
DG4 Pros倾斜摄影相机作为睿铂旗舰系列产品,它的硬件与软件配置都无愧于其顶级倾斜相机的称号。在它的帮助下,客户得以挑战很多以往受限于设备技术条件,实施起来非常困难的项目。
本次,自然资源部经济管理科学研究所(黑龙江省测绘科学研究所)使用睿铂DG4 Pros相机加大疆M600 pro多旋翼无人机,完成汕头市某地区的1:500地籍精度真三维建模项目。测区部分建筑近110米,最高建筑超过180米,在这样的条件下如何保证模型的效果与精度,是项目过程中的最大挑战!下面是他们撰写的项目实施过程及后期成果运用介绍。

“多测合一”项目的成果有着广泛的运用度,本次项目依托于汕头市区域规划建设的需求,由自然资源部经济管理科学研究所与汕头市测绘研究院联合承担其基于倾斜摄影测量模型生产及相关地形图的建设与应用任务。
本次项目目标是在汕头市主城区开展高精度倾斜航摄,实现一次航摄,完成高精细实景三维模型、1:500地形图测量和竣工测量工作,并围绕自然资源信息,开展自然资源大数据平台建设与应用。
本次项目测区位于广东省汕头市某地区,以三角洲冲击平原为主,地形高差在10米以内。测区为多层、高层建筑混合,多层在20~30米间,高层在110米以下,部分施工区域高度超过180米。地物涵盖沙地、施工地、海岸等,属于正在开发地区。


测区范围
无人机作业时间为上午9点~下午15点,在该时间段内,测区内天气晴朗,光线适中,偶有薄云,1~2级微风,适合飞行。测区内平均分布像控点8~12个/平方千米,地面与房角检查点共布设45个,用于项目生产需求。
像控点分布
目前,基于无人机开展倾斜摄影及1:500地形图、地籍图测绘中,为了保证精度,硬性要求航摄地面分辨率达到1.5cm-1.7cm。考虑到本次项目区的高层特点,我们决定采用大疆经纬M600pro无人机,搭载睿铂DG4 Pros五镜头倾斜相机。
DG4 Pros倾斜相机的焦距比普通市面上的倾斜相机都长,这点可以保证我们的无人机飞行在一个足够安全的高度,还能保证地面物体的分辨率达到2公分以内。同时,全画幅的镜头能够帮助我们在高密度的高楼中飞行时,能够拍到房屋更多的角度,从而尽可能地提升模型质量。

本次项目设计航高为130米(遇高层时为260米),地面分辨率(GSD)为1.5cm,航向/旁向重叠度为80%/75%。
测区有效面积约27km²,实际航飞面积约33km²,累计飞行179个架次。考虑到海风影响,航飞速度为7.8m/s,单架次飞行时间约25min,共获取445055张影像,航片影像清晰、色彩均匀,满足本次项目的使用要求。



1.空三解算
本次项目空三采用Mirauge3D软件配备10个节点进行处理。图形工作站配置为CPU至强银牌、64G内存、P4000显卡。445055 张影像分为6个分区生产。




区域网平差结果如下:


2.DLG生产
项目基于空三与模型成果,在DP Modeler2.0软件中进行1:500地形图测图,并用SVS生产了正射影像,经检测满足项目精度要求。

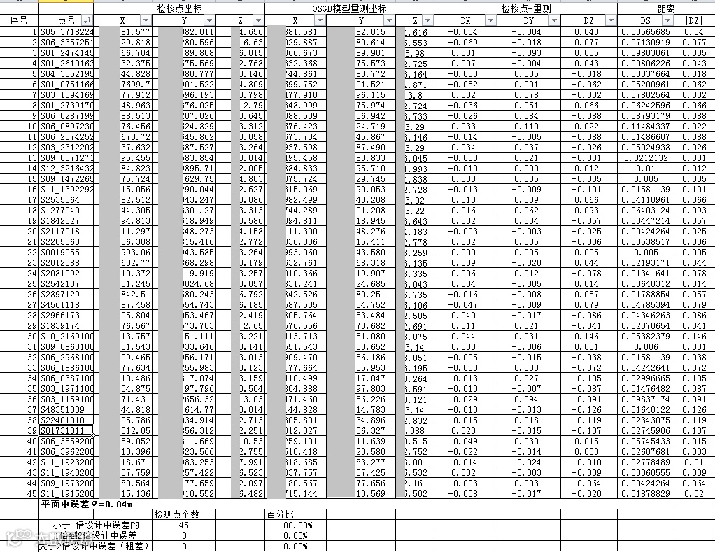
本次项目的精度验证点有45个,精度验证结果如下表所示。最终模型精度验证结果为平面中误差0.04m,满足本项目精度要求。

*如果看不清楚数据,可以点开图片放大后查看






本项目应用目的在于以汕头市实景三维模型成果为基础底图,建设汕头市自然资源大数据平台。

利用基于三维模型采集的矢量范围,实现三维模型的动态裁剪,并结合矢量信息,将三维模型逻辑单体化,满足精细化要求,并实现实景三维数据、高精度地形数据、正射影像数据、国土空间规划数据、CAD地形图、竣工数据和地籍数据等各类自然资源信息综合管理。


将设计BIM方案与实际的三维场景进行对比,实现方案设计对比,重大项目实施进度监控,满足自然资源监测与国土空间规划实施监测的需求。



地上实景三维模型与地下管线相结合,构建城市自然资源三维立体一张图,实现城市自然资源地上、地下全方位管理与服务。

对于城市级别的三维重建,由于无人机飞行高度低,通常采用多镜头采集数据,其影像的数据量往往十分庞大,尤其在海量影像分区、架次间高程落差大的时候,会给空三平差过程带来一定的困扰。
但睿铂调校的测绘级高分镜头拍摄稳定、影像质量高,使10万张影像的大分区在区域网平差时仍能保持良好的通过率,未发现分层与大量丢片现象,并且平差速度和测图精度也很好,既缩短了内业工期,又满足不同项目需求。
睿铂镜头具备的稳定性、影像质量高等特点使城市级倾斜摄影项目的生产时间具备确定性,在保障项目工期,提升作业效率方面具有重要的意义。汕头项目的成果及经验可进一步应用在农房调查、竣工图测量、基础测绘数据更新等项目中。
自然资源部经济管理科学研究所(黑龙江省测绘科学研究所)隶属于黑龙江测绘地理信息局,是中国倾斜摄影技术联盟理事长单位、黑龙江省“互联网+地理信息关键技术研究”院士工作站,现有在职职工70余人,注册测绘师8人,高级工程师20余人,具有独立事业法人资格,甲级测绘资质,拥有街景工厂、像素工厂、移动道路测量系统等一系列国内外先进的测绘高新软硬件设备。
近年来,我所采取创新驱动、人才强所、转型升级、产学研合作等一系列有效措施,形成了以地理国情监测、数字城市智慧城市建设及其相关应用系统开发为主线,以多规合一空间规划、倾斜摄影测量技术应用为特色和亮点的科研和业务发展格局。先后完成国家和省部级科研课题以及智慧城市、数字城市建设等项目300余项,其中30余项成果分别获得国家和省级奖励,成为面向政府管理与决策和行业应用提供优质的地理信息服务的测绘科研机构。

- END -

