
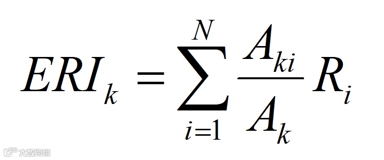
为第k个生态小区的生态风险指数,
为第k个生态小区的第i类景观的面积,
为第k个生态小区的景观总面积,
为第i类景观的景观损失度指数。
1. def updateValue(value):2.if value==None:3. return'0'4.else: return value5.updateValue(!水域_AREA!)

数据下载

- END -
国外15款最佳遥感软件
ArcGIS 各种坐标系文件下载
GIS=1/3地学+2/3信息科学?听武大教授谈GIS
实用工具 | ArcGIS顺序编号工具和快速查找文件下载
ArcGIS Pro结合CityEngine制作《我的世界》游戏场景



