
一、数据来源介绍
(一)吉林省各地市行政边界数据
吉林省各地市行政边界数据来源于中国科学院资源环境科学与数据中心(https://www.resdc.cn/Default.aspx)。

(二)吉林省各市、县生产总值(GDP)数据
吉林省各市、县生产总值(GDP)数据来源于吉林省统计局官网(http://tjj.jl.gov.cn/)。

内容比较多,寻找时需要有耐心一点,我们要找的数据在:第十九篇、市(州)和县(市)情况 -> 19-2 各市县生产总值(2020),点击连接Excel可下载Excel格式的文件。

*教程仅供参考学习,不足之处欢迎斧正。
二、数据预处理
(一)吉林省各地市行政边界数据预处理
吉林省各市、县行政边界数据存放于中国地市行政边界数据图层当中,我们可以利用ArcGIS提取出我们需要的地市数据。记得备份喔,备份以后在用到其他省份的地市行政边界数据时就不用在从网站中下载了。
首先我们将中国地市行政边界数据图层加载到ArcGIS,右键图层,打开图层的属性表,利用【按属性选择】工具将属于吉林省各市、县选取出来,接下来可以将选中的要素导出或者反选将其余要素删掉。


由上图可以发现数据图层里面有的地市划分出了多个要素,我们可以利用融合工具将要素按属性融合,将属于同一地市的要素融合为一个要素,最终我们可以看到一共是有9个地市。
工具位置:数据管理工具 -> 制图综合 -> 融合


我们将存有吉林省各市、县生产总值(GDP)的Excel文件整理好就可以连接到吉林省各地市行政边界数据_融合图层的属性表当中,右键图层选择【链接和关联】 -> 【连接】即可。


(二)吉林省各市、县生产总值(GDP)数据整理
打开下载下来的存有吉林省各市、县生产总值(GDP)数据的Excel文件,将首行变为英文,删掉多余部分只保留吉林省各地市行政边界数据_融合图层中拥有的地市和对应的GDP,并利用替换工具将文本之间的空格去掉。


三、标准差椭圆方法概述
空间分布方向性分析是分析大到经济、人口,小到产品销量、红绿灯分布等属性数据在空间分布上的轮廓和主导方向。
标准差椭圆法生成的结果会显示为一个椭圆,从其生成算法过程来看,首先用平均中心来确定椭圆的圆心,然后再以计算出来的椭圆圆心作为起点对要素的X坐标和Y坐标的标准差进行计算,从而定义椭圆的长短轴,同时确定椭圆的方向,以X轴为准,正北方向为0度,顺时针旋转。
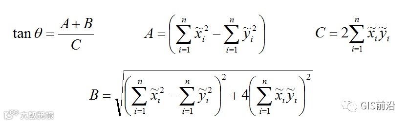
公式如下:

其中,
和
是最后计算出来的椭圆圆心坐标;和
是每个要素的空间位置坐标;和是所有要素空间位置坐标的平均值;
是要素总数。

其中,
是X轴与正北方向的夹角;
和
是每个要素的空间位置坐标的平均中心和椭圆圆心坐标的差。

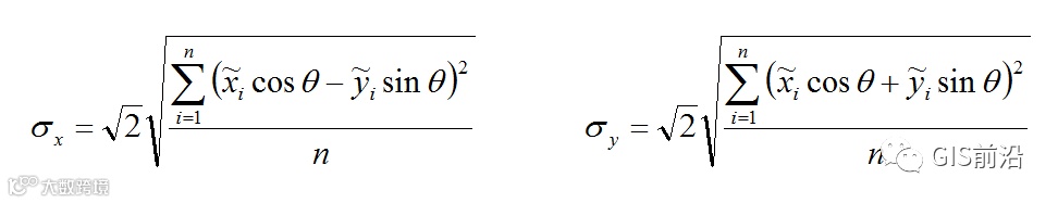
其中,
和
分别是X轴与与Y轴的长度。
标准差椭圆法通过椭圆的空间分布范围、中心、长轴、短轴和方位角等参数来定量描述经济、人口等属性在空间上的分布特征。标准差椭圆的分布范围即为经济、人口等属性空间上分布的主要范围。椭圆的平均中心即经济、人口等属性在空间上分布的重心,方位角表示其分布的主要分布方向,长轴上的标准差能够反映出经济、人口等属性在主要分布方向上的离散程度,椭圆的长轴方向代表经济、人口等属性在空间上分布较多的方向,短轴的方向代表经济、人口等属性空间分布较少的方向,长短轴之间的差值越大(扁率越大),说明经济、人口等属性的方向性越强,长轴与短轴的长度越接近,说明其方向性越弱。如果长轴长度等于短轴长度,则经济、人口等属性的分布就没有方向性特征。
在GIS语境下,除了生成这样一个椭圆以外,还会给出如下结果:CenterX和CenterY表示的是椭圆的中心点坐标;XStdDist和YStdDist表示的X轴的长度和Y轴的长度;Rotation表示的是椭圆的方向角度。
此外,还可以指定要表示的标准差数(1、2、3),当要素具有空间正态分布时(即这些要素在中心处最为密集,而在接近外围时会逐渐变得稀疏),一个标准差(默认值)范围可将约占总数68%的输入要素的质心包含在内。两个标准差范围会将约占总数95%的要素包含在内,而三个标准差范围则会覆盖约占总数99%的要素的质心。
四、案例分析
(一)操作工具
直接利用【方向分布(标准差椭圆)】工具分析带有GDP数据的图层即可。
工具位置:空间统计工具 -> 度量地理分布 -> 方向分布(标准差椭圆)

(二)成果展示

(三)结果解读
观察生成的标准差椭圆的图层可以看到之前所提到的CenterX和CenterY、XStdDist和YStdDist、还有Rotation,其中,CenterX和CenterY、XStdDist和YStdDist的单位是和数据是一样的。
从属性表中我们可以知道该椭圆的圆心是(1648731.76581,4922982.17566),长轴长度为164007.667715米,短轴长度为87048.824508米,X轴与正北方向夹角为121.250497°。
我们可以将这个结果描述为:“在XXX°E,XXX°N,以XXX米为长半轴、XXX米为短半轴的椭圆可以囊括吉林省约68%的GDP,并且GDP的集聚区域大致呈西北-东南分布,覆盖长春市、吉林市、松原市的绝大部分区域……”这句话可以放在我们的报告或者论文里,来让我们的报告和论文不会显得那么空洞无力。

除此之外我们可以依次设置【椭圆大小】为2_STANDARD_DEVIATIONS和3_STANDARD_DEVIATIONS,来看一看囊括吉林省约95%和99%GDP的椭圆都包含哪些地区。



再除此之外还可以分析多时期的数据,来看一下重心有没有发生偏移,方向有没有变化,同样是囊括65%比对一下多个时期的标准差椭圆覆盖的范围有哪里不一样,并进一步去研究有这些变化的原因。
再再除此之外,不仅是GDP数据,想什么人口数据、病例数据、犯罪点数据,只是要是有地理空间分布特征的,都可以利用标准差椭圆法来进行研究。
- END -
李德仁院士:关于推进实景三维中国建设的若干思考
遥感看世界 | 世界粮食日特辑——这些形状的农田,你见过几个?
自动化和半自动矢量化提取地物矢量轮廓
420平方公里实景三维模型!苏州正在打造一座数字孪生城




