林浩嘉1,2,3,4, 郭仁忠1,3,4, 贺彪1,3,4, 蒯希1,3,4, 马丁1,3,4, 李程鹏1,3,4
1.
2.
3.
4.
摘要
三维模型多分辨率表征(LOD)是三维场景可视化的重要技术。然而,对于具有真实程度高、尺度跨度大、数据规模大等特点的实景三维建筑场景可视化,仍存在可视化质量度量不准确、层次切换不连续、渲染效率不稳定等问题,难以在视点变换过程中保持视觉舒适性。本文提出了视觉感知导向的三维建筑场景LOD自适应可视化方法。首先,综合考虑三维渲染与视觉感知的过程与机理,对LOD可视化的视觉感知过程与特性进行归纳总结;然后,基于“三维空间-屏幕空间-视觉感知”的变换过程,对LOD可视化中简化模型误差的视觉感知进行量化表征,提出了基于视觉感知的LOD可视化质量度量方法;最后,将LOD可视化质量度量运用至LOD调度,综合考虑视觉关注和视点运动对可视化质量度量的影响,建立LOD层次选择准则,结合多线程调度技术,提出了顾及视觉感知特性的LOD自适应调度方法。试验结果表明,本文方法可以保持LOD切换过程的视觉舒适性,在可视化质量与效率之间保持动态平衡,实现了符合人眼视觉感知的三维建筑场景LOD自适应调度与渲染。
摘要
关键词
视觉感知;
LOD
;
多尺度表达
;
三维可视化
;
实景三维
基金项目
关键词
视觉感知;
基金项目
作者简介
作者简介
本文引用格式
阅读全文
http://xb.chinasmp.com/article/2025/1001-1595/1001-1595-2025-06-1054.shtml
可视化是辅助人类传递复杂信息和发现数据隐含规律的有效途径[1],也是智慧城市中提供各种服务的重要环节。近年来,随着实景三维中国建设和城市信息模型基础平台建设国家战略相继提出,三维建筑场景可视化成为智慧城市基础地理信息建设的重要内容之一[2]。人们对空间场景可视化的要求是无限的,更接近于真实体验是极致的追求目标[3]。随着三维重建技术的快速发展,三维建筑模型的外观真实感逐步提升[4]。然而,由于实景三维建筑场景具有真实程度高、尺度跨度大、数据规模大等特点,导致保持模型真实感的可视化面临新的挑战[5],良好视觉体验的可视化有助于提高视觉信息获取的效率和有效性[6-8],如何实现符合人眼视觉感知的实景三维建筑场景可视化成为当前的重要研究方向。
三维模型多分辨率表征(level of detail,LOD)是三维可视化的重要技术,其概念最早出现在计算机图形学领域,通过对三维模型进行不同程度的简化形成由精细到粗糙的多层次细节模型[9]。对于大规模三维场景可视化,进一步发展出HLOD(hierarchical level of detail)技术[10],并成为三维建筑场景可视化的主要方法[11]。HLOD对场景进行不同层次和粒度的空间剖分,采用树状结构对三维场景按层次分区规则进行不同程度的简化形成多层次细节场景。在可视化时,根据视点状态,动态选择适当的层次细节模型进行渲染,从而在保持视觉外观的同时降低渲染复杂度[12]。但由于层次数量有限,不同层次之间切换时会产生“抖动”(popping)现象[13-15],影响视觉体验。如何实现有限层次LOD的连续可视化是LOD研究的重要目标。
LOD技术包含生成(generation)、选择(selection)和切换(switching)3个环节[16]。①LOD生成是对三维模型进行逐层次简化得到不同精细程度LODs的过程。②LOD选择是根据设定条件从LODs中选取最合适的层次进行渲染。③LOD切换则是指不同层次之间动态切换的过程。其中,LOD生成为可视化提供渲染数据基础,LOD选择和LOD切换的相互配合共同完成LOD调度,决定可视化的视觉质量与效率。围绕连续可视化这一目标,诸多学者在LOD生成和LOD调度两方面开展研究,提出了几何与纹理耦合[17-19]、顾及建筑结构[20-23]、保持外观特征[24-26]、考虑视觉特征[27-28]等三维建筑模型简化方法,能够在简化中保持建筑的主要特征,取得了较好的LOD生成效果。在LOD调度方面,LOD选择准则最为关键,在其基础上通过准确的LOD选择和高效的LOD切换的相互配合,才能实现LOD连续可视化。已有研究提出了以模型信息熵[29-30]、模型估计渲染时间[31-33]、模型屏幕几何误差[34-36]等为可视化质量度量指标的LOD选择准则。然而,这些方法主要考虑了模型的几何信息,对于纹理信息更加丰富的实景三维建筑模型难以保证可视化质量度量的准确性,进而影响LOD选择的准确性和层次切换的连续性。此外,由于三维空间中的几何计算具有较高的复杂度,导致难以保证渲染效率的稳定性。总体而言,对于实景三维建筑模型LOD可视化,当前研究在LOD生成方面取得了较好的进展,但在LOD调度方面仍存在可视化质量度量不准确、层次切换不连续、渲染效率不稳定等问题。如何对实景三维建筑模型LOD进行精准的可视化质量度量,实现准确且高效的LOD层次自适应调度,是当前亟须解决的问题。
对于实景三维建筑模型,纹理信息在可视化结果中提供了绝大部分视觉信息,其对可视化质量的影响更加直接[37-38]。此外,可视化质量是人们对可视化内容通过视觉系统形成的感知,与人眼视觉感知的能力与特性息息相关,需要将人眼视觉感知理论与LOD可视化质量度量方法相结合,才能实现符合人眼视觉感知的LOD连续可视化。本文从可视化结果的视觉体验出发,对三维渲染机制和视觉感知机理进行剖析,基于“三维空间-屏幕空间-视觉感知”的变换过程,综合考虑视觉感知空间分辨率局限性、视觉关注机制和时域运动掩盖效应对LOD可视化视觉感知的影响,提出了LOD层次自适应调度方法,实现了实景三维建筑场景有限层次LOD的自适应连续可视化。
1 总体研究框架
总体研究框架如图1所示,以有限层次LOD的自适应连续可视化为目标,主要包含LOD感知、度量和调度3部分研究内容。①LOD感知:综合考虑三维渲染与视觉感知的过程与机理,对LOD可视化视觉感知中模型信息“三维空间-屏幕空间-视觉感知”的变换过程进行剖析,并对该过程中的视觉感知特性进行归纳。②LOD度量:基于“三维空间-屏幕空间-视觉感知”的变换过程,对LOD可视化中简化模型的误差及其视觉感知进行量化表征,提出基于视觉感知的LOD可视化质量度量方法。③LOD调度:将LOD可视化质量度量运用至LOD调度中,综合考虑视觉关注和视点运动对可视化质量度量的影响,建立LOD层次选择准则,结合多线程调度技术,实现符合人眼视觉感知特性的LOD自适应调度。
图1
图1 总体研究框架
Fig. 1 Overall research framework
该方法通过建立视觉分辨自适应、视觉关注自适应、视点运动自适应3种机制,支持实景三维建筑场景有限层次LOD的自适应连续可视化。3种机制分别如下:①视觉分辨自适应:在LOD调度过程中,以视觉感知空间分辨率局限性作为LOD可视化质量度量的依据,建立符合人眼视觉感知分辨能力的LOD层次选择准则。②视觉关注自适应:在LOD层次选择准则中,考虑视觉关注机制对人眼视觉感知分辨能力的影响,支持根据视觉关注情况对LOD层次选择准则进行自适应调整。③视点运动自适应:在LOD层次选择准则中,考虑视点运动所产生的时域运动掩盖效应对人眼视觉感知分辨能力的影响,支持根据视点运动情况对LOD层次选择准则进行自适应调整。
2 LOD可视化的视觉感知
人眼视觉对LOD可视化的感知包含三维渲染和视觉感知两个阶段。如图2所示,三维渲染阶段主要完成三维模型到屏幕图像的渲染,通过虚拟相机获取三维模型信息,在渲染管线中经“视口变换-图元装配-光栅化-片段着色-合并输出”一系列处理,将三维空间中的模型信息转换为屏幕空间中的像素并渲染为屏幕图像[16]。视觉感知阶段是人类视觉系统对屏幕图像信息进行处理并形成感知的过程,眼睛将所接收到的来自屏幕图像中的光信号处理为电信号,经视网膜编码处理并传递至视觉神经系统,视觉神经系统对电信号中的视觉信息进行解析,形成视觉感知[39]。在这两个阶段中,LOD模型信息经历了“三维空间-屏幕空间-视觉感知”的变换过程,在该过程中,模型信息的视觉感知受三维渲染机制和视觉感知机理所影响,具有以下特性。
图2
图2 LOD可视化的视觉感知过程
Fig. 2 The visual perception process of LOD visualization
(1)空间分辨率局限性:视觉感知具有空间分辨率局限性[40],对细节的分辨能力有限,视觉不能分辨的误差不会对视觉感知造成影响。在三维建筑场景可视化中,若不同精细程度LOD渲染结果之间差异小于人眼视觉分辨能力,则采用较粗糙层次的LOD进行可视化不会影响视觉感知。
(2)视觉关注机制:视觉感知具有视觉关注机制[41],在纷繁复杂的场景中,人眼的注意力总能快速定位至重要目标区域并进行细致分析,而对其他区域仅仅进行粗略分析甚至忽视。视觉关注可以分为两类[42]:自底向上关注和自顶向下关注。自底向上关注由客观内容驱动,与视觉内容的范围和显著性相关,眼动试验表明人眼更加倾向于关注图像中心25%的区域[43]。自顶向下关注由主观命令指导,与任务驱动或主观先验知识有关,将视觉关注强行转移到某一特定区域。如,在三维建筑场景可视化中,用户通过鼠标与场景进行交互,受自底向上关注机制影响,用户通常会通过鼠标操作将较为关注的建筑模型移动至视觉关注较强的屏幕中心,且由于自顶向下关注机制,鼠标指针周边范围建筑场景通常是用户较为关注的区域。
(3)时域运动掩盖效应:视觉感知具有时域运动掩盖效应[44],对于运动物体和场景,由于视觉内容的运动和变化,人眼视觉分辨能力相应下降。在三维建筑场景可视化中,建筑场景自身不会运动,而是在视点变化时由于形成相对运动而呈现运动的画面,使得人眼视觉对建筑场景的分辨能力降低。
以上特性将为实景三维建筑场景LOD可视化质量度量和层次调度提供理论依据。
3 基于视觉感知的LOD可视化质量度量
在LOD可视化中,由简化带来的模型误差是影响可视化质量的重要因素,本文定义了一系列参数对LOD模型误差“三维空间-屏幕空间-视觉感知”的变换过程进行量化表征,建立LOD可视化质量度量方法。
3.1 三维空间误差量化表征
LOD中简化模型相对于原始模型存在一定程度的误差,定义了相应参数对在几何与纹理信息上存在的误差进行表达。
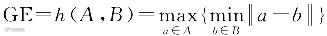
3.1.1 模型几何误差(geometric error,GE)
简化模型相对于原始模型在几何信息上的差异程度,为简化模型几何顶点相对于原始模型的最大偏离距离。计算方法如下
(1)
式中,A和B分别为原始模型和简化模型的顶点集合;表示两个顶点集合中任意两点的距离。
3.1.2 模型纹理误差(texture error,TE)
简化模型相对于原始模型在纹理信息上的差异程度,为简化模型与原始模型之间像素分辨率的比值。计算方法如下
(2)
式中,PR0和PR分别为原始模型和简化模型的像素分辨率。像素分辨率表示三维模型几何与纹理像素之间的对应关系,为纹理中平均一个像素所对应的几何长度。计算方法如下
(3)
式中,GA为模型几何表面积;UVA为模型UV总面积,即模型中所有三角面顶点对应UV坐标所构成三角形面积的总和,也即三角网对应的像素总数。
3.2 屏幕空间误差量化表征
在三维渲染阶段中,三维模型的几何与纹理信息经渲染管线渲染为屏幕中的像素,LOD模型误差也相应地从三维空间变换至屏幕空间,定义了相应的参数对屏幕空间误差进行表达。
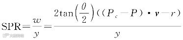
3.2.1 屏幕像素分辨率(screen pixel resolution,SPR)
屏幕像素分辨率为三维模型渲染时屏幕像素的空间分辨率,反映屏幕像素与模型几何之间的对应关系,即屏幕中一个像素所对应的模型几何长度。计算方法如图3所示,假设模型表面几何长度为a的内容在屏幕上绘制为1个像素,视点P与模型的最近距离为d,视锥体在离模型最近处的视域宽度为w,屏幕分辨率为y像素,视场角(field of view,Fo V)为θ。则
(4)
式中,Pc和r分别为模型外包围球体的中心点和半径;v表示视点方向向量。
图
图3 模型屏幕像素分辨率计算
Fig. 3 Calculation principle of screen pixel resolution
该方法为粗略求解,对位于视口中心的模型具有较高的精度,若位于边缘则计算结果稍微大于真实值。然而,这在通常情况下是可以接受的,因为其中各个参数的取值是较为保守的。如,当模型不在视口中心时,从视点到对象的距离实际上大于d,并且以离视点最近的点代表整个模型进行计算。
3.2.2 屏幕空间几何误差(screen space geometric error,SGE)
屏幕空间几何误差表示简化模型与原始模型绘制在屏幕时几何信息的差异程度,用以衡量简化模型渲染时其几何误差的明显程度,以模型渲染时其几何误差所占的像素数进行表达。计算方法如下
(5)
3.2.3 屏幕空间纹理误差(screen-space texture error,STE)
屏幕空间纹理误差表示简化模型与原始模型绘制在屏幕时纹理像素的差异程度,用于衡量简化模型渲染时其纹理误差的明显程度,当简化模型与原始模型在相同视点状态下渲染时,屏幕图像与原始模型纹理之间在像素分辨率上存在一定的差异,以简化模型纹理误差与该差异程度的比值对屏幕空间纹理误差进行表达。计算方法如下:简化模型渲染时,若将原始模型在相同视点状态下进行渲染,则渲染结果中屏幕像素相对于原始模型纹理像素的差异程度为SPR/PR0,其中PR0为原始模型的模型像素分辨率。则简化模型的模型屏幕纹理误差为
(6)
将式(2)代入式(6),可得
(7)
3.3 视觉感知误差量化表征
在视觉感知阶段,三维渲染生成的屏幕图像是视觉感知的直接对象,LOD渲染结果的屏幕空间误差被视觉所感知。由于人眼视觉感知存在空间分辨率局限性,并非所有屏幕空间误差都能被视觉所感知,其感知程度受空间分辨率局限性所影响,定义了相应的参数对视觉感知误差进行表达。
3.3.1 最小可感像素数(perceptible screen pixels,PSP)
人眼视觉感知的空间分辨率局限性以最小分辨角进行表示,其在屏幕中所对应的像素数即为最小可感像素数,反映三维可视化中人眼视觉感知的分辨能力,即屏幕中小于PSP的特征不能被人眼所感知。据相关研究,人眼正常视力在高对比度情况下的最小分辨角为1'(1分角)[40]。如图4所示,假设最小分辨角为α,可视化时人眼至屏幕的距离为d,屏幕单位长度像素数为PPI(pixels per inch),则
(8)
图4
图4 最小可感像素数计算
Fig. 4 Calculation principle of perceptible screen pixels
根据一般屏幕规格,取PPI=157(即14″,1920×1080像素),d=39.37″(即100 cm),将α=1'代入式(2),可得PSP≈2,即屏幕中小于2个像素的特征不能被人眼所感知。
3.3.2 视觉几何误差(visual geometric error,VGE)
视觉几何误差表示人眼视觉对简化模型与原始模型渲染结果中的几何信息进行感知的差异程度,用于衡量简化模型渲染时其几何误差的视觉感知明显程度。以简化模型SGE与PSP的差值进行表达。计算方法如下
(9)
VGE越大,表示简化模型几何误差的视觉感知程度越明显,若SGE≤PSP,表示简化模型几何误差不能被视觉所感知,即VGE=0。
3.3.3 视觉纹理误差(visual texture error,VTE)
视觉纹理误差表示人眼视觉对简化模型与原始模型渲染结果中的纹理信息进行感知的差异程度,用于衡量简化模型渲染时其纹理误差的视觉感知明显程度。计算方法如下
(10)
VTE越大,表示简化模型纹理误差的视觉感知程度越明显,若STE≤1,表示简化模型纹理像素分辨率高于屏幕像素分辨率,由于三维渲染生成屏幕图像时屏幕投影面积小于一个像素的图元不会被精确绘制,因此,简化模型纹理误差不能被精确绘制,不会被视觉所感知,即VTE=0。
3.4 LOD可视化质量度量
由于人眼视觉感知存在空间分辨率局限性,当同一目标的不同LOD渲染生成屏幕图像的差异小于人眼视觉分辨能力时,会被认为是完全相似的,且相似程度取决于人眼视觉对屏幕图像差异程度的感知。因此,以简化模型与原始模型在同一视点状态下的视觉感知误差作为简化模型可视化质量度量的依据。根据本文方法,LOD具有最优可视化质量需要满足以下条件
(11)
式中,M和M'分别为原始模型和简化模型,VQ为可视化质量。根据式(5)、式(7)、式(9)和式(10),可转换为
(12)
式中,PR为简化模型像素分辨率;GE为简化模型几何误差;SPR为简化模型渲染时相应的屏幕像素分辨率;PSP为最小可感像素数。
4 顾及视觉感知特性的LOD自适应调度
将LOD可视化质量度量运用至LOD调度,综合考虑视觉关注机制与时域运动掩盖效应对可视化质量度量的影响,建立LOD层次选择准则,结合多线程调度技术,实现顾及视觉感知特性的LOD自适应调度。
4.1 视觉关注量化表征
人眼视觉感知具有视觉关注机制,在视觉关注区域,视觉感知的分辨能力更强,而在非视觉关注区域,视觉感知的分辨能力下降。在三维可视化中,当模型尺寸越大、位置越处于视域中心,其越容易被视觉所关注,视觉对其特征进行感知的分辨能力越强,对其可视化质量的要求越高,反之则越低。因此,视觉关注度是可视化质量度量的影响因子之一。定义了视觉关注度(visual attention,VA)对三维可视化中的视觉关注机制进行表达,其取值为内容中心度(content centrality,CC)和位置中心度(location centrality,LC)的平均值。计算方法如下
(13)
式中,CC和LC的值域均为[0,1];VA的值域也为[0,1],越接近1,则VA越大。
关于CC和LC的计算,在世界空间坐标系、视点空间坐标系和屏幕空间坐标系均可以进行。由于世界空间坐标系、视点空间坐标系是三维空间坐标系,在其中进行计算将较为复杂,而屏幕空间坐标系为二维坐标系,在其中进行计算相对简单,且以场景渲染结果进行计算也将更加直观。因此,基于屏幕空间坐标系,提出了CC和LC相应的计算方法。
(1)内容中心度(CC):指三维模型在整个场景内容中的重要性,通过模型屏幕尺寸在屏幕中所占的比例进行表达,计算方法如下
(14)
式中,SS为模型屏幕尺寸;X和Y分别为屏幕在x和y方向上的像素数,通过屏幕分辨率进行归一化,相应的值域为[0,1],越接近1,则CC越大。
模型屏幕尺寸为三维模型渲染时在屏幕中所占的像素范围,近似采用模型外包围球体进行计算,即模型外包围球体绘制在屏幕上所形成圆形的直径所占的像素数。通常,对三维模型尺寸的刻画有外包围球体和外包围盒两种方式,外包围盒在不同视点下投影到屏幕上的形状各不相同,而外包围球体投影到屏幕上的形状与视点无关,均为圆形。因此,采用外包围球体进行模型屏幕尺寸的计算。计算方法如下
(15)
式中,r为模型外包围球体的半径;SPR为三维模型渲染时相应的屏幕像素分辨率。
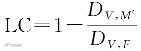
(2)位置中心度(LC):指三维模型在视域内所处位置的中心程度,通过模型中心在屏幕中的位置进行表达,为方便计算,以模型外包围球体的球心作为模型中心。采用径向梯度(radial gradient)对LC进行表达,如图5所示,针对自底向上和自顶向下两种视觉关注机制,分别以屏幕中心位置和鼠标指针位置为视觉关注点。在屏幕范围内,以视觉关注点V为中心点,以距离V最远的屏幕角F为梯度递减边界,进行屏幕宽高比例的椭圆状径向梯度,模拟视觉关注由关注点向屏幕四周的递减。计算方法如下
(16)
式中,DV,M'为模型中心M在梯度递减方向上的等值点M'与视觉关注点V的距离;DV,F为屏幕最远角F与视觉关注点V的距离,通过DV,F进行归一化,相应的值域为[0,1],越接近1,则LC越大。
图5
注:M为模型中心(model center);V为视觉关注点(visual focus);F为最远角(farthest corner)。
图5 模型视域位置中心度计算原理
Fig. 5 Calculation of location centrality
4.2 视点运动量化表征
人眼视觉感知具有时域运动掩盖效应,视觉感知的分辨能力随场景运动而降低。在三维建筑场景可视化中,由于三维建筑场景自身不会运动,而是在视点运动下形成相对运动。随着虚拟视点相对于三维场景运动速度的增大,可视化内容相对于人眼的运动速度相应增大,人眼视觉对其进行感知的分辨能力下降。因此,视点运动速度是可视化质量度量的影响因子之一。本文定义了视点运动速度(viewpoint velocity,VV)对三维可视化中的时域运动掩盖效应进行表达,其取值为虚拟视点与三维模型在三维空间中的相对运动速度。
图6为视点运动对视觉感知分辨能力影响的示例,为两个不同精细程度的场景在视点静止与视点运动情况下的可视化效果对比。其中,在视点静止情况下,粗糙场景(图6(b))的可视化结果相比精细场景(图6(a))较为模糊,其中的细节特征不能被清晰表达。而在视点运动情况下(图6(c)和图6(d)),两个场景的可视化效果几乎一致,场景中的细节特征均不能被视觉清晰感知。可以发现,三维可视化中视点的运动转化为屏幕内容的运动,人眼对运动中的屏幕内容的视觉感知分辨能力有所下降。
图6
图6 视点运动对视觉感知分辨力的影响
Fig. 6 Example of the impact of viewpoint motion on visual perception
在三维可视化中,视点运动所产生的时域运动掩盖效应对视觉感知分辨能力的影响不是简单的线性关系,而是受视点在三维场景中的位置所影响,这与实际生活中的情况是一致的。如,当视点以同一运动速度在高空和地面发生运动所带来的视觉感受是不一致的,视点在地面进行高速运动将大大降低视觉感知分辨能力,而以同一速度在高空中运动所产生的影响相对较小,视觉感受可能与静止情况下相差不大。因此,视点运动速度对视觉感知分辨能力的影响具有尺度效应。此外,由于视点与三维场景中的每个模型的相对位置是不一致的,视点运动速度对于不同模型视觉感知分辨能力的影响也是不一致的。
视点运动速度对视觉感知分辨能力的影响具有尺度效应这一现象给其量化计算带来了挑战,需要对视点运动速度进行尺度无关的表达。在三维可视化中,存在4个空间坐标系:模型空间坐标系、世界空间坐标系、相机空间坐标系、屏幕空间坐标系,其中,屏幕空间坐标系可以将其他3个坐标系进行关联,也是三维可视化结果所对应的坐标系。在屏幕空间坐标系中,视点运动速度与场景中三维模型之间的尺度关系表现为屏幕像素分辨率(SPR),对其进行量化计算十分便利。因此,可以通过SPR将视点运动速度在屏幕空间坐标系中进行表达,进而屏蔽尺度效应。
基于上述分析,提出了视点运动速度计算方法,具体如下
(17)
式中,VVWorld表示视点在三维场景世界空间坐标系中的运动速度;VVModel表示视点相对于三维模型在屏幕空间坐标系中的运动速度;SPR为三维模型渲染时所对应的屏幕像素分辨率;X和Y分别为屏幕在x和y方向上的像素数。通过SPR将VVWorld转换为VVModel,使在三维空间坐标系中用长度进行度量的视点速度在屏幕空间坐标系中用像素数进行度量。通过屏幕分辨率对VVModel进行归一化,相应的值域为[0,1],越接近1,则速度越大,通常计算得到的值不会大于1,即可视化过程中视点在一帧间隔中的运动距离通常不会超过一个屏幕的范围。
上述方法将视点运动速度在屏幕空间坐标系中进行表达,屏蔽了视点运动速度对视觉感知分辨能力影响的尺度效应。另一方面,该方法所计算的视点运动速度是相对于场景中每个三维模型的,进一步反映出视点运动速度对不同位置模型视觉感知分辨能力的影响。
4.3 LOD层次自适应选择
人眼视觉感知分辨能力的强弱反映在可视化上则是LOD最优可视化质量度量标准的严格程度。在本文提出的度量标准中(式(12)),PSP即表示人眼视觉感知分辨能力,因此,该度量标准中PSP的取值应该根据实际情况进行相应的自适应调整。结合上述提出的视觉关注和视点运动量化表征方法,建立了可视化质量度量标准自适应调整方法
(18)
式中,PSP0为正常条件下人眼视觉最小可感像素数,根据屏幕的单位长度像素数(PPI)进行计算(式(8));VA为视觉关注度(式(13));VVModel为视点运动速度(式(17));a和b为常量参数,其中,a将VVModel从区间[0,1]平移至[a,1+a],取值为1;b将1-VA从区间[0,1]平移至[b,1+b],取值区间为[0.5,1],若b<1,则VA较高的模型的可视化质量度量将更加严格。由于可视化质量度量的严格程度随PSP的增大而降低,当VVModel增大或VA减小时,自适应PSP相应增大。
基于上述综合考虑视觉关注机制与时域运动掩盖效应的LOD可视化质量自适应度量方法,进一步建立LOD层次自适应选择准则。若在特定视点状态下满足该准则,则LOD精细程度合适,可视化效果与原始模型视觉感受一致;若不满足,则LOD较为粗糙,需采用更精细层次模型进行可视化。LOD层次自适应选择准则的技术流程如图7所示,主要包括以下3个步骤。
图7
图7 顾及视觉关注机制与视点运动效应的LOD层次自适应选择准则技术流程
Fig. 7 The flowchart of the adaptive selection criteria for LOD considering visual attention and viewpoint motion
(1)三维误差至屏幕误差的变换:根据三维模型渲染为屏幕图像的过程,以GE和TE对LOD相对于原始模型在三维空间中的模型误差进行表征,结合三维渲染机制,通过SPR将GE和TE分别转换为在屏幕空间进行表征的SGE和STE。
(2)屏幕误差至感知误差的变换:根据人眼视觉对屏幕图像进行感知的过程,结合人眼视觉空间分辨率局限性,通过PSP将SGE和STE分别转换为人眼视觉所能分辨的视觉感知误差VGE和VTE,构建LOD最优可视化质量度量标准VQ(式(12)),作为LOD层次选择准则,建立LOD层次自适应选择的视觉分辨自适应机制。
(3)视觉感知特性自适应:考虑到视觉关注机制和时域运动掩盖效应对视觉分辨能力的影响,以VA和VV分别对三维可视化中的视觉关注和视点运动进行量化表征,并将其融入LOD可视化质量度量中,对PSP与VQ之间的关系进行自适应调整(式(18)),建立LOD层次选择的视觉关注自适应和视点运动自适应机制,进而实现LOD层次自适应选择。
4.4 多线程动态调度
三维可视化的效率随着三维场景复杂度的增加而降低,多线程并行处理是提高渲染效率的有效途径。在LOD层次自适应选择的基础上,本文提出了一种三维场景可视化的多线程动态调度框架,如图8所示,将整个过程划分为5类子任务,并分别设计相应的线程进行处理。程序运行时,线程之间相互协作,实现高效渲染。5类子任务线程如下。
图8
图8 多线程动态调度
Fig. 8 Multi-thread dynamic scheduling
(1)主线程:负责用户交互处理、程序状态监控和场景资源渲染。根据场景索引中的节点状态进行场景渲染,并根据用户操作更新程序状态,将最新状态发送给LOD选择线程以启动场景更新任务。
(2)选择线程:负责HLOD选择和子任务发布。根据主线程传递的系统最新状态,遍历场景索引,计算需要加载和渲染节点集合,并将分别发布到加载线程和渲染线程。
(3)加载线程:负责数据加载。对选择线程发布的需要加载节点集合进行处理,下载相应的数据并将其传递至转码线程。
(4)转码线程:负责数据转码,将加载线程发布的需要转码节点集合转码为渲染资源,并将节点标记为已加载状态。本文采用gLTF作为三维模型的存储格式,Unreal Engine(UE,
(5)渲染线程:负责渲染资源设置。对选择线程发布的需要更改渲染状态的节点集合进行处理,设置渲染状态,并更新场景索引中节点的渲染状态信息。
5 试验与分析
5.1 试验数据与试验环境
试验数据:深圳市福田区全域三维建筑场景,场景面积为78.66 km2,包含26 261个单体建筑,60 678个HLOD模型,总数据量为66.53 GB。
试验环境:采用Unreal Engine作为渲染引擎,配置CPU Intel© CoreTM i9-11950H @ 2.60 GHz,GPU GeForce RTX 2060(8 GB),64 GB RA M,14英寸屏幕,1920×1080像素的屏幕分辨率,PPI=157。
5.2 单体模型LOD自适应可视化试验
5.2.1 试验内容
对单体建筑模型由近到远连续变换视点,根据视点状态动态进行LOD的选择和切换,观察该过程的视觉连续性。考虑到建筑模型的规则几何形状和复杂曲面造型是影响LOD层次切换效果的重要因素,从试验数据中选取4个具有代表性的单体建筑模型进行试验,包含规则立方体、圆柱体、穹窿顶、异形曲面等形态的结构。所选取模型的LOD信息见表1,随着简化程度增大,各LOD的几何与纹理信息均相应简化,三角面数量(TN)递减,几何误差(GE)和像素分辨率(PR)递增。
表1 单体三维模型LOD信息表
Tab. 1
|
|
|
|
|
|
||||||||
|---|---|---|---|---|---|---|---|---|---|---|---|---|
|
|
|
|
|
|
|
|
|
|
|
|
|
|
|
|
|
|
|
|
|
|
|
|
|
|
|
|
|
|
|
|
|
|
|
|
|
|
|
|
|
|
|
|
|
|
|
|
|
|
|
|
|
|
|
|
|
|
|
|
|
|
|
|
|
|
|
|
|
|
|
|
|
|
|
|
|
|
|
|
|
|
|
|
|
|
|
|
|
|
|
|
|
|
|
|
|
|
|
|
|
|
|
|
|
|
|
|
|
|
|
|
|
|
|
|
|
|
|
|
|
|
|
|
|
|
|
|
|
|
|
|
|
|
|
|
|
|
|
|
|
|
|
|
|
|
|
|
|
|
|
|
|
|
注:TN表示三角面数量;PR表示像素分辨率;GE表示模型几何误差。
新窗口打开| 下载CSV
5.2.2 试验结果
试验结果如图9所示,在3个视点状态下发生LOD切换,切换前后不同LOD的渲染结果具有几乎一致的视觉效果,由模型放大后的细节图可以看出,切换前后LOD之间的精细程度存在差异,但模型差异所造成的可视化误差在人眼视觉分辨能力之外,难以被人眼视觉所感知。总体上,本文方法可以根据视点位置动态实时选择精细程度适当的LOD层次进行渲染,整个视点连续变换过程具有较好的视觉连续性。在达到最优可视化质量临界条件的视点状态下,相邻层次LOD之间的切换平滑过渡,切换前后具有相同的视觉效果,视觉误差不会被人眼所感知。
图9
注:图片为可视化视频的截图。
图9 单体LOD随视点由近到远的可视化效果
Fig. 9 Visualization effect of individual LOD as viewpoint moves from near to far
5.3 三维场景HLOD自适应可视化试验
5.3.1 试验内容
对三维场景由远到近连续变换视点,根据视点状态动态进行HLOD的选择和切换,观察该过程的视觉连续性和运行效率。
5.3.2 试验结果
图10为三维场景随视点由远到近的可视化内容变化情况,表2为相应的可视化内容对照。其中,图10(a)—(c)分别为随视点由远到近连续变换过程中3个视点状态下(远、中、近)的可视化内容。图10(d)为随视点由远到近场景可视化内容的变化情况,其中,所渲染的模型数量(MN)、三角面数量(TN)和顶点数量(VN)均随视点运动而发生变化,特别是在从远视点至中视点过程中随着场景占屏幕范围的变化,经历了先递增后递减的变化,在该变化过程中,运行效率(FPS)稳定在较高水平。本文方法可以根据视点位置和视域范围,动态实时选取精细程度适当的HLOD进行加载与渲染,在保证可视化质量的前提下,具有较高的可视化效率,其特点如下。
图10
图10 随视点由远到近的可视化内容变化情况
注:HLOD模型以不同的随机颜色进行表示,以区分各模型的空间范围,范围越大则该模型精细程度越低,反之则越高。
Fig. 10 Changes of visual content as viewpoint moves from far to near
表2 随视点由远到近的可视化内容对照
Tab. 2
|
|
|
|
|
|
|---|---|---|---|---|
|
|
|
|
|
|
|
|
|
|
|
|
|
|
|
|
|
|
注:MN为场景渲染模型总数量;TN为场景渲染三角面总数量;VN为场景渲染顶点总数量;FPS为运行效率。
新窗口打开| 下载CSV
(1)在可视化质量方面,随着视点由远到近的连续变化,三维场景的细节特征逐渐变得精细,简化所造成的模型误差在视觉效果上的表现难以被人眼所感知,总体上具有较好的视觉舒适性。
(2)在可视化效率方面,随着视点由远到近的连续变化,虽然三维场景的细节特征逐渐变精细,但所加载渲染的MN、TN和VN始终保持在一定范围内,数据IO和渲染压力维持在理想水平。避免了视点较远时需要加载的三维模型数量较多、所需渲染的三维模型复杂度较高等问题,总体上具有较高的可视化效率。
5.4 自适应机制试验
5.4.1 视觉关注自适应
5.4.1.1 试验内容
在三维场景自适应可视化试验的基础上,对LOD自适应调度方法中的视觉关注自适应机制分别进行关闭和开启,对可视化质量和效率上的差异进行比较分析,验证视觉关注自适应机制的作用。
5.4.1.2 试验结果
试验结果如图11和表3所示,可以看出,关闭与开启视觉关注自适应机制具有较为接近的视觉效果。屏幕中间部分的渲染结果几乎相同,而开启自适应状态下位于屏幕边缘和屏幕尺寸较小的模型精度有所降低。这是由于在开启视觉关注自适应状态下,位于屏幕边缘和屏幕尺寸较小模型的可视化质量度量的严格程度有所降低,如图11中红色框的几处明显存在差异,多个相邻模型被替换为合并简化后的较粗糙层次。在效率方面,开启自适应机制后,所渲染的MN、TN和VN均有所减少,FPS相应提升。总体上,视觉关注自适应机制可以在保证可视化质量符合人眼视觉感知的前提下提高可视化效率。
图11
图11 视觉关注自适应效果对比
注:HLOD模型以不同的随机颜色进行表示,以区分各模型的空间范围,范围越大则该模型精细程度越低,反之则越高。
Fig. 11 Comparison of the effects of visual attention adaptive mechanism
表3 视觉关注自适应效果信息表
Tab. 3
|
|
|
|
|
|
|---|---|---|---|---|
|
|
|
|
|
|
|
|
|
|
|
|
注:MN为场景渲染模型总数量;TN为场景渲染三角面总数量;VN为场景渲染顶点总数量;FPS为系统运行效率。
新窗口打开| 下载CSV
5.4.2 视点运动自适应
5.4.2.1 试验内容
在三维场景自适应可视化试验的基础上,对LOD自适应调度方法中的视点运动自适应机制分别进行关闭和开启,对可视化质量和效率上的差异进行比较分析,验证视点运动自适应机制的作用。
5.4.2.2 试验结果
试验结果如图12和表4所示,其中,第一行为视点运动状态下关闭与开启视点运动自适应机制的可视化效果,可以看出,两者具有较为接近的视觉效果,视觉感知的差异不大。第二、三行为关闭与开启两种条件下相应的可视化质量度量标准在视点静止状态下的可视化结果,可以看出,开启视点运动自适应的静态可视化结果精度相对较低。这是由于开启视点运动自适应可视化后可视化质量度量的严格程度有所降低,如图12中红色框的几处存在明显差异,模型数据精度有所降低,多个相邻的单体模型替换为合并简化后的较粗糙数据。在效率方面,开启自适应机制后,所渲染的MN、TN和VN均有所减少,FPS相应提升。总体上,视点运动自适应机制可以在保证可视化质量符合人眼视觉感知的前提下提高可视化效率。
图12
注:HLOD模型以不同的随机颜色进行表示,以区分各模型的空间范围,范围越大则该模型精细程度越低,反之则越高。
图12 视点运动自适应效果对比
Fig. 12 Comparison of the effects of viewpoint motion adaptive mechanism
表4 视点运动自适应效果
Tab. 4
|
|
|
|
|
|
|---|---|---|---|---|
|
|
|
|
|
|
|
|
|
|
|
|
注:MN为场景渲染模型总数量;TN为场景渲染三角面总数量;VN为场景渲染顶点总数量;FPS为系统运行效率。
新窗口打开| 下载CSV
5.5 试验结论
由上述试验可知,本文方法可以保持可视化过程中LOD切换的视觉舒适性,保持可视化质量与效率之间的动态平衡,实现了符合人眼视觉感知的三维场景自适应可视化,具有以下特点。
(1)三维模型可视化质量的快速度量:根据三维渲染机制和视觉感知机理,LOD误差在三维可视化中经历了“三维空间-屏幕空间-视觉感知”的变换过程,通过对该过程的量化表征,将复杂的三维空间计算转换至屏幕空间,大大降低了计算复杂度,可以实现实时计算。
(2)保持可视化质量与效率之间的动态平衡:顾及视觉感知特性的LOD自适应调度方法将视觉感知理论与三维可视化技术相结合,通过视觉分辨、视觉关注和视点运动3种自适应机制,在可视化过程中对LOD层次选择准则进行自适应调整,在保证可视化质量的前提下进一步提升可视化效率。
(3)实现有限层次LOD的视觉连续可视化:本文方法从人眼视觉感知出发,在视点变换情况下能够通过可视化质量快速计算选取具有最优可视化质量的LOD层次,并结合多线程动态调度进行高效渲染,从而在LOD层次有限的情况下实现视觉上的连续可视化。
6 结语
三维建筑场景可视化是实景三维中国建设和城市信息模型(CIM)基础平台建设的共性技术问题,符合人眼视觉感知是可视化的基本需求,实景三维建筑模型所具有的真实程度高、尺度跨度大、数据规模大等特点,给保持模型真实感的LOD可视化带来可视化质量度量不准确、层次切换不连续、渲染效率不稳定等问题。本文从可视化的视觉体验出发,综合考虑三维渲染机制和视觉感知机理,将人眼视觉感知特性运用至LOD可视化技术中,提出了视觉感知导向的实景三维建筑场景LOD自适应可视化方法。该方法基于三维可视化中LOD模型信息的“三维空间-屏幕空间-视觉感知”变换过程,以渲染生成的屏幕图像为对象,在屏幕空间对LOD可视化质量的视觉感知进行度量,将复杂的三维空间计算转换至屏幕二维空间,大大降低了计算复杂度。此外,该方法综合考虑空间分辨率局限性、视觉关注机制和时域运动掩盖效应对LOD可视化视觉感知的影响,建立视觉分辨、视觉关注和视点运动3种自适应LOD层次选择准则自适应调节机制,实现了有限层次LOD的自适应连续可视化,并且能够在保证可视化质量的前提下进一步提高可视化效率。
然而,本文方法尚存在一些局限性,也是未来工作的方向,主要如下:①LOD技术包含生成、选择和切换3个环节,本文聚焦于选择和切换两个环节,其受限于 LOD模型生成的质量,若 LOD 层次划分合理且各层次精细程度变化均匀,将有助于进一步提升连续可视化的效果与效率。在未来的研究中,将进一步探索将本文提出的基于视觉感知的 LOD可视化质量度量方法运用至 LOD 生成中,并以可视化质量逐层次均匀变化为指导依据,建立相应的LOD生成方法。②在 LOD可视化视觉连续性评估方面,当前尚未有较为系统的量化评估指标,已有方法大多是通过计算相邻帧之间的几何或色彩差异来进行表达,对于运动画面具有一定的局限性,而 LOD切换恰恰是伴随着画面运动而产生的。本文对 LOD连续可视化效果的评估采用人眼观察的主观评估方法,如何综合考虑视觉感知理论和三维渲染机制,建立 LOD 可视化视觉连续性量化评估指标,是未来研究的重要方向之一。③本文研究以常规屏幕为显示载体,尚未考虑具有眼动追踪功能的沉浸式显示设备。在未来的研究中,可在本文的基础上,结合沉浸式设备的显示技术和渲染机制,探究沉浸式显示设备的可视化质量度量方法,并将眼动追踪融合至视觉关注自适应机制中,进一步对面向沉浸式显示载体的 LOD 自适应可视化进行研究。
- END -




