
一、数据来源介绍
(一)湖北省各地市行政边界数据
湖北省各地市行政边界数据来源于中国科学院资源环境科学与数据中心(https://www.resdc.cn/Default.aspx)。
该网站注册完成后即可每天下载一条数据,完善个人信息后即可每天下载五条数据。
(二)湖北省各地市生产总值(GDP)数据
湖北省各地市生产总值(GDP)数据来源于湖北省统计局官网(https://www.resdc.cn/Default.aspx),往年的统计数据均存放于一个压缩包内。

内容比较多,寻找时需要有耐心一点。
文末有以上数据下载链接。
二、数据预处理
(一)湖北省各地市行政边界数据预处理
湖北省各地市行政边界数据存放于中国地市行政边界数据图层当中,我们可以利用ArcGIS提取出我们需要的地市数据。记得备份喔,这样以后在用到其他省份的地市行政边界数据时就不用在从网站中下载了。
首先我们将中国地市行政边界数据图层加载到ArcGIS,右键图层,打开图层的属性表,利用【按属性选择】工具将属于湖北省的地市选取出来,接下来可以将选中的要素导出或者反选将其余要素删掉。

由上图可以发现湖北省共17个地市划分出了36个要素,我们可以利用融合工具将要素按属性融合,将属于同一地市的要素融合为一个要素。
工具位置:数据管理工具 -> 制图综合 -> 融合

但我们融合之后要素只剩十四个了,经过探究可以了解到问题出现在【省直辖行政单位】。
对比发现,省直辖行政单位是将神农架、仙桃市、天门市和潜江市合并为一个要素,其中因为仙桃市、天门市和潜江市行政单位是接壤的所以在融合前就被放在一个要素内。
那我们如果想要将神农架与仙桃市、天门市和潜江市组成的大要素分开成两个要素该怎么处理呢,相信很多G友都没有一个很好的处理办法,其实呢我们只需要将编辑器打开,使其处于编辑状态,复制原图层的要素至新图层即可,哦对,我们在进行编辑时要将原图层与新图层放在同一文件夹下才能共同编辑喔。


此时可以顺便修改一下要素名,使其和Excel表里的名字一致,方便我们后续连接数据。

(二)湖北省各地市行政边界数据预处理
我们将仙桃市、天门市和潜江市的地区生产总值在(GDP)加在一起,作为省直辖行政单元的数据,为了方便连接数据,我们可以将数据提取至新的工作表中。

三、引力模型介绍
在知网上一搜“基于引力模型的空间格局研究”,有各省份相关的研究,也是通过GDP、人口等一切你能自圆其说的社会经济数据,利用ArcGIS来做各城市间的联系度。应该也见过,如下面一些图(图片来源于《基于引力模型的区域创新产出空间联系研究--以浙江省为例》):
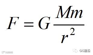
万有引力都听过吧,但没想到能够应用在经济地理领域吧,是不是很有趣,无论是用什么样的数据,其原理基本都是牛顿力学的万有引力公式为基础。

Tinbergen(1962)和Poyhonen(1963)对其在经济学领域做了发展、延伸,提出了一个比较完整且简便的经济学模型——引力模型。这个模型认为两个经济体之间的单项贸易流量与它们各自的经济规模(一般用GDP来表示)成正比,与它们之间的距离成反比。
两个城市之间的引力模型公式通常可表现为:

式中:
为城市i、j间的经济联系强度;
为经济常数,可取值为1;
与
分别为城市i、j的经济质量,这里选取GDP作为经济质量;
为城市i、j间的经济距离,这里将各地市要素转点后,计算点与点的间隔作为经济距离。
四、可视化处理
(一)要素转点
利用要素转点工具将各地市面要素变为点要素,方便计算距离和后续引力线的显示。
工具位置:数据管理工具 -> 要素 -> 要素转点
(二)计算经纬度
打开点图层的属性表,新建双精度经纬度字段,右键字段名,选择计算几何,其中点的X坐标为经度,点的Y坐标为纬度。


(三)计算点距离
利用点距离工具计算各地市点的距离。
工具位置:分析工具 -> 邻域分析 -> 点距离
(四)删除相同项
观察新生成的表,其中INPUT_FID是起点城市的ID,NRAR_FID是终点城市的ID,DISTANCE是起点城市与终点城市之间的距离;另外我们还可以发现表中总共有210项,15个要素之间相互计算距离拢共会有225种情况,去除自身与自身的15种情况,恰好是210项,但也说明会出现重复项,就像图中前两行那样1与2和2与1的距离是一样的,我们仅需要知道两个点之间的距离为多少就行,无需考虑排列组合的问题,所以我们删掉重复项即可,这里因为处理对象是表而不是要素图层,我们没有办法使用融合工具对重复项进行融合,所以这里我们使用【删除相同项】工具,处理完重复项,剩余105项。
工具位置:数据管理工具 -> 常规 -> 删除相同项

(五)数据连接并计算
右键表,选择链接,这里我们拢共要连接四次,首先是按INPUT_FID字段和NRAR_FID字段连接点图层获得起点城市和终点城市的经纬度信息,接着是按起点城市和终点城市连接GDP数据。



注:ArcGIS中一个图层不能连接另外一个图层两次,所以可以选择将要连接的那个图层复制一份再连接,另外工作表也是喔。
在表中新建双精度字段并命名为经济联系强度,右键新建字段名打开字段计算器,按引力模型输入。
(六)XY转线
之前连接的起点城市和终点城市的经纬度信息就是用在这里的,起点城市和终点城市作为引力线的端点,无关乎谁做起点谁做终点。
工具位置:数据管理工具 -> 要素 -> XY转线
(七)符号化分级显示
右键图层,选择属性 -> 符号系统,显示栏中选择数量 -> 分级符号,值为经济联系强度。
五、成果展示


数据下载
进入本公众号后台
发送数字
1771
获取下载链接
文件名:城市联系度分析
- END -
去除影像黑边的N种方法
影像三维地形图制作(附练习数据)
如何做一张漂亮的高程、坡度、坡向分析图(附练习数据下载)
使用深度学习重建3D建筑



