
一、 数据来源介绍


二、数据预处理
1
栅格类型转换
我们从中国科学院资源环境科学与数据中心官网上下载下来的土地利用栅格数据是整型的,我们可以利用Reclassify(栅格重分级)工具来将它变为浮点型。

2
栅格重分类
在这里我们发现,土地利用栅格数据里的像元被赋值为一些不连贯的数,我们通过官网上的相关介绍得知其所包含的含义:



我们根据表格内容统一将数据分为“耕地、林地、草地、水域、建设用地和未利用地”六类。

我们利用Reclassify(栅格重分级)工具以一级类型编号将它分为六类。
工具位置:Spatial Analyst Tool -> Reclass -> Reclassify
打开重分级后的栅格数据属性表,添加一个字段名称为“TDLY”的字段,并设置字段类型为文本型。

右键工具栏空白处,添加Editor工具,并使其处于编辑状态。

键入土地利用类型。

我们对2000年的土地利用栅格数据进行同样的预处理操作。
三、土地利用动态度
土地利用动态度模型可定量地反映区域内土地利用数量的变化速度,对预测未来土地利用变化趋势有积极作用,是相关研究常用的分析方法之一。
土地利用动态度可分为单一土地利用动态度和综合土地利用动态度。
1
单一土地利用动态度
单一土地利用动态度反映的是一定时间范围内,研究区某种土地利用类型面积变化的速率,侧重于分析各土地利用类型的变化情况。
其计算公式为:

其中K为研究期内某种土地利用类型的动态度,即年变化率;Ui、Uj分别为研究初期及末期某种土地类型的面积;T 为研究时段长度。
2
综合土地利用动态度
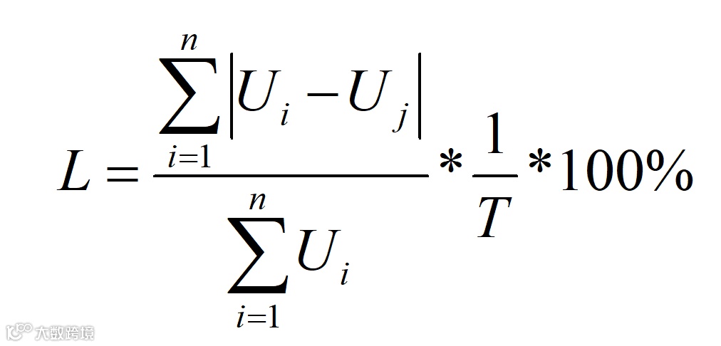
综合土地利用动态度描述的是整个区域土地利用变化的总体速度, 可用于土地利用动态变化的区域差异研究。
其计算公式为:

其中,L为研究初期第i类土地利用类型的面积;Ui、Uj分别为研究初期及末期某种土地类型的面积;n为土地类型数(n=1,2,3,...),T为研究时段长度。当T设定为年时,Lc的值就是该研究区土地利用年变化率。
四、土地利用程度综合指数
土地利用程度综合指数是反应人类对土地开发利用的程度,是衡量区域土地利用深度和广度的重要指标。
其公式为:

式中:L表示某研究区域土地利用程度综合指数,Ai为第i级土地利用程度分级数(通常采用4级划分),Ci和C分别为第i级土地利用面积和区域内土地总面积,n为土地利用程度分级数,具体内容见下表。

五、模型计算并实现可视化
1
栅格转矢量面
利用Raster to Polygon工具将2000年和2020年土地利用栅格数据按TDLY字段转化为矢量面数据。
工具位置:Conversion Tools -> From Raster -> Raster to Polygon

2
基于指定属性聚合要素
利用Dissolve工具将相同用地类型的地类图斑融合为一个要素。
工具位置:Data Management Tools -> Generalization -> Dissolve

3
贵州省各地市土地利用类型面积统计
由于土地利用数据中存在一些类别图斑较大,会出现横跨多个地市的情况,因此使用分割工具将数据进行按照区县矢量边界进行分割。右键Split工具,选择Batch,在弹出的对话框中进行如下设置。
工具位置:Analysis Tools -> Extract -> Split


利用Merge工具将分割出来的各地市图层在合并为一个图层。
工具位置:Data Management Tools -> General -> Merge

此时合并的新图层的属性表中并没有各地市的名称字段,这就需要我们用到空间链接工具将不同土地类型的数据基于位置关系分别将其连接至合并后的土地类型数据中,由此将各图斑位置信息赋值至土地类型数据中。
工具位置:Analysis Tools -> Overlay -> SpatialJoin

Field Map of Join Features中保留土地利用类型和地市名称即可。
另外需要注意的是Match Option下方的下拉菜单中要选择HAVE_THEIR_CENTER_IN(目标图层要素的质心在源图层要素内)。
在新生成的图层属性表中添加一个字段名称为“AREA”的字段,字段类型设置为Float,右键新建字段选择Calculate Geometry...,在弹出的对话框中进行如下设置。

4
模型套用
将含有贵州省各地市土地利用类型面积统计信息的属性表输出并在Excel中打开。

5
成果可视化
将Excel文件另存.xls格式的文件,添加Excel文件到ArcMap软件中,右键贵州省行政边界图层选择Join and Relates -> Join,在Join Data对话框中进行如图设置。

双击网格图层打开Layer Properties对话框,选择Symbology选项卡,在Show下方选择Quantities -> Graduated colors,在Value右侧的下拉框中选择L,点击确定。

六、成果展示



数据下载

学GIS的你,是时候自己做张中国地图了(附行政区划数据下载)
全球土壤数据下载及ArcGIS土地利用制图流程(附练习数据)




