
一、数据来源介绍
(一)吉林省各地市行政边界数据
吉林省各地市行政边界数据来源于中国科学院资源环境科学与数据中心(https://www.resdc.cn/Default.aspx)。

(二)吉林省各市、县中小学学校数量数据
吉林省各市、县中小学学校数量数据来源于吉林省统计局官网(http://tjj.jl.gov.cn/)。

内容比较多,寻找时需要有耐心一点,我们要找的数据在:第十九篇、市(州)和县(市)情况 -> 19-18 各市县各级各类教育基本情况(2020年),点击连接Excel可下载Excel格式的文件。

*本教程仅供参考,不足之处欢迎斧正。
二、数据预处理
(一)吉林省各地市行政边界数据预处理
吉林省各市、县行政边界数据存放于中国地市行政边界数据图层当中,我们可以利用ArcGIS提取出我们需要的地市数据。记得备份喔,备份以后在用到其他省份的地市行政边界数据时就不用在从网站中下载了。
首先我们将中国地市行政边界数据图层加载到ArcGIS,右键图层,打开图层的属性表,利用【按属性选择】工具将属于吉林省各市、县选取出来,接下来可以将选中的要素导出或者反选将其余要素删掉。


由上图可以发现数据图层里面有的地市划分出了多个要素,我们可以利用融合工具将要素按属性融合,将属于同一地市的要素融合为一个要素,最终我们可以看到一共是有9个地市。
工具位置:数据管理工具 -> 制图综合 -> 融合


(二)吉林省各市、县中小学学校数量数据整理
打开下载下来的存有吉林省各市、县中小学学校数量数据的Excel文件,将首行变为英文,删掉多余部分只保留吉林省各地市行政边界数据_融合图层中拥有的地市和对应的学校数量,并利用替换工具将文本之间的空格去掉。


三、重心模型
重心,是在重力场中,物体处于任何方位时所有各组成支点的重力的合力都通过的那一点。规则而密度均匀物体的重心就是它的几何中心。不规则物体的重心,可以用悬挂法来确定。物体的重心,不一定在物体上。另外,重心可以指事情的中心或主要部分。重心已经不单单适用于物理范畴,在经济、文化等各项研究中均可运用到此模型。
我们可以将物理学中的重心广义化,通过构建GIS数据库与质心模型,找出抽象的“重心”,并比较此重心与区域几何重心的位置偏差,从而判断区域经济、人口发展的均衡性;画出重心迁移的轨迹,找出区域经济的变化趋势并分析其原因。
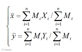
公式如下:


其中,
和
是重心的XY坐标;
是权重,这里指学校数量;
和
是各个要素的XY坐标,这里指吉林省各地市要素质心坐标。
四、实际操作
(一)计算质心
打开融合后的地市图层属性表,新建两个字段,分别存放各地市要素质心的XY坐标,字段类型设置为双精度;右键新建字段名,选择计算几何,两个字段分别选择【质心的X坐标】和【质心的Y坐标】。

(二)连接数据
我们将整理好的存有吉林省各市、县生产总值(GDP)的Excel文件连接到吉林省各地市行政边界数据_融合图层的属性表当中,右键图层选择【链接和关联】 -> 【连接】即可。


(三)计算重心
在吉林省各地市行政边界数据_融合图层的属性表当中新建两个字段,用来临时存放
和
,字段类型可以设置为双精度;右键新建字段,选择字段计算器,分别在字段计算器中输入:
[吉林省地市行政边界数据_融合.X] * ['19-18$'.School]
[吉林省地市行政边界数据_融合.Y] * ['19-18$'.School]


右键还有学校数量的字段名,选择统计能够看到吉林省各地市学校总数共5165所,即:
。

将字段依次切换到存放有
和
的字段,能够观察到
、
。



利用计算器计算得出
、
。


(四)创建重心要素
右键任意文件夹,依次选择新建 -> Shapefile,空间参考可以使用导入的方式选择和其它图层一样的空间参考。



让编辑器处于编辑状态,点击最后面的小图标来创建要素,构造工具选择点。


右键地图中任意位置,选择【绝对X,Y】,将计算结果输入进去即可。

(五)一步到位
熟悉ArcGIS或者研究过相关课题的人可能就看不到这里了,看到一半就可能会说:“艾玛,这写的啥玩意儿啊,哪用得着这么麻烦,差劲!”
其实在工具箱中有一个工具直接就可以得出重心,该工具就是【平均中心】工具。
工具位置:空间统计工具 -> 度量地理分布 -> 平均中心

五、成果展示
可以看到之前我们手动计算的结果还是很正确的,除此之外可以利用多时期的数据进行重心迁移研究,用来分析某地区一段时期内在哪方面在哪个方向上有侧重,还可以分析哪些属性比较稳定,哪些属性发展变化比较大。

注:当然这个实验室不严谨的,更严谨一点的话教育重心应该还要考虑教育财政支出(占比)、教学质量、学校规模等多种参数去考量,这里仅作为举例。
- END -
李德仁院士:关于推进实景三维中国建设的若干思考
遥感看世界 | 世界粮食日特辑——这些形状的农田,你见过几个?
自动化和半自动矢量化提取地物矢量轮廓
420平方公里实景三维模型!苏州正在打造一座数字孪生城




