
摘 要:免像控大比例尺无人机测图是航空摄影测量发展的趋势。以天狼星无人机航测系统为例,介绍了固定翼无人机的基本结构,阐述了免像控大比例尺无人机测图的流程,探讨了自适应航线设计、POS 辅助空中三角测量等无控制点航空摄影测量数据处理的关键技术。结合工程实例,将得到的DEM、DOM 中的明显地物特征点坐标与对应地面检核点的实测坐标进行对比分析,验证了天狼星无人机航测系统应用于1∶500 测图的可行性。
关键词:无人机;大比例尺;航线设计;POS;空中三角测量
传统的航空航天测量技术因成本高、现势性不强、受天气条件影响大等原因,一般用于大范围中小比例尺测量任务。而基于无人机平台的航空测量技术具有成本低、机动灵活、时效性强的特点,可以快速高效地获取高分辨率影像、数字高程模型DEM 和数字正射影像图DOM 等数字产品,在大比例尺测图、灾害应急处理、地理国情监测等领域拥有独特优势,正逐步成为空间地理信息获取的重要手段。
目前,基于无人机的大比例尺航空摄影测量需要布设一定数量的像控点,工作强度大,精度低。针对像控点布设的缺陷与不足,本文基于天狼星无人机航测系统,探讨了在无控制点的前提下,利用固定翼无人机进行1∶500 数字测图的流程和关键技术,并通过工程实例对天狼星无人机航测系统在1∶500 测图中的可行性进行探究。
天狼星无人机航测系统主要由无人机飞行平台、飞行控制系统、影像传感器和地面监控系统组成。
1.1 无人机飞行平台
该飞行平台是手抛式固定翼无人机,具体参数如表1 所示。
表1 天狼星无人机相关参数

1.2 飞行控制系统
飞行控制系统包括机载自主控制和地面人工控制两大部分。无人机的升空过程和回收过程由地面人员通过地面控制系统进行控制,飞机到达预先设定的高度后,通过机载自动控制系统进行自动驾驶,并可以在两种模式下自由切换。
机载控制系统的POS 通过RTK 动态差分技术和IMU 惯性测量装置直接在航测飞行过程中实时测定无人机的位置和姿态,并由数据通信系统进行传输,通过地面控制平台显示飞行姿态、速度、高度、方位等相关参数。
1.3 影像传感器
天狼星无人机搭载的传感器为普通非量测数码相机松下GX-1,相机焦距为14 mm;定焦1 600 万像素;相机快门速度在静态模式下为60~1/4 000 s;闪光同步速度为1/160 s;在动态模式下分别为1/30~1/6 000 s、1/25~1/6 000 s。
2.1 自适应航线设计
天狼星无人机航测系统配套的MAVinci Desktop 软件包含面向全球的影像数据,在确定目标测区后,软件可以自动下载测区影像。通过在影像上添加角点定义飞行范围,输入地面采样距离GSD 即可自适应地设定飞行高度和重叠度等技术参数,实现航线的自动规划。针对高差起伏大的区域,采用航高固定不变的飞行计划,则地面采样距离和重叠度不能达到要求,而天狼星无人机可以根据地形起伏自动调整航高,不仅确保设计的地面采样距离和重叠度保持不变,同时可以自动避障,保证了飞行安全。
自适应航线设计以天狼星的飞行参数为基础,根据成图比例尺选择地面采样距离,进而确定航高:

式中,H 为航高;f 为物镜焦距;α 为像元尺寸;GSD为地面采样距离。
此外,航线设计的其他参数如下式所示:

式中,l 为像片的像幅尺寸,单位为m;L 为l 对应的地面距离,单位为m;m 为摄影比例尺分母;p% 为设计的航向重叠度;B 为摄影基线长度,单位为m。
对于大范围测区,航线设计需要综合考虑测区面积、地形地貌、续航能力等诸多因素,对此,MAVinci Desktop 可以对测区进行自动分割,合理划分架次,不仅可以提高效率,还能获取高质量航摄影像。
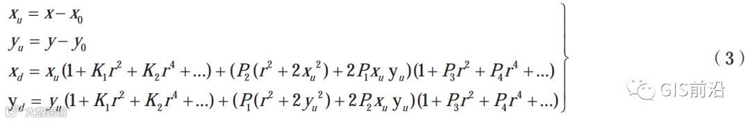
2.2 镜头畸变纠正
天狼星无人机搭载的是非量测相机松下GX-1,在摄影成像过程中,由于存在镜头畸变,使得实际像点位置坐标偏离理想像点坐标。该相机焦距固定,则镜头畸变属于系统误差,对每张像片产生同样的影响。本文利用直接法进行像片的畸变纠正,即将原始像片上的每个像元按照畸变改正模型进行改正,计算出改正后的对应像点坐标,并保持灰度值不变。畸变纠正模型如下:

式中,(x, y) 表示无畸变像点在以左上角为原点的像平面坐标系下的坐标;(x0, y0)表示像主点坐标;(xu, yu) 表示以像主点为原点的像平面坐标系下的坐标;(xd, yd) 表示畸变纠正后的像点坐标;K1, K2, …, Kn 表示径向畸变参数,由相机标定获得;P1, P2, …, Pn 表示切向畸变参数,由相机标定获得;
表示(xu, yu) 的径向距离。
2.3 POS 辅助空中三角测量
在传统航测中,像控点的布设是航测的基础。不论是飞前布控还是飞后布控,都占用大量的人力物力,同时,控制点的布设方式和稳定性以及内业刺点都直接影响着测量结果的精度。无人机所搭载的非量测相机,镜头畸变大,且所获取的影像像幅面较小,单幅影像地面覆盖范围有限,导致空三解算需要更多的控制点来保证精度。
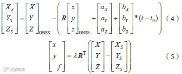
POS 辅助空中三角测量技术的出现,有效解决了低空无人机摄影测量对地面控制点的依赖问题。不同于传统的航测流程,天狼星无人机航摄系统集成了高更新频率的机载RTK 和IMU 惯性测量单元,在航空摄影的同时,100Hz 的实时差分RTK 模块通过载波相位差分技术,将一台GNSS 接收机安置在基准站,与机载接收机进行同步观测,根据基准站的已知坐标,计算出基准站到卫星的距离改正数,并对机载接收机的定位结果进行改正,从而获取无人机拍摄每张像片时的精确坐标,使得每张像片的位置信息实现和地面控制点同样的功能。同时,通过惯性测量单元IMU 来感测无人机的加速度、旋转角度等,经过积分运算,实时测定无人机的位置姿态信息。将GNSS 的精确坐标和IMU 的姿态参数进行联合后处理,求取每张像片的6 个高精度外方位元素,从而实现无控制点空中三角测量。
POS 辅助光束法区域网平差包含三类观测值:像点坐标观测值、GNSS 接收机测定的摄站点坐标观测值和IMU 测定的无人机姿态角观测值。同时,考虑加入GNSS 和IMU 观测值包含的与航摄飞行时间t 成线性关系的系统误差,建立影像外方位元素与POS 数据的函数关系,如式(4)、(5):

式中,[Xs Ys Zs]T 表示实际曝光时刻投影中心的坐标;R 表示影像外方位元素的3 个角元素φ、ω、κ 所构成的正交变换矩阵;[x y -f ]T 表示像点在像空间坐标系下的坐标值;λ 是投影系数,在解算过程中相互抵消;[X Y Z]T 表示像点在像空间辅助坐标下的坐标值;[X Y Z]T GNSS 表示相机曝光时刻记录的摄站点GPS 位置;[x y z]T GNSS 表示GPS 天线相位中心在像空间坐标系下的坐标值;[aX aY aZ]T 和[bX bY bZ ]T分别代表GPS 线性偏移系统误差改正参数中固定部分和随时间变化部分;t 表示该曝光点的曝光时刻,t0 表示参考时刻。
3.1 测区概况
某测区是东西长约4 km、南北宽约1 km 的近似矩形区域。测区分布有居民地、公路、河流、农田、植被密集区、公共设施等,具有代表性,整体地势平坦,平均海拔25 m,空域良好,天气晴,微风,适合无人机进行低空摄影测量。本次工程平面坐标系统为1954 年北京坐标系,高程系统为1985 国家高程基准。
3.2 航测流程
天狼星无人机航测系统进行大比例尺测图主要包括影像获取和数据处理两个环节,基本流程如图1所示。

图1 无人机航测流程图
3.2.1 影像获取
根据测区概况,用MAVinci Desktop 软件在GoogleEarth 影像上制定飞行计划,覆盖飞行区域,在实地踏勘后对飞行计划进行调整与优化。本次航飞分割为两个架次,航线总长约32 km;设定地面采样距离为5 cm,航高为194 m,航向重叠80%,旁向重叠60%。航线设计如图2 所示。

图2 航线设计示意图
由于天狼星无人机集成了高精度的POS 系统,在航摄过程中可以直接获取每张像片的外方位元素,所以无需布设像控点,仅需在已知点架设基准站即可开始无人机航空摄影。
3.2.2 数据处理
天狼星无人机航测系统首先利用MAVinci Desktop软件对航测像片进行畸变纠正、匀光匀色和影像匹配等预处理。然后导入Agisoft Photoscan Pro 软件对影像匹配数据进行后处理。依据摄影测量的原理,利用航摄像片、POS 数据和RTK 基准站的坐标数据,通过严密光束法区域网平差计算出每张像片的位置、姿态等6 个外方位元素,完成空三加密,进而通过建立密集点云生成格网和纹理,获得高分辨率的DOM(图3)和DEM(图4),最后对DOM 进行矢量化,利用DEM生成等高线,两者叠加,编绘制作线划图。

图3 DOM 示意图

图4 DEM 示意图
3.3 数据检核与精度评定
为了探究天狼星无人机航测系统在大比例尺测图中的可行性和可靠性,本工程在测区内均匀选取了50 个具有明显特征的地面检核点,包括房角、墙角、地面坎角等,并采用GNSS RTK 进行坐标采集,然后与影像上对应点的量测坐标进行对比,计算x、y、h 3 个方向的较差,并根据中误差公式求得平面中误差和高程中误差。其中,同名点的平面坐标通过DOM数据直接量测,而高程则通过DOM 套合DEM 生成数字表面模型DSM,并在DSM 上量测同名点的高程值,如表2。
表2 坐标检核统计表

根据表2 绘制坐标偏差如图5。

图5 坐标偏差图
计算结果如表3。
表3 坐标精度统计表

由此可知:
1)x 和y 方向坐标偏差整体趋势一致,中误差基本相等,且均低于地面采样距离,达到了各方向坐标偏差约等于地面采样距离的预期。
2)检核点平面点位较差最大值为0.059 m,最小值为0.019 m,平面点位中误差为0.049 m,根据规范《基础地理信息数字成果1∶500、1∶1 000、1∶2000 数字线划图》,在平地、丘陵地区,1∶500 比例尺的数字正射影像图明显地物点的平面位置中误差不应大于0.3 m,所以,平面精度远远高于规范要求。
3)检核点z 方向坐标偏差整体大于x 和y 方向的坐标偏差,最大值为0.079 m,最小值为0.005 m,高程中误差为0.059 m,说明高程精度略低于平面精度。
根据规范《基础地理信息数字成果1∶500、1∶1000、1∶2000 线划图》,在平地区域,1∶500 比例尺数字高程模型检核点的中误差不应大于0.2 m,所以,高程精度同样可以达到规范要求。
4)分析发现,占88% 的检核点的影像量测高程值高于实测高程,原因可能是在数字表面模型DSM 上进行高程值量测时,有植被覆盖的区域没有准确地切合到地面,未能反映地表的真实高程值。
本文通过工程实例表明,在平原地区由天狼星无人机航测系统得到的DEM、DOM 能够达到1∶500 数字测图的要求,验证了其在免像控大比例尺地形图测绘中的可行性。与传统无人机测图相比,不仅提高了测图精度,更提高了工作效率。但是,本文所选测区面积较小,且地势较为平坦,在接下来的工作中,会继续选择更大范围、地形起伏大的区域进行航测实验,以提高天狼星无人机航测系统的普适性。
随着无人机技术的发展,国家低空空域有序开放,集成了高精度POS 系统的免像控无人机航测技术必将成为空间地理信息获取的重要手段,更广泛地应用于大比例尺地形图测绘、灾害应急处理、智慧城市建设等领域。
来源:《地理空间信息》2019年第2期
作者:朱晓康,魏景帅
转载于联合勘测网
- END -
DJI M600pro倾斜摄影1:500快速地形图测绘方法研究(Smart3D+EPS)
1:500 1:1000 1:2000地形图航空摄影测量内业/测量数字化测图规范
一种有效改善无人机 1∶500 测图高程精度的方法(基于Smart3D进行处理)
基于地空一体化的1∶500 地形图测绘应用(利用Smart3D 和Inpho软件进行空三)


