
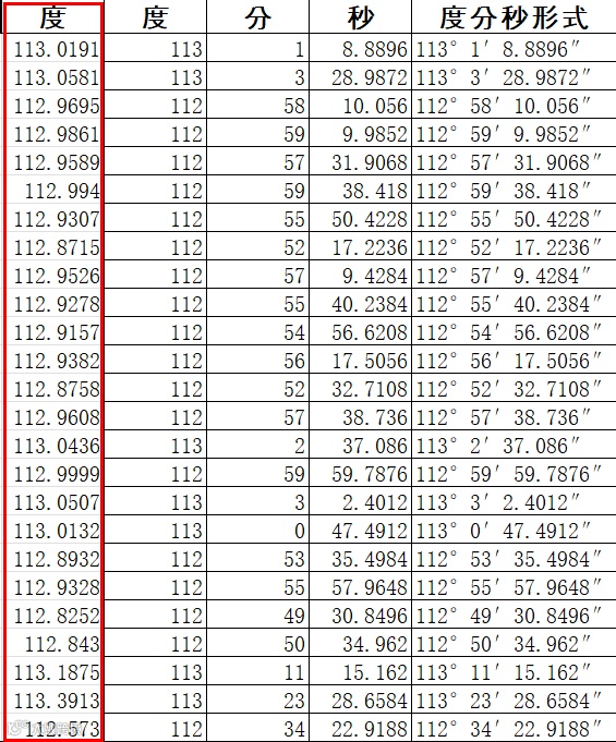
领导给了我一张表格,
让我将其点位导入到GIS里面。
↓ ↓ ↓ ↓







直接下一步,直到完成。



工具下载
进入本公众号后台
发送数字
1771
获取下载方法
文件名:度分秒转换工具

- END -
ArcGIS中生态系统Ⅰ、II、III级分类配色方案表下载
ArcMap出图小技巧:主图设计、图例、比例尺、指北针、标题


GIS前沿
领导给了我一张表格,
让我将其点位导入到GIS里面。
↓ ↓ ↓ ↓







直接下一步,直到完成。



工具下载
进入本公众号后台
发送数字
1771
获取下载方法
文件名:度分秒转换工具

- END -

