
唐新明, 李涛, 张祥, 周晓青, 禄競, 张雪飞
自然资源部国土卫星遥感应用中心,北京 100048
摘要:经过一年多的在轨测试,我国第一组民用差分干涉SAR卫星,L波段差分干涉SAR(也称“陆探一号”)经过了各系统联合调整,已经具备了较好的在轨运行条件。本文对部分在轨应用关键参数进行了测试分析。测试结果表明,卫星的长期平面定位精度优于3.9 m。河南省及江苏省的检校和验证数据表明,检校前、检校后以及平差后的DSM中误差分别优于13.2、6.3、2.9 m。卫星具有3种形变产品,即差分干涉技术获取的形变场、不计高程改正误差参数估计的初级多时相回归堆叠技术获取的低精度形变速率场,以及顾及高程改正误差参数估计的精细多时相回归技术获取的高精度形变速率场与形变累计序列。山西省大同市的形变场产品与同期水准对比表明,三者的中误差分别优于2.7 mm、8.6 mm/a、3.7 mm。同时本文进行了严格回归轨道控制半径的测试,测试结果表明,90%的值小于323 m。本文同时进行了相干性的评估,在不考虑时间相干性的前提下,整体相干性优于0.7。在轨测试结果表明,陆探一号卫星已经具备了较好的运行条件,可提供给各用户开展广泛应用。
关键词:
L波段差分干涉SAR
;
陆探一号
;
在轨测试
;
平面精度
;
高程精度
;
形变精度
基金项目
国家重点研发计划
(
2021YFC3000405
)(
2023YFB3904905
);
国家自然科学基金
(
42301160
)
作者简介
唐新明(1966—),男,博士,研究员,博士生导师,主要从事摄影测量与航天测绘的研究与应用工作。E-mail:
tangxinming99@qq.com
通信作者: 李涛 E-mail:rs_litao@163.com
本文引用格式
唐新明, 李涛, 张祥,等.
L波段差分干涉SAR卫星在轨应用关键参数测试分析
[J]. 测绘学报, 2024, 53(10): 1863-1872. doi:10.11947/j.AGCS.2024.20230240.
TANG Xinming, LI Tao, ZHANG Xiang, et al.
In-orbit application parameters test and analysis of L-band differential interferometric SAR satellite constellation
[J].
Acta Geodaetica et Cartographica Sinica
, 2024, 53(10): 1863-1872. doi:10.11947/j.AGCS.2024.20230240.
全文阅读
http://xb.chinasmp.com/article/2024/1001-1595/1001-1595-2024-10-1863.shtml
L波段差分干涉SAR卫星(L-band differential interferometric SAR,L-SAR)也称为“陆探一号”,卫星由两颗完全相同的L波段卫星构成[1]。其中,A星于2022年1月26日发射成功,星箭分离之后,经过了数天时间进行状态调整,成功捕获了严格回归轨道,进入了卫星的第一个构形,并启动单星在轨测试,如图1(a)所示。A星于2月9日进行开机成像,获取了卫星的首图,8 d之后,获取了卫星的首个干涉图,其垂直基线为46.7 m,干涉条纹清晰,干涉效果良好,如图2所示。B星于2022年2月27日发射成功,卫星星箭分离之后,快速建立了卫星平台服务系统状态,并调整B星进入构形二,以保持双星之间的轨道相位差为45°,星间回归周期为4N+1(N=0,1,2,…) d。A、B双星保持构形二至5月25日,B星经过约20 d的调整,于6月14日转换至构形三,开启双星绕飞,单发双收获取干涉数据,此时星间距离较短,保持较大模糊高(height of ambiguity,HoA),以便获取相位解缠结果较好的数字表面模型(digital surface model,DSM)产品。经过3个月的数据推扫,9月25日星间距离拉开,保持较小的HoA进行了第二次多云多雨区地形数据获取。2023年12月起,卫星开始向构形四转换,期间A星正常成像,B星于2023年1月7日完成构形转换,开始进行形变数据的收集,如图1(b)所示。构形四是卫星的长期运行构形。本文围绕卫星发射至今的主要在轨测试技术进行分析,为L-SAR卫星的业务化应用提供参考。
唐新明, 李涛, 张祥, 周晓青, 禄競, 张雪飞
摘要:经过一年多的在轨测试,我国第一组民用差分干涉SAR卫星,L波段差分干涉SAR(也称“陆探一号”)经过了各系统联合调整,已经具备了较好的在轨运行条件。本文对部分在轨应用关键参数进行了测试分析。测试结果表明,卫星的长期平面定位精度优于3.9 m。河南省及江苏省的检校和验证数据表明,检校前、检校后以及平差后的DSM中误差分别优于13.2、6.3、2.9 m。卫星具有3种形变产品,即差分干涉技术获取的形变场、不计高程改正误差参数估计的初级多时相回归堆叠技术获取的低精度形变速率场,以及顾及高程改正误差参数估计的精细多时相回归技术获取的高精度形变速率场与形变累计序列。山西省大同市的形变场产品与同期水准对比表明,三者的中误差分别优于2.7 mm、8.6 mm/a、3.7 mm。同时本文进行了严格回归轨道控制半径的测试,测试结果表明,90%的值小于323 m。本文同时进行了相干性的评估,在不考虑时间相干性的前提下,整体相干性优于0.7。在轨测试结果表明,陆探一号卫星已经具备了较好的运行条件,可提供给各用户开展广泛应用。
关键词:
基金项目
作者简介
唐新明(1966—),男,博士,研究员,博士生导师,主要从事摄影测量与航天测绘的研究与应用工作。E-mail:
本文引用格式
唐新明, 李涛, 张祥,等.
全文阅读
图1

图1 卫星的4种不同的构形状态
Fig.1 Four different formations of the satellite constellation

图1 卫星的4种不同的构形状态
Fig.1 Four different formations of the satellite constellation
图2

图2 L-SAR卫星的首个DOM产品及干涉图
Fig.2 The first DOM products and interferogram of L-SAR satellite

图2 L-SAR卫星的首个DOM产品及干涉图
Fig.2 The first DOM products and interferogram of L-SAR satellite
1 卫星几何精度在轨测试分析
卫星业务化几何检校与精度监测过程中,需要去除多类外部误差,从而确定平台与载荷的时钟对准误差和斜距电延迟[2-3]。在检校过程中必须用到地面高精度控制点,以消除刺点误差[3]。为确保L-SAR卫星的刺点精度,研究过程中使用了三面角角反射器(corner reflector,CR)装备进行像素的自动定位。CR有移动式和固定式两类,其外形特征如图3所示。研究过程中,需对角反射器所在区域影像进行快速傅里叶变换,并完成1000倍过采样,从而提供优于1/1000定位精度的角反位置信息。为确保检校精度,研究过程中在地面均匀布设了4行4列共计16台角反射器,以便覆盖近地点斜距、远地点斜距及中心斜距。研究过程中使用GNSS设备获取了符合D级点精度要求的角反射器相位中心坐标。方位向与距离向误差将通过斜距-多普勒(range-Doppler,R-D)方程进行修正,具体修正方法可参见笔者所在团队已有论文[4-5]。笔者所在团队于2022年7月12日及8月29日分别开展了外业检校工作,获取了卫星检校参数,并使用固定检校场,对卫星精度进行了长期不定时监测。在轨测试试验结果表明,卫星几何检校之后的无控平面定位中误差普遍优于3.9 m,最高达到0.66 m,见表1,定位过程中的不稳定性来源于环境参数、星上参数、地面处理参数等各类参数的非精确消除,这也为下一步更精确的检校及基于精确检校参数的SAR测地学[6]指明了研究方向。
图3

图3 移动式与固定式角反射器
Fig.3 Fixed and mobile corner reflectors
表1 基于角反射器的SAR卫星几何检校结果与精度评估
Tab.1
Geometric calibration results and accuracy analysis

新窗口打开| 下载CSV

图3 移动式与固定式角反射器
Fig.3 Fixed and mobile corner reflectors
表1 基于角反射器的SAR卫星几何检校结果与精度评估
Tab.1

新窗口打开| 下载CSV
2 卫星测绘精度在轨测试分析
L-SAR卫星使用构形三进行地形测绘,测绘过程中需确保卫星的星间距离保持在700~7000 m。实际应用过程中,会进一步调整卫星星间距离,使HoA保持在20~60 m之间。较大的HoA可确保解缠结果的可靠性,但是其精度较低。较小的HoA可确保几何精度,但是其相位解缠具有极大的挑战性。在实际应用过程中,大HoA对应的基线较小,视线方向的夹角小,散射体在干涉基线两端的视线方向投影差小,因此基线相干性与体散射相干性较高,小HoA则对应更大的基线和视线方向夹角,从而面临着山地、高山地完全失相干带来的无法进行干涉应用的风险,因此大HoA凸显出了更大的应用必要性。大小HoA的组合,对应相位解缠的多基线算法。然而,多基线算法的稳健性尚存在较大的应用挑战,因此德国宇航中心使用了相对独立的多基线解缠算法,即短基线单独解缠之后,作为参考数据进行长基线去平去地形,减小相位梯度来增加相位解缠结果的稳健性[7]。在轨测试过程中,使用了无迹卡尔曼滤波(unscented Kalman filter,UKF)相位解缠算法[8],以进一步减少噪声干扰。
卫星飞行过程中重点完成了云贵川地区的多基线多角度覆盖。由于1∶5万地形图测绘并非L-SAR的主任务,因此国内其他测绘区域在能力允许的情况下获取了少量数据,可提供科学研究使用,无法完全满足业务应用要求。在地形测绘过程中,本文研究了无控测绘与有控测绘,明确了两类测绘技术的差异性以及在业务化测绘过程中的算法原理及使用模式。
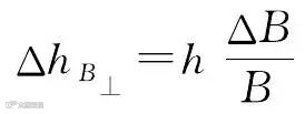
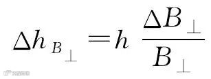
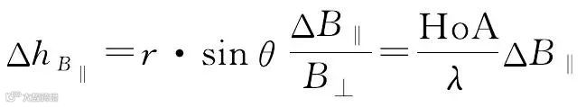
无控测绘的目的是评估卫星设计指标的符合程度。研究过程中使用了标准的无控处理流程[3],流程化处理的前提是卫星指标的稳定性,特别是基线参数、相位参数等满足干涉指标要求。L-SAR卫星同时搭载了GPS、BDS-2及BDS-3,通过星间的双频差分完成相对定位,并将定位结果由GNSS天线相位中心转换至SAR天线几何中心(antenna geometric center,AGC)。卫星工程研制单位提供了较为精确的GNSS至AGC的转换方程。然而测绘过程中使用的是SAR天线相位中心(antenna phase center,APC),在X波段或其他较短波长中,天线尺寸较小,可用AGC代替APC,但是L-SAR天线长约9 m,宽约3 m,且T/R组件具有一定的厚度,因此APC不具备明确的物理意义,而只是成像过程中的虚拟参数[9]。在无控测绘过程中,需将卫星工程研制单位提供的转换矩阵以及AGC到APC的转换矩阵作为检校对象,通过地面检校工作完成基线误差修正。在无控测绘过程中,笔者选择了位于江苏和河南的两个场地,根据基线误差到高程误差的传递系数差异,完成平行基线的误差修正,即
(1)
(2)
式中,
为垂直基线误差带来的高程误差;h为地面点高程;ΔB⊥为垂直基线误差;B⊥为垂直基线;
为平行基线误差带来的高程误差;r为天线相位中心到地面点的斜距;θ为卫星侧视角度;ΔB‖为平行基线误差;λ为雷达波长。上述方程可根据雷达观测几何进行进一步变换,得到两误差项传递关系的进一步变换关系,即
(3)
(4)
式中,ΔB为零多普勒平面内的基线长度误差;B为零多普勒平面内的基线长度;H为卫星高度。可以发现垂直基线误差带来的高程误差不具备空间相关性,仅具备地形相关性。为精确解算垂直基线误差,需使用高程较大的数据,然而即使选取高程高达7000 m的高山地,在基线短至700 m的情况下,10 cm的基线误差也仅能带来1 m的高程误差,因此垂直基线误差到高程误差的传递系数较小,在轨测试过程中并不建议进行垂直基线误差解算。相反地,平行基线具有明显的空间相关性,且误差传递系数较大。L-SAR卫星的侧视角范围对应的地面可覆盖范围达到500 km,这意味着基线误差带来的高程误差分布将会较大,如图4所示。如果卫星的基线测量精度达到1.2 cm,基线长度在700~7000 m之间动态可调,那么基线误差带来的高程误差,在最严重的情况下,近波位和远波位差异可达到37 m。在轨测试过程中,选择了两处场地进行干涉检校,检校场地如图5所示。测试过程中,在距离向选择了干涉波位中的最远与最近波位,分别为右侧视单极化双通道A星(right-looking,single-polarization,double-channel,A-satellite,RSDA)11号波位与4号波位,两场地距离向相距300 km。RSDA11与RSDA4对应的场地可兼顾几何检校能力。场地方位向预留了波位切换时间及合成孔径时间,方位向相距约为38 km。经过测算,7月12日卫星的平行基线误差为3.5 cm,8月29日卫星的平行基线误差为2.8 cm。两日数据的检校前后结果见表2,检校前的无控高程中误差约为10 m,检校后则普遍在10 m以内,部分数据的高程精度已经满足了1∶5万比例尺高程精度要求。但是无控测绘过程中,并不修正相位偏置,只使用配准偏移量估计绝对相位,解算整周未知数,因此无控测绘结果中依然存在部分相位残差,同时几何及干涉检校遗留的参数残差依然会传递并增大高程误差,包括测速误差、斜距误差、多普勒误差、SAR系统时间误差、基线误差等,这类误差量级较小,已经无法进行精确识别剖分,但是其对误差影响不大,使用1~2阶多项式拟合扣除即可。
(1)
(2)
式中,
为垂直基线误差带来的高程误差;h为地面点高程;ΔB⊥为垂直基线误差;B⊥为垂直基线;
为平行基线误差带来的高程误差;r为天线相位中心到地面点的斜距;θ为卫星侧视角度;ΔB‖为平行基线误差;λ为雷达波长。上述方程可根据雷达观测几何进行进一步变换,得到两误差项传递关系的进一步变换关系,即
(3)
(4)
式中,ΔB为零多普勒平面内的基线长度误差;B为零多普勒平面内的基线长度;H为卫星高度。可以发现垂直基线误差带来的高程误差不具备空间相关性,仅具备地形相关性。为精确解算垂直基线误差,需使用高程较大的数据,然而即使选取高程高达7000 m的高山地,在基线短至700 m的情况下,10 cm的基线误差也仅能带来1 m的高程误差,因此垂直基线误差到高程误差的传递系数较小,在轨测试过程中并不建议进行垂直基线误差解算。相反地,平行基线具有明显的空间相关性,且误差传递系数较大。L-SAR卫星的侧视角范围对应的地面可覆盖范围达到500 km,这意味着基线误差带来的高程误差分布将会较大,如图4所示。如果卫星的基线测量精度达到1.2 cm,基线长度在700~7000 m之间动态可调,那么基线误差带来的高程误差,在最严重的情况下,近波位和远波位差异可达到37 m。在轨测试过程中,选择了两处场地进行干涉检校,检校场地如图5所示。测试过程中,在距离向选择了干涉波位中的最远与最近波位,分别为右侧视单极化双通道A星(right-looking,single-polarization,double-channel,A-satellite,RSDA)11号波位与4号波位,两场地距离向相距300 km。RSDA11与RSDA4对应的场地可兼顾几何检校能力。场地方位向预留了波位切换时间及合成孔径时间,方位向相距约为38 km。经过测算,7月12日卫星的平行基线误差为3.5 cm,8月29日卫星的平行基线误差为2.8 cm。两日数据的检校前后结果见表2,检校前的无控高程中误差约为10 m,检校后则普遍在10 m以内,部分数据的高程精度已经满足了1∶5万比例尺高程精度要求。但是无控测绘过程中,并不修正相位偏置,只使用配准偏移量估计绝对相位,解算整周未知数,因此无控测绘结果中依然存在部分相位残差,同时几何及干涉检校遗留的参数残差依然会传递并增大高程误差,包括测速误差、斜距误差、多普勒误差、SAR系统时间误差、基线误差等,这类误差量级较小,已经无法进行精确识别剖分,但是其对误差影响不大,使用1~2阶多项式拟合扣除即可。
图4

图4 平行基线误差带来的高程误差分布情况
Fig.4 Height error induced by the interferometric parallel baseline error

图4 平行基线误差带来的高程误差分布情况
Fig.4 Height error induced by the interferometric parallel baseline error
图5

图5 8月29日几何与干涉测量检校的场地及角反布设情况
Fig.5 Geometric and interferometric calibration fields and corner reflectors of August 29th
表2 检校前后高程精度对比
Tab.2
Validation of the calibrated elevation accuracy

新窗口打开| 下载CSV
有控测绘需分两个层面进行说明。①现阶段使用较多的测绘手段,它仅需要保障基础的相干性及模糊高,而对基线误差等其他几何误差要求并不高。在相干性足够高的前提下,一定限度地减小模糊高,则可确保测绘精度。这类有控测绘区别于无控测绘的根本,在于基线和绝对相位估计。有控测绘需要足够的地面控制,这类控制数据可来源于航天飞机雷达地形测绘任务(shuttle radar topography mission,SRTM)、TanDEM-X全球测绘任务或其他公开的参考数据[10]。关于有控测绘的方法,国内诸多团队均有研究[11-14],本文不再详细阐述。此类算法对于DEM和SAR影像的配准有一定的要求,对于平地区域以及靠近海洋的水域来说具有比较大的应用不确定性,另一方面此算法并不能客观反映卫星的测绘能力,因此在业务化系统建设过程中不宜采用此类方案。②L-SAR工程应用过程中采用的有控处理,这种处理要求无控的高程精度控制在10 m以内,以便使用ICESat卫星搭载的激光传感器进行区域网平差和精度提升[3]。前述无控测绘的相关数据,完成平差之后的精度可进一步提升,最终结果在2.9 m以内。区域网平差普遍可以将精度提升50%以上,但是对于影像ID为33399和33340的数据,其系统误差已经得到了较好的抑制,精度提升比较有限。

图5 8月29日几何与干涉测量检校的场地及角反布设情况
Fig.5 Geometric and interferometric calibration fields and corner reflectors of August 29th
表2 检校前后高程精度对比
Tab.2

新窗口打开| 下载CSV
3 卫星形变精度在轨测试分析
L-SAR卫星的长期任务为全国中高地质灾害易发区为主[15-16]的地表形变监测任务。形变监测产品随着数据的长期积累,共划分为3类[1]:①使用差分干涉(differential InSAR,DInSAR)技术获取的形变场产品,形变场产品中包括地表各类形变的视线向形变量,可以快速发现形变,进行形变普查;②使用Stacking技术获取的形变速率场产品,形变速率场产品中包含了地表各类形变的视线向形变速率,可用于发现形变异常区域,进行形变筛查;③使用多时相(multi-temporal InSAR,MTInSAR)技术获取的形变速率场与形变点位移时序产品,每个形变点包括干涉起止时间的视线向形变时间序列及其图示,可用于形变场特征点监测。3类形变产品的数据处理技术复杂性递增,精度也逐步递增。
基线测量精度是影响上述3类形变产品的共性参数之一。形变测量过程中,基线误差主要包括GNSS测量误差以及SAR的AGC到APC的转换误差。在轨测试过程中,卫星工程选择了两家单位共同参与了GNSS数据的解算,解算精度一致。精度评估过程中,采用了重叠弧段的均方根对比。以其中一个研究团队为例,其定轨与测速精度见表3。结果表明,GNSS的定轨误差控制在20 mm以内,测速误差控制在12 μm以内,整体精度较高,可满足形变监测基本要求。然而从SAR的AGC到APC的转换,还存在一定的误差,形变监测过程中,此类误差项无法通过地面进行精确检校,需要在处理过程中完成残差相位拟合予以去除。为了确保形变产品精度,L-SAR在进行形变产品生产的过程中嵌入了国产资源三号卫星生产的DSM产品[17-18],并兼容大气相位去除[19]和潮汐改正[20]功能,以便形成标准产品进行公众服务。
表3 L-SAR卫星定轨与测速精度
Tab.3
Orbital determination and velocity measurement accuracy of the L-SAR satellites

新窗口打开| 下载CSV
时序分析虽然精度较高,但是线性假设模型导致了模型误差成为在轨测试过程中的重要误差来源。以Stacking为核心技术的形变速率场产品及以多时相干涉(multi-temporal InSAR,MTInSAR)为核心技术的形变时序产品,均有线性模型假设。这种假设在一般的缓慢沉降中是符合客观规律的,然而在多数的自然地表形变中,特别是地质灾害隐患早期形变和矿区开采形变中,并非完全成立。以在轨测试过程中的山西省大同市煤矿形变为例,2022年部分形变场沿井工煤矿掘进方向发生了漂移,导致形变仅在2022年内符合线性形变特征,2023年停止形变,即无法进行线性形变解算。在轨测试期间,需要以同期形变产品对比同期水准或GNSS,以解决短期形变不符合长期线性形变假设的矛盾问题。
在轨测试3类形变产品评估过程中,地面同步采集了水准数据。其中形变场产品如图6(a)所示,其主影像成像时间为2022年12月15日,副影像成像时间为2023年1月16日,时间基线33 d,垂直基线214 m,产品与水准的对比结果如图6(d)所示,其均方根误差(root-mean-square error, RMSE)为2.7 mm。Stacking的数据跨越了2022年12月15日至2023年2月1日,空间基线阈值限定为500 m,时间基线阈值限定为32 d,共有14景数据参与解算,形变速率场产品如图6(b)所示,产品与水准的对比结果如图6(e)所示,RMSE为8.6 mm/a。形变时序监测算法较多,标准化工作还存在较大的难度,本文采用了小基线集(small baseline subset,SBAS)算法,获取了时间间隔为2023年1月16日至2023年4月10日的形变时序结果,如图6(c)所示。本文对银塘沟村某井工煤矿的工作面进行了水准量测,如图6(h)所示,获取了东西向与南北向工作面的时序形变,结果表明,时序形变的精度达3.7 mm。
基线测量精度是影响上述3类形变产品的共性参数之一。形变测量过程中,基线误差主要包括GNSS测量误差以及SAR的AGC到APC的转换误差。在轨测试过程中,卫星工程选择了两家单位共同参与了GNSS数据的解算,解算精度一致。精度评估过程中,采用了重叠弧段的均方根对比。以其中一个研究团队为例,其定轨与测速精度见表3。结果表明,GNSS的定轨误差控制在20 mm以内,测速误差控制在12 μm以内,整体精度较高,可满足形变监测基本要求。然而从SAR的AGC到APC的转换,还存在一定的误差,形变监测过程中,此类误差项无法通过地面进行精确检校,需要在处理过程中完成残差相位拟合予以去除。为了确保形变产品精度,L-SAR在进行形变产品生产的过程中嵌入了国产资源三号卫星生产的DSM产品[17-18],并兼容大气相位去除[19]和潮汐改正[20]功能,以便形成标准产品进行公众服务。
表3 L-SAR卫星定轨与测速精度
Tab.3

新窗口打开| 下载CSV
图6

图6 形变产品及精度评估
Fig.6 Deformation products and accuracy assessment

图6 形变产品及精度评估
Fig.6 Deformation products and accuracy assessment
4 卫星其他核心参数在轨测试分析
4.1 回归轨道控制半径
回归轨道控制半径描述了卫星在回归观测时的空间位置偏移情况,是反映卫星业务化干涉质量的核心指标之一。国际常用卫星的回归轨道控制半径见表4。Seasat及ERS等早期SAR卫星并未严格控制回归轨道控制半径,因此干涉仅停留在试验层面。Radarsat-1虽然进行了管道控制,但是其半径高达5000 m,对于C波段来说,干涉依然是较为困难的问题。直到Sentinel-1发射之后,卫星的轨道控制能力达到了较高的水平。本文统计了2023年12月之前使用DInSAR技术生产的60921对S3A形变场产品,其垂直基线分布情况如图7所示,统计结果表明,90%的垂直基线小于646 m,对应的轨控半径为323 m,优于L-SAR工程要求的350 m。虽然L-SAR控制能力较Sentinel-1还有较大的差距,但是综合考虑卫星的波长及分辨率,卫星的基线相干性在条带模式1的3 m分辨率下将优于Sentinel-1。长期的运行测试表明,L-SAR卫星的轨道控制能力可保障干涉任务的长期业务化运行。
表4 国际常用SAR卫星的回归轨道控制半径
Tab.4
Strict regression orbit radius of the commonly used international SAR satellites
卫星名称
回归轨道控制半径/m
Seasat
—
ERS
—
Radarsat-1
5000
SRTM
—
ENVISAT
—
ALOS-PALSAR
500
TerraSAR-X/TanDEM-X
250
ALOS-2
500
Radarsat-2
5000
Cosmo-Skymed
—
Sentinel-1
50
高分三号
—
L-SAR
350
新窗口打开| 下载CSV
表4 国际常用SAR卫星的回归轨道控制半径
Tab.4
| 卫星名称 | 回归轨道控制半径/m |
|---|---|
| Seasat | — |
| ERS | — |
| Radarsat-1 | 5000 |
| SRTM | — |
| ENVISAT | — |
| ALOS-PALSAR | 500 |
| TerraSAR-X/TanDEM-X | 250 |
| ALOS-2 | 500 |
| Radarsat-2 | 5000 |
| Cosmo-Skymed | — |
| Sentinel-1 | 50 |
| 高分三号 | — |
| L-SAR | 350 |
新窗口打开| 下载CSV
图7

图7 垂直基线分布直方图
Fig.7 Histogram of the perpendicular baselines

图7 垂直基线分布直方图
Fig.7 Histogram of the perpendicular baselines
4.2 相干性测试
相干性是对卫星干涉能力的综合考核,由8部分构成,即[21-24]
(5)
式中,等号右边8项分别为基线相干性、体散射相干性、信噪比相干性、模糊相干性、量化相干性、多普勒相干性、处理相干性及时间相干性。其中,基线相干性、体散射相干性与卫星平台参数相关,信噪比相干性、模糊相干性与量化相干性和载荷参数相关,而处理相干性与应用过程中的配准和重采样参数相关,时间相干性在双星绕飞过程中不予考虑,双星跟飞过程中需要长期测试。L-SAR各项相干性指标见表5。其中,量化相干性表达了量化位数和采样位数之间的比例,是所有相干性参数中,除时间相干性之外最难定量描述的失相干源。L-SAR卫星采用区域自适应量化(block adjustment quantization,BAQ),共支持10∶10、10∶6、10∶4、10∶3、10∶2这5种量化比,为了正确判定量化相干性的退化情况,笔者选取了位于海西茫崖市东部的植被覆盖较少的戈壁区域,编制不同的量化指令至卫星方,并针对卫星下传的数据进行去平去地形,从而获取不同量化比条件下的整体相干性,在这种条件下,体散射相干性与时间相干性设定为1,并去除其他相干性,得到最终的量化相干性结果,见表6。结果表明,量化比越大,相干性越差,10∶6的量化压缩比,会带来约12°的相位误差,而10∶4的量化压缩比,会带来约21°的相位误差,L-SAR卫星的相干性分布特性以及应用效能尚需进一步评估,有明确结论之前,建议以10∶6量化为主。值得说明的是,各类相干性之间是乘性误差,即使各项高达0.99,最终结果也将退化为0.92。此处的相干性与滤波之前的相干性基本类似,但是SAR的自适应滤波算法将会使得相干性有极大的提升[25-26]。对于绕飞数据来说,滤波之后的相干性普遍在0.9以上。跟飞数据受到的干扰比较随机,在植被较少、地表较为平坦的情况下,也可达到0.9以上,但是在高山植被区,相干性会急剧下降,应用过程中建议将相干性低于0.3的区域进行掩膜处理,避免低相干导致相位解缠失败。
表5 L-SAR各项相干性典型值
Tab.5
Typical coherence values of L-SAR
相干性
关键参数
典型值
说明
基线相干性
回归轨道控制半径
0.99
条带模式1
体散射相干性
模糊高、树高
0.86
模糊高35 m
信噪比相干性
等效噪声后向散射系数
0.97
-31 dB
模糊相干性
方位向与距离向模糊
0.98
方位向模糊-20 dB,距离向模糊-27 dB
量化相干性
量化比
0.94
支持的量化比包括10∶10、10∶6、10∶4、10∶3、10∶2
多普勒相干性
方位向带宽
0.99
条带模式13 200 Hz
处理相干性
配准、过采样
0.96
配准精度0.1像素,16点sinc函数插值
时间相干性
时间基线
1.00
暂不予考虑。
总体相干性
0.72
新窗口打开| 下载CSV
表6 量化比与相干性对应表
Tab.6
BAQ and the corresponding coherence
BAQ
10∶6
10∶4
10∶3
10∶2
量化相干性
0.96
0.89
0.83
0.63
新窗口打开| 下载CSV
(5)
式中,等号右边8项分别为基线相干性、体散射相干性、信噪比相干性、模糊相干性、量化相干性、多普勒相干性、处理相干性及时间相干性。其中,基线相干性、体散射相干性与卫星平台参数相关,信噪比相干性、模糊相干性与量化相干性和载荷参数相关,而处理相干性与应用过程中的配准和重采样参数相关,时间相干性在双星绕飞过程中不予考虑,双星跟飞过程中需要长期测试。L-SAR各项相干性指标见表5。其中,量化相干性表达了量化位数和采样位数之间的比例,是所有相干性参数中,除时间相干性之外最难定量描述的失相干源。L-SAR卫星采用区域自适应量化(block adjustment quantization,BAQ),共支持10∶10、10∶6、10∶4、10∶3、10∶2这5种量化比,为了正确判定量化相干性的退化情况,笔者选取了位于海西茫崖市东部的植被覆盖较少的戈壁区域,编制不同的量化指令至卫星方,并针对卫星下传的数据进行去平去地形,从而获取不同量化比条件下的整体相干性,在这种条件下,体散射相干性与时间相干性设定为1,并去除其他相干性,得到最终的量化相干性结果,见表6。结果表明,量化比越大,相干性越差,10∶6的量化压缩比,会带来约12°的相位误差,而10∶4的量化压缩比,会带来约21°的相位误差,L-SAR卫星的相干性分布特性以及应用效能尚需进一步评估,有明确结论之前,建议以10∶6量化为主。值得说明的是,各类相干性之间是乘性误差,即使各项高达0.99,最终结果也将退化为0.92。此处的相干性与滤波之前的相干性基本类似,但是SAR的自适应滤波算法将会使得相干性有极大的提升[25-26]。对于绕飞数据来说,滤波之后的相干性普遍在0.9以上。跟飞数据受到的干扰比较随机,在植被较少、地表较为平坦的情况下,也可达到0.9以上,但是在高山植被区,相干性会急剧下降,应用过程中建议将相干性低于0.3的区域进行掩膜处理,避免低相干导致相位解缠失败。
表5 L-SAR各项相干性典型值
Tab.5
| 相干性 | 关键参数 | 典型值 | 说明 |
|---|---|---|---|
| 基线相干性 | 回归轨道控制半径 | 0.99 | 条带模式1 |
| 体散射相干性 | 模糊高、树高 | 0.86 | 模糊高35 m |
| 信噪比相干性 | 等效噪声后向散射系数 | 0.97 | -31 dB |
| 模糊相干性 | 方位向与距离向模糊 | 0.98 | 方位向模糊-20 dB,距离向模糊-27 dB |
| 量化相干性 | 量化比 | 0.94 | 支持的量化比包括10∶10、10∶6、10∶4、10∶3、10∶2 |
| 多普勒相干性 | 方位向带宽 | 0.99 | 条带模式13 200 Hz |
| 处理相干性 | 配准、过采样 | 0.96 | 配准精度0.1像素,16点sinc函数插值 |
| 时间相干性 | 时间基线 | 1.00 | 暂不予考虑。 |
| 总体相干性 | 0.72 | ||
新窗口打开| 下载CSV
表6 量化比与相干性对应表
Tab.6
| BAQ | 10∶6 | 10∶4 | 10∶3 | 10∶2 |
|---|---|---|---|---|
| 量化相干性 | 0.96 | 0.89 | 0.83 | 0.63 |
新窗口打开| 下载CSV
5 总结与展望
本文对L-SAR卫星在轨测试过程中的关键技术进行了研究,并提供了在轨测试结果,同时对影响卫星性能的两个核心指标,即回归轨道控制半径及相干性做了测试。相关结论如下。
(1)检校场及相邻验证场地的结果表明,卫星的平面定位精度优于3.9 m,高程精度优于2.9 m。
(2)在山西省大同市的形变精度验证场进行了同期水准数据采集和精度对比,测试结果表明,形变场精度优于2.7 mm,形变速率场精度优于8.6 mm/a,形变时序精度优于3.7 mm。
(3)卫星的二维平面定位精度、三维DSM精度以及第四维形变精度均已满足在轨测试指标要求。
(4)本文对卫星业务化干涉的两个前提保障条件进行了测试,结果表明,回归轨道控制半径优于323 m,滤波前相干性优于0.72,初步具备了业务化应用的条件。
研究过程中虽然已经针对核心参数得到了较好的测试结果,但是依然有待解决的问题。首先,卫星的几何定位精度尚有较大的改进空间。虽然卫星的平面定位已经达到了较高的水平,但是对于误差的进一步剖析以及长时序误差的建模,尚缺乏验证。以高精度几何参数为基础构建SAR控制点库,确保无控条件下多角度联合永久散射体(persistent scatterer,PS)点测图精度优于5 cm,是对卫星能力的一个高层次挑战。其次,卫星跟飞状态下的基线检校问题尚未解决。此问题长期以来被掩盖于形变残差相位拟合之下,从而导致缺乏深层次的误差建模分析以及误差检校手段。在卫星工程研制过程中,也未将SAR天线相位中心的精确标检校为跟飞阶段的核心任务。此类问题需不需要解决,如何解决,尚属技术空白。再次,时序形变技术的标准化问题,虽然在本领域已经多次提及,但是一直未得到较好的解决,特别是时序产品如何进行内符合精度和外符合精度的评估,从而向用户提供观测量+误差量的标准结果,一直少有提及。建议国内InSAR团队从应用层下潜到技术层,从技术层面建立合理可靠的技术体系和标准体系,做好数据的精度提升和服务。
在轨测试仅仅代表了卫星的初步精度水平,对于卫星更广泛意义上的精度和效能来说,尚需在使用过程中逐步发现问题。在轨测试过程中,卫星工程技术团队也发现了诸如相位同步、影像分景、数传资源不足、地面同频干扰、精轨数据缺失等问题。部分问题在在轨测试期间已经得到了较好的解决。但是随着卫星的广泛应用,会暴露更多的问题与需求。卫星工程技术团队将会持续解决问题,做好卫星应用服务。
L-SAR卫星首次完成了全国的L频段数据覆盖,为自然资源监测监管提供了多频数据;首次实现了民用星载InSAR示范性测图技术,打破了欧美的技术垄断;首次实现了国产SAR卫星的精确轨控,确保了卫星业务化干涉;首次构建了国产SAR卫星差分干涉应用系统,是国内第一套业务化应用系统;首次开展了业务化形变监测,是国产SAR卫星的里程碑之作。L-SAR是全球首个兼具业务化地形测绘与业务化形变监测能力的L波段干涉SAR编队卫星系统。L-SAR卫星开启了国产SAR卫星干涉应用元年,为国产干涉SAR卫星的规模化应用奠定了良好的基础。
- END -
无人机航测从正射、三维建模到房屋、地形、立面采集技术流程(CC+EPS+CASS3D)
一种地基激光雷达提取单木树冠体积的方法
空域申请 | 无人机航测UOM系统合法飞行申请流程




