
图7 原始影像2

图8 消除倾斜遮蔽后TDOM1

图9 消除倾斜遮蔽后TDOM2
2.3 正射影像精度评价
图10 为生成的真正射影像TDOM,在图中随机选取了5 个检查点,与野外实测数据进行比较,其结果见表1。

图10 真数字正射影像(TDOM)

程中误差分别为0.033 m 和0.075 m,相比之下,范彬彬等[10] 平面和高程中误差分别为0.10 m、0.15 m。本研究剔除个别异常点,异常点发生的原因是标识被居民移动等,平面中误差可以控制在0.05 m 内。
参考«数字航空摄影测量空中三角测量规范»(GB/ T 23236—2009)7.1 中,1 ∶ 500 比例尺在检查点平面和高程最大限值分别为0.175 m 和0.15 m,DOM 检查点计算结果符合要求,且质量较好。
3 结 语
本文以北京市密云区西邵渠村无人机摄影像数据为研究地区,使用多旋翼无人机搭载高分辨率相机采集数据,在地面布设地面控制点标志并进行RTK 方法测量。 利用运动恢复结构(SfM)汇算相机与三维信息,多视立体建模(MVS)密集匹配获取三维点云模型,由点云生成高精度和准确的DSM、DOM;对DSM 遮挡部分进行遮挡分析和纹理修补,基于DSM,使用数字微分纠正,生成TDOM,可以有效解决传统的DOM 存在中心投影变形、地形地物 遮蔽阴影等问题。制作的DOM 精度高,平面中误差为0.033 m,高程中误差为0.075 m,优于«数字航空摄影测量空中三角测量规范» (GB/ T 23236—2009)中1 ∶ 500 比例尺在检查点平面和高程最大限值分别为0.175 m 和0.15 m 的要求。本研究可用于农村宅基地确权、不动产登记等工作,生成的TDOM具有可控制在0.05 m 内精度,可大大减小外业测量的工作量并提高精度。
来源:《测绘通报》2018年2期
原标题:无人机遥感真正射影像高精度制图
作者:刘宇,郑新奇,艾刚
本文仅限行业学习交流之用,版权、著作权归原载平台及作者所有,如有侵权,请立即联系删除。
- END -
免像控无人机航摄系统在1:500地形图测绘中的应用(基于Photoscan)


