5月16日,长沙县自然资源局己受理长沙松湖房地产开发有限公司提出的松湖上境项目总图、建设工程设计方案申请。长沙松湖房地产开发有限公司拟建设松湖上境建设项目。

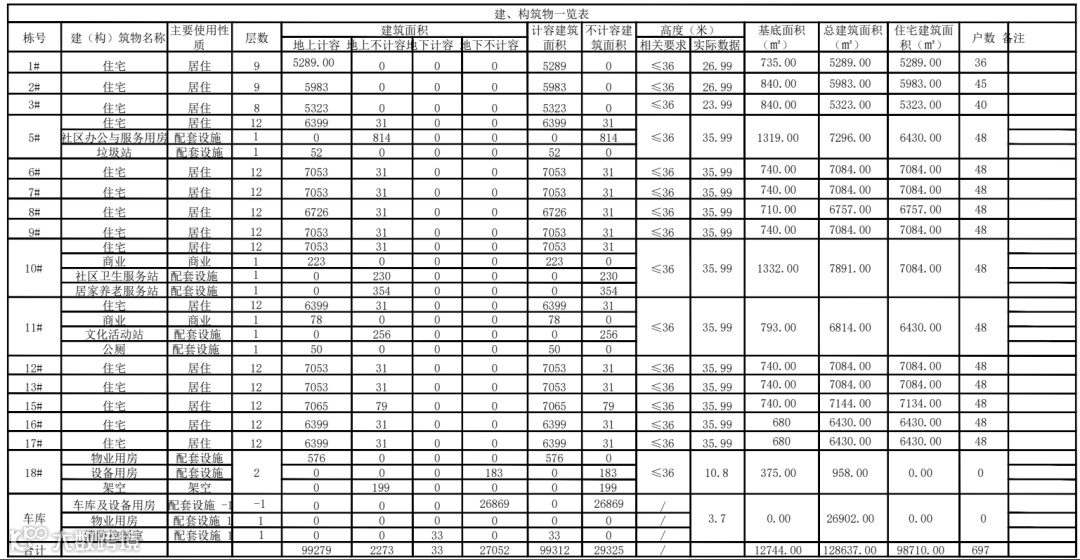
总建筑面积99312.41㎡,其中住宅面积98300㎡,规划17栋9-12层洋房住宅,居住总户数807户,规划停车位760个。
松雅湖东岸住宅用地占比仅 15%,正商松湖上境所在的生态住区核心区更是寸土寸金;根据片区规划,科创组团为主,将形成企业高管、高校教授、科研人才构成的新湖湘精英。
正商地产,1995年始于中原,秉持“品质生活到永远”的理念,30载布局全国20余城,管理270余个标杆项目,服务超180万业主。
2025年,正商以前瞻眼光锚定长沙「东进」战略核心——松雅湖生态新城,首次落子湖湘便择址6000亩松雅湖芯,以「上境系」高端产品序列,敬献匹配时代高度的湖居著作。
来源/克而瑞湖南区域
版权申明:本文版权归克而瑞湖南机构所有,未经许可与授权,严禁转载。
如需转载和合作,请“CRICCS0731”微信号。
免责声明:本文中的内容和意见仅供参考,并不构成对所述城市的出价或评估,我司对使用本文中内容所引发的任何直接或间接损失概不负责。

