搜索
首页
大数快讯
大数活动
服务超市
文章专题
出海平台
流量密码
出海蓝图
产业赛道
物流仓储
跨境支付
选品策略
实操手册
报告
跨企查
百科
导航
知识体系
工具箱
更多
找货源
跨境招聘
DeepSeek
首页
>
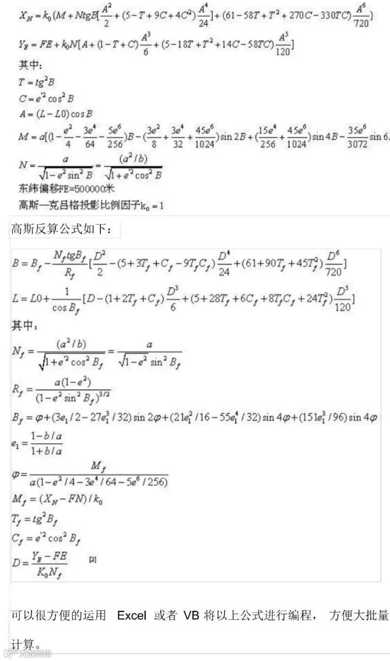
坐标换带计算原理
>
0
0
坐标换带计算原理
GIS前沿
2021-01-17
3
导读:坐标换带
来源:网络
转载于:测绘之家
本文仅限行业学习交流之用,
版权
、著作权归原载平台及作者所有。我们尊重作者的成果,如涉嫌
侵权
,请联系我们及时删除。
- END -
注册测绘师划出后的分析与思考
关于投影坐标和坐标转换,这几点你不得不知道
测后发现坐标数据不对,你知道如何解决吗?
坐标数据正确导入Cass的方法,收藏学习!
各种坐标系转换、度带划分、换带计算,这些你都懂吗?(附PPT下载)
戳原文,更有料!
【声明】内容源于网络
0
0
GIS前沿
分享测绘地信资讯,交流行业软件技巧。
内容
4923
粉丝
0
关注
在线咨询
GIS前沿
分享测绘地信资讯,交流行业软件技巧。
总阅读
9.4k
粉丝
0
内容
4.9k
在线咨询
关注