摘要 :多波束测深技术为海底地形勘测提供了高精度、高效率、高分辨率的三维表达方式,是我国由海洋大国迈向海洋强国的必要手段。然而海洋环境的复杂性和不确定性为海底地形信息采集、处理及分析带来了巨大挑战,其三维可视化质量依赖于数据采集硬件设备、计算机软件及图形处理算法的先进性,具有重要理论意义和实用研究价值。本文围绕海底地形三维建模方法中的研究现状、先进算法和精度评价指标,阐述国内外海底地形三维建模研究工作和建模质量评价指标的最新进展,分析比较3种先进算法在我国南海西北部局部区域数据下的性能表现,并对海底地形三维建模的主要发展方向趋势予以展望。
海底地形测绘对于科学研究、资源开发、航运安全等具有重要意义[1-2]。由于海底地形客观条件,难以直接对其进行观测,过去由于计算机计算能力和测深数据采集效率的限制,科研考察团队多采用单波束测深、侧扫声呐探测、浅地层剖面探测、重力测量等技术手段,间接获取水下地形地貌信息,导致局部区域测深信息缺失、数据精度较低[3]。
多波束测深系统以扇面的形式发射出多个波束,高效、精确记录大面积面状海底地形起伏变化,真正实现了海底测量由点到面的变革[4]。因此,研究海底地形的高效率、高保真三维建模方法,呈现目标场景的多细节层次信息,在海底地形勘测与应用中贯穿始终。
本文围绕海底地形建模的核心,阐述海底地形三维模型构建算法的研究进展和先进方法,并作出性能评价与适应性分析,以期为海底地形三维建模提供最优选择方案,为资源开发、航运安全等提供更逼真、精细的海底场景,推动我国从海洋大国迈向海洋强国。
1 基于船载多波束船载声呐数据的海底地形三维建模方法研究进展
相较于单波束测深系统单一定点脉冲声波的测深导致的覆盖度低、内插水深存在误差等不足,多波束测深系统可以在一个扇面发射出多个波束,并同时有效记录多个测点的水深值,因此,可以更加精确地表现出海底地形的起伏变化[5]。为进一步获取真实准确的深度数据,还需要进行潮汐调和分析、声速剖面误差、定位数据优化、船姿分析及其改正,以及波束脚印的归位和坐标转换[6]。对原始多波束测深数据的异常值和系统误差进行定位与消除,多采用基于不确定度理论的CUBE滤波。
按照海底地形三维建模任务不同的标准,可以将方法划分成不同的类型(见表 1),主要有:①根据处理方式分类,包括人工、自动及半自动;②根据空间维度分类,包括面结构、体结构等;③根据数据结构分类,包括规则格网与不规则格网,本文将对这两类数据结构展开详细阐述。
1.1 基于规则格网建模
规则格网的基本思路是将研究区域划分为若干个大小均匀的空间格网,每个格网对应一个已知离散点数值,空格网利用已知离散点数值通过算法内插出数值。在海底地形模型构建时,主要常用的插值算法有自然邻近点插值算法、反距离加权算法、克里金插值算法等。
在不经优化的情况下,规则格网内插算法的质量和内插值精度直接决定构建的模型的质量。文献[7]在权重配赋网格插值基础上,提出分形布朗运动(fBM)和张力样条配合使用的方程式插值方法,保证建模结果能更好地适应地形变化。文献[21]在规则格网自然邻近法内插的基础上加入船位姿更正等信息,提高建模精度。
部分学者将研究重点放在格网分辨率的探索上,文献[8]率先研究了格网分辨率对于建模精度的影响;文献[9]则将目标划分为分块的、分层的、多种分辨率的规则网格,进一步构建多细节层次模型;文献[15]提出了分块抽稀、区域建模、拼接整合的海底地形DEM建模思路,有效应对地形变化较复杂的局部区域;文献[20]结合人工与先验信息,将初步内插得到的水深值作为网格顶点的高度值,再根据屏幕分辨率求解细分网格的插值点数及对应插值点的水深值,使得海底地形建模精度与屏幕分辨率相适应,从而构建出海底地形细分三维网格。
1.2 基于不规则格网建模
顾及地形起伏变化复杂区域建模精度受规则格网分辨率影响,学者们提出灵活性更高的不规则格网划分方案。不规则三角网格倾向于曲面数据结构,它将曲面拟合成若干个三角面,三角面的分布和面积取决于已知离散点的位置。不规则三角网的建立方式有很多,常见的包括Programmable Logic Controller、Bowyer、Delaunay法等。其中,Delaunay不规则三角网的构造方法能够有效避免瘦长三角形,并确保每个点的外接圆不包含其他点,使生成格网不重叠且具有唯一性,成为最主流的思路。
为更适应不规则格网的几何特征,学者们引入移动曲面的思想提高建模精度,文献[16]基于海底地形的局部自相似特性,对局部矩形子域实施IFS分形插值映射到待插值单元格中,以高程值为权重计算垂直比例因子,有效应对散乱、无序的多波束测深数据;文献[19]以珊瑚礁栖息地为研究对象,提出基于微分几何原理和优化控制论的高精度曲面模型算法(high accuracy surface modeling,HASM)的高分辨率珊瑚礁栖息地地形模型;文献[23]在此基础上采用分片法,用若干个直平面模拟不规则弯曲地形,进一步提升建模精度和效率。此外,还有通过丰富数据来源引入影像[12]、GNSS[27]数据辅助的手段进行测量深度校正处理的方法。
基于不规则三角网构建的三维模型存储涉及三角形各顶点深度值、坐标、拓扑关系,较规则格网更为复杂,因此学者们在计算复杂度和存储复杂度上开展研究。文献[17]经过数据转换、数据优化等技术将海底地形TIN模型转换为已有系统可识别的Open Flight模型,以此提高三维建模计算效率;文献[22]则从数据源头入手降低存储复杂度,提出一种顾及坡度和高程的多波束测深数据抽稀算法,同时兼顾数据抽稀的精度和地形特征点的保留。
2 海底地形三维建模精度评价指标
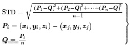
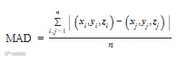
水深模型精度评估方法有多种,常见的3种评定指标包括:平均绝对偏差(mean absolute deviation,MAD)[28]、均方根值(root mean square error,RMSE)[29]及标准差(standard deviation,STD)[30]。
MAD是衡量建模数据偏离真值平均值程度的指标,计算的是绝对偏差,因此不会因为极端值而产生过大的影响,反映建模成果的整体离散情况。其计算公式为
(1)
RMSE计算建模数据偏离真值平均数(方差)的平方根,能够量化误差的大小,且对较大的误差给予更大的权重,对异常值非常敏感。其计算公式为
(2)
STD是建模数据偏离真值的方差的平方根,仅衡量数据点相对于均值的分散程度,因此它不适用于直接评价模型的实际精度,一般情况下会与其他评价指标搭配使用。其计算公式为
(3)
式中,(xj,yj,zj)为真值点的坐标值;(xi,yi,zi)为每个建模坐标值;Q为数据点的平均值;n为所有坐标点的数量。式中由每个已知点值与平均值之差的平方和除以n-1,即得到样本标准差。
3 海底地形三维建模基准方法性能测试3.1 基准算法介绍
为尽可能基于多波束测深数据进行高精度建模,本文对以下3种不规则格网数据结构算法进行阐述。
(1) 优化的Delaunay三角网建模。文献[21]综合规则格网耗时短、Delaunay三角网灵活性较高的特点,提出一种在三角网构网前对测深点进行分块处理的合成算法。如图 1所示,首先以设置的多波束声呐条带数据为单位,构建Delaunay三角网单位地形图,设置条带数量受测线间距、船速及发射角度影响,默认值为5;然后基于逐点插入法构建Delaunay三角网并得到单位地形模型;最后按照坐标位置信息拼合所有条带,形成完整测量区域的海底地形三维模型。
图 1 优化的Delaunay三角网构建流程
(2) 基于迭代反演的海底地形建模。文献[18]将由海水质量不足、地壳密度异常、静压补偿等引起的水深值测量误差纳入考量,提出基于迭代反演的海底地形三维模型构建。如图 2所示,该方法首先选择合适的重力异常(gravity anomaly,GA)波段作为输入数据,通过相干分析、静压补偿和反演算法中的参数,选择合理的重力信息波段范围估计海底地形,并根据海面重力和重力梯度对反演带中的海底地形进行建模;然后采用先验测深模型补偿反转波段外的海底地形信息;最后将反演带海底地形和非反演带海底地形叠加,得到全波段海底地形模型。
图 2 迭代反演模型构建流程
(3) 基于HASM模型的海底地形建模。文献[19]基于HASM模型在高精度地球表面模型的优越性,将其引入海底地形建模。如图 3所示,首先进行内蕴量和外蕴量计算,两者分别表示在海底地表之上观测到的细节信息和地表之外观测到的宏观信息;然后对其组合构建曲面的偏微分方程组,通过有限差分方法、导数离散化、建模区域无量纲化、等式约束、挖掘地形信息等系列方法推导构建不等式约束;最后得到HASM模型,求解后可构建海底地形模型。
图 3 HASM模型构建流程
3.2 试验数据与环境
(1) 试验数据。试验区域位于中国南海西北部,约为250 m×250 m的矩形区域,建模所用控制点数为91 031,水深约51 m。
在进行格网化、插值及模型构建前,格网的划分至关重要,若格网数量过少、计算速度快,会导致模型品质差、精度低,不能精确反映真实海底地形。理论上,网格数量越多模型精度越高,但很显然其模型计算时间会加长,极大影响处理效率,且格网间距变小容易造成格网网点附近无测量值,内插时易产生错误。因此,本文结合实际多波束测量数据及对最终结果的要求对网格大小数量进行设定。由于试验区域较为平坦,通过经验划分格网分别为0.5 m×0.5 m、1 m×1 m、2.5 m×2.5 m三等,发现格网在除1 m×1 m外的两种情况下均易产生误差,因此本文最终设置网格单元大小为1 m×1 m。
(2) 试验环境。采用2.20 GHz、i7-8750 CPU及8 GB RAM的笔记本电脑。第1项试验对文献[19]与Delaunay三角网传统逐点插值格网构建算法进行比较,各项参数均遵循默认设置;第2项试验在完成Delaunay三角网构建的基础上对文献[18]、文献[21]进行三维建模算法比较。
3.3 性能比较与分析
(1) 不规则格网构建。图 4—图 5分别为Delaunay三角网传统逐点插值格网和优化的Delaunay三角网插值格网的细节。表 2反映了两种方法构建不规则格网的耗时情况。
从构网质量方面分析,传统逐点插值算法构建的三角网过于平滑地形,在局部地形细节上质量较低;优化的Delaunay三角网算法能更好地顾及复杂地形变化,对细节表现得更加精确。从构网耗时方面分析,优化构网算法在运行时间上远少于传统逐点插值算法,可见优化的Delaunay三角网算法能有效提高构网效率。
(2) 海底地形三维模型构建。图 6—图 8分别为无模型引导、HASM模型和迭代反演模型方法建模及渲染结果。本文检核点采用检查线上的多波束水深数据,点数为40 408,数值上约占建模点数的44%。在地形中位置如图 9所示(底图为无引导模型,黄色点为建模点,红色点为检核点)。表 3反映了各方法建模精度及适用情况。
图 7 HASM模型
图 8 迭代反演模型
首先,无模型引导建模结果在试验区域边缘角上均有较明显误差,是该方法由待插值点与其他所有点间的距离定权所得,又由于本文区域内点数较多,使得边缘点极易受影响,出现较明显误差,可以通过进一步增加点间距离权重关系改善。此外,该方法的MAD和RMSE指标与其他方法相比较差,这说明该方法的预测值与实际值之间存在较大的误差。
然后,HASM模型在处理复杂地形和不规则分布的数据时效果较好,但在数据点较稀疏和非常密集的地方会出现不可避免的误差。本文试验区域水深变化较平缓,因此该方法效果较为平滑,其在控制整体误差方面,同样展现出较强的能力,能够精确地描述复杂地形的起伏,有效减少边缘效应。
最后,迭代反演模型能够根据数据点特性局部插值,很好地处理边缘效应,且无需构建复杂的数学模型,当已知数据点分布不均匀时会出现较大误差,反映为模型会受限于已知点的位置,影响最终结果。但由于本文区域数据点密集且较均匀,该方法所得模型图效果较好,没有明显误差。从MAD和RMS指标来看,该方法的误差水平较为稳定,在预测时可以捕捉局部地形变化,适用于处理相对平坦的地形。
在比较3种方法的最值、标准偏差时,以上方法在误差离散程度上表现一致,表明在不同场景下的误差波动相对较小,所得到的模型及最大、最小值的结果范围较接近,说明在多波束数据建模和极值问题上均有较好的表现。综合而言,应根据具体的地形特征和应用需求选择合适的方法。
4 海底地形三维建模展望
在三维采集成像、地理信息分析、计算机视觉技术日趋成熟的背景下,目标场景三维信息获取的质量与效率逐步提高,采集的成本不断降低,得以对海底地形进行全覆盖、高精度测量与三维模型的构建,进而被广泛应用于海洋探索、海底资源开发、海洋工程设计、海洋战场虚拟环境等海洋强国建设产业。不同于陆地地形三维建模,海底地形在数据采集过程受水环境和信号干扰,生成的三维模型难以体现高保真的海底地形特征,推动着海底地形三维建模方法的改进和创新。
基于已有方法对海底地形复杂多样性、格网分辨率自适应、内插算法误差降低等进行研究,未来有以下几种发展趋势:①丰富海底地形模型测试数据集(如海藻场、牡蛎礁、海山等),完善当前海底地形三维模型构建算法覆盖度,除顾及整体地形外,也能考虑海底地物多样性;②当前多波束声呐测深系统采集的数据包括水深值、反射强度,无法获取海底地形的颜色属性、结构特征等信息,可考虑叠加水下光学、声学遥感等多元遥感数据,进一步构建信息更丰富的海底三维模型;③为进一步丰富海底地形信息与功能,需要对海洋中各个环节进行模拟,将时间要素纳入考量,满足海洋战场虚拟环境随着时间变化而变化的特点;④开发功能相对完整的多波束测深数据自动化处理与分析平台,耦合三维成像信息预处理、格网划分与内插、几何属性信息可视化、海底地形地势演变分析处理等功能模块,实现三维海洋地理信息全流程、全周期处理。
5 结语
如何有效应对海洋环境的复杂性和不确定性,对多波束测深数据进行高保真、高效率三维模型重建,成为当前海底地形测量与考察的研究目标。本文围绕海底地形三维建模的核心,重点对国内外海底地形三维建模方法的研究工作进行了说明与总结,并在我国南海西北部局部区域数据上对3种先进海底地形三维建模方法进行了比较分析,最后对海底地形三维建模的重要发展方向予以了展望。
吴辉1,2,3, 张卉冉1,2,3, 朱维强1,2,3
1. 广州市城市规划勘测设计研究院有限公司, 广东 广州 510060;
2. 广州市资源规划和海洋科技协同创新中心, 广东 广州 510060;
3. 广东省城市感知与监测预警企业重点实验室, 广东 广州 510060
基金项目:广东省城市感知与监测预警企业重点实验室基金(2020B121202019)
关键词:多波束, 海底地形, 三维建模, 精度评价
- END -




