
本文要点:
1、地理坐标系是什么?常见的地理坐标系有哪些?
2、投影坐标系是什么?常见的投影坐标系有哪些?
3、关于坐标转换。
4、如何在ArcGis里玩转坐标系?中国有哪些另类的坐标系?
从整体上来说,坐标系分为地理坐标系和投影坐标系,这些都是什么东东?我们来好好看看~
1.
地理坐标系
三维球面坐标

学过地理的我们都知道,地球是一个两极稍扁赤道略鼓的不规则椭圆球体,且地球表面凸凹不平,有些地方是高山,有些地方是深沟。这样的地球表面带来一个很大的问题,就是地球表面无法用数学公式表达。
于是聪明的地理学家们想出了一个方法:用一个可以近似表示地球表面的规则的椭圆来进行地球表面的定位和测量,这个规则的三维球面就是地理坐标的参考椭球体。

那么问题来了,世界上只有一种坐标系吗?、
当然不是。坐标系的种类多到你不想知道。凸凸给大家总结了几种常用的坐标系:
WGS84坐标系
是国际通用坐标系,也叫地球坐标系,大名鼎鼎的GPS系统就是采用的WGS84坐标系。WGS84坐标系对于具体地方的位置描述可能不如当地坐标系来的准确,但是它对全球范围内的位置估计更准确。谷歌地图(非中国境内)也是采用的WGS84坐标系。在进行不同坐标系之间转换的时候,一般以WGS84坐标系作为基准坐标。
北京54坐标系
是建国初期提出的地理坐标系,因此在早期有比较广泛的运用,有一定比例的数据使用的是1954北京坐标系。从现代的眼光看,它并不能十分准确地表达我国国境内的空间位置。
西安80坐标系
由于后期意识到北京54坐标系的不足,我国1978年4月在西安召开全国天文大地网平差会议,确定重新定位,建立的我国新地理坐标系,它在中国经济建设、国防建设和科学研究中发挥了巨大作用。
2000国家大地坐标系
我国当前最新的国家大地坐标系。2018年,我国国土资源系统全面采用2000国家大地坐标系,并要求各类国土资源数据向2000国家大地坐标系进行转换。
地方独立坐标系
许多城市、矿区基于实用、方便与科学的目的,建立了地方坐标系。
总结一下:
地理坐标系是用经纬度表示的坐标系,国际上通用的地理坐标系是WGS84坐标系。国内常用的地理坐标系有北京54坐标系、西安80坐标系、2000国家大地坐标系以及地方坐标系;其中,西安80坐标系最为常见,也要少部分是北京54坐标系,2000国家大地坐标系将是我国今后的主流坐标系。在涉及到不同坐标系转化的时候,通常是把北京54坐标系、西安80坐标系、2000国家大地坐标系转为通用的WGS84坐标系。
2.
投影坐标系
拍平地理坐标系
地理坐标系说到底是个椭圆体,在曲面上进行空间数据的处理分析比较复杂,显然不如在一个平面上进行处理来的简单高效,所以在地图制图和线性量测时我们首先考虑把曲面转化成平面。
而这些需求诞生了投影坐标系。投影坐标系是将三维的地理坐标系投影到二维平面上,形成投影坐标系,就是地理坐标系+投影过程。投影坐标系是用距离单位表示的坐标系,如米。
投影的方法多种多样,以下是一些投影转换的方法:

既然有多重地理坐标系,投影坐标系当然也有很多,常用的有:
UTM投影坐标系
WGS84地理坐标系常采用UTM投影坐标系。如何确定一个地区的UTM投影带数?UTM投影是从180度经线开始向东每6°为一个投影带,我国从西到东一共跨过了11个投影带,每个投影带的经度范围如下图,根据这张图我们就能很容易判断一个地点的UTM投影带,以上海为例,上海的经度约为东经121°,从下图可知其位于51度带。

我国UTM投影带的分布情况
高斯-克吕格投影坐标系
这是中国常用的坐标系。我国的地形图有如下基本比例尺:1:5千,1:1万,1:2.5万,1:5万,1:10万,1:25万,1:50万,1:100万。其中,大于等于1:50万的地形图均采用高斯-克吕格投影,因此,我们平时接触到的cad地形图均为高斯-克吕格投影,绝大多数为北京54高斯-克吕格投影或者西安80高斯-克吕格投影,知道了这个知识大家是不是就能在ArcGIS中定义cad文件的坐标啦。
高斯-克吕格投影坐标系又分为3°分带高斯-克吕格投影坐标系和6°分带投影坐标系,其中,1:2.5万,1:5万,1:10万,1:25万,1:50万这几个比例尺的地形图采用6°分带,而1:1万及大于1:1万的图采用3°分带。概括来说,6°带用于中小比例尺测图,3°带用于大比例尺测图,城建坐标多采用3°带的高斯投影,因此,我们在平时项目中接触到的基地CAD文件多为3°带高斯投影,大家可以直接用3°带来定义坐标。3°分带高斯-克吕格投影从1.5°经线开始向东每3°为一个投影带。
我国横跨22个投影带,每个投影带的经度范围如下图,根据这张图我们就能很容易判断一个地点的高斯投影带。以北京为例,北京的经度约为东经116°,其位于39度带。(后面直接操作部分会给大家详细讲解如何定义CAD文件的高斯投影).
此外,我国1:100万地形图采用兰勃特投影,这个使用较少,大家可以忽略。

我国高斯-克吕格投影带的分布情况
道理我都懂,但是我还是看不懂投影坐标系的名字怎么办?
投影坐标系的名字其实分成三部分:它所使用的地理坐标系+以几度分的投影带+所在的投影带。由于投影带有两种表示方法:
1.以zone来表示;
2.以中央经线来表示。
所以下面我们就这两种表达方法分别进行举例说明:
以Zone表达投影带
在ArcGIS中,我们可以看到西安80坐标系下,有这样一系列的投影坐标系:

以Xian_1980_3_Degree_GK_Zone_30投影坐标系为例,这些数字是什么意思呢?

以中央经度表示投影带
同样是地理坐标系是西安80坐标系的例子:

以Xian_1980_3_Degree_GK_CM_102E投影坐标系为例,Xian_1980_3_Degree与上面的例子含义都一样CM_102E表示的是中央经线(也就是投影带的中线)是东经102度。
3.
坐标转换
各种坐标怎样转换是大家最关心的。
首先有一点要牢记:
同一参考椭球下,大地坐标与空间直角坐标之间的转换是严密的(数学关系对应),它们与平面坐标的转换是不严密的,需要做投影转换(想想也明白,把球面展成平面那可是难住了好多科学家呀)。而不同参考椭球之间的坐标转换永远都是非严密的。
坐标转换原理:
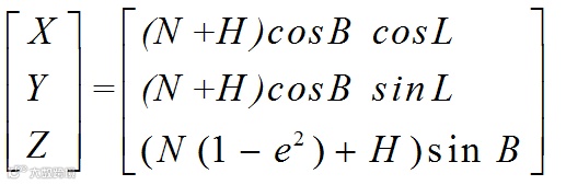
同一椭球下的转换
同一椭球下,大地坐标(B、L、H)与空间直角坐标(X、Y、Z)之间的转换是严密的,其公式为:

而大地坐标(B、L、H)与空间直角坐标(X、Y、Z)向平面直角坐标的转换属于非严密的,需要进行球面到平面的投影选择,通常将空间直角坐标转换为大地坐标,然后在大地坐标和平面直角坐标之间采用高斯正算和反算公式进行计算。
不同椭球下的转换
不同参考椭球下的坐标转换实质是基准的转换。如空间定位技术所采用的全球基准与地面网所采用的局部基准间的转换。通常的转换模型有布尔莎-沃尔夫模型和莫洛金斯基模型。这两种模型都常用且非常相似,布尔莎模型在进行全球或者较大范围内较为常用,但是莫洛金斯基模型可以克服布尔莎模型中旋转参数与平移参数相关性高的问题。
两个坐标系的转换通常有三维七参数模型和二维四参数模型。
布尔莎模型又称为七参数转换,或者七参数赫尔默特变换。该模型共采用7个参数,分别为三个平移参数(ΔX、ΔY、ΔZ)和三个旋转参数(ωx、 ωy、ωz)和一个尺度参数k。

上式是一个WGS84下的空间直角坐标转换到CGCS2000下的空间直角坐标的布尔莎模型,有七个未知参数,简单的求解,只需要3个公共点就可以了,如果要得到严密解,就需要更多的公共点进行最小二乘平差解算。而对于大地坐标,可以转成空间直角坐标再解算,也可以直接利用布尔莎模型。
4.
国内的另类坐标
用于保密的特殊算法
在我国,出于安全考虑,所有的公开的电子地图、导航设备,都需要加入国家保密插件,它是对真实坐标系统进行人为的加偏处理,按照特殊的算法,将真实的坐标加密成虚假的坐标。
这个加偏并不是线性的加偏,所以各地的偏移情况都会有所不同,而加密后的坐标也常被人称为火星坐标系统(GCJ02,国内大部分的在线地图都是采用的火星坐标系,而百度地图采用的是百度坐标(BD09),百度坐标是在火星坐标的基础上又经过加偏处理产生的。

我国各地图采用的坐标系
文章转载于大鹏教你玩数据
部分节段转载于CSDN-城南老宋
- END -

