
[摘 要] 机载激光雷达(LiDAR)点云电力线提取过程中存在杆塔形状复杂、噪声影响大等问题,导致电力线点云提取精度低,本文提出一种基于点云分块处理、格网划分的曲面拟合滤波、自适应密度聚类算法的电力线点云提取与重建方法。首先,根据电力线走向,对整体点云进行分块处理;其次,在曲面拟合算法的基础上,引入格网划分思想,提出一种改进曲面拟合滤波算法并进行点云滤波;最后,通过给出自适应密度聚类解决方案精确提取电力线点云。借助点云库(PCL )、libLAS 库与Visual Studio 2017 C++开发环境实现本文算法,基于实测点云数据对本文方法进行测试与精度评定。结果表明:电力线提取精确率为97.82%、召回率为99.76%、F1值为98.78%,一次便可实现电力线的成功提取,在保证提取精度的同时提升了提取效率,本文研究能够为电力线智能巡检提供良好的工程应用价值。
[关键词] 机载LiDAR点云;电力线提取;改进滤波算法;自适应密度聚类;精度评定
引言
随着经济社会的发展,国民用电量不断攀升,随之而来的是架空输电线里程的增加。电网结构具有复杂、长距离等特征,针对长距离输电线的巡检面临巨大挑战[1]。传统电力巡检方式存在费时费力、安全系数低等问题,随着机载激光雷达(light detection and ranging,LiDAR)技术的不断发展与成熟,其逐渐被应用于电力巡检中,该技术能够在短时间内获取海量地表地形、地物点云数据,具有精度高、成本低等优势[2-3]。基于机载LiDAR 扫描点云数据进行电力线提取是一种高效、便捷的方法,电力线三维重建包括两个部分,分别为电力线点云提取与重建,众多专家学者对此进行了大量研究,并取得了积极的、具有可行应用价值的成果,包括空间直线检测法、二维霍夫(Hough)变换法以及密度聚类算法等[4-6]。但是通过实验检验,上述算法均存在一定局限性,限制了电力线点云提取精度,其中空间直线检测法在电力线点云提取效率上存在缺陷;二维Hough 变换法是一种二维图像处理算法,在进行点云处理时需首先将点云栅格化,过程中会产生信息丢失的现象;密度聚类算法具有效率高、信息不丢失的优势,但是在参数赋值时,需要反复测试,参数的不确定性,限制了电力线点云提取精度。基于此,本文在现有点云处理算法的基础上,给出一套电力线点云提取优化方案。首先对机载LiDAR 点云进行分块处理并提出一种点云滤波改进算法,其次通过给出自适应密度聚类算法,实现电力线点云的精确提取。借助点云库(point cloud library,PCL)、libLAS 库与Visual Studio 2017 C++开发环境实现本文算法,并基于机载LiDAR 点云对本文给出的电力线点云提取与重建方案进行检验。
1 激光点云电力线提取
1.1 点云整体分块
机载激光雷达技术通过对观测,得到海量地表地形及各类地物点云数据,包括地面点、植被点、电力塔点以及电力线点等,对原始机载LiDAR 点云直接进行处理,会影响算法处理效率。此外,直接使用滤波算法对地面点进行滤波,易造成地面点难以滤除或者滤除效果差等问题。针对上述问题,本文根据点云走向进行分块,将整体点云分成多块进行单独处理,分块处理的步骤主要包括[7-8]:
1)电力线走向判断。点云整体分块前首先进行电力线走向判断,计算最大最小XY 坐标的差值,公式为

式中,Xmax、Xmin为X 方向最大值、最小值;Ymax、Ymin为Y方向最大值、最小值。根据Δxy确定电力线走向,当Δxy 为正值时,电力线走向为X 方向,按照X方向进行点云分块;Δxy 为负值时,按照Y 方向进行点云分块。
2)确定分割距离。当地形起伏较大时,地面点滤波结果受分割距离影响大。根据经验将分割距离设置为50 m,在此基础上,可根据坡度大小进行适当调节。
1.2 改进的电力线点云滤波算法
目前常用点云滤波算法有基于曲面拟合、不规则三角网及形态学滤波算法[9-11],本文以在地形起伏较大区域仍有较好滤波效果的曲面拟合滤波算法为基础,提出一种改进曲面拟合滤波算法,实现步骤为:
1)对分块后点云进行1 级虚拟格网划分,将建筑物最大尺寸作为格网大小,确定地面种子点。
2)基于地面种子点构建2级虚拟格网。曲面拟合中规定:2 级格网地面种子点数量不少于6个,2级格网边长大于m,m表示为

式中,S为测区面积;M为地面种子点总数。
3)遍历所有格网并判断地面点数量,如果2级格网内地面点数量小于6 个,转入步骤4),否则转入步骤5)。
4)将下一2 级格网地面点与当前格网合并,直至地面点数量不小于6个。
5)根据地面点进行最小二乘曲面拟合。
6)计算待判定点的拟合高程值,计算真实高程、拟合高程的差值。
7)对比计算高程差值并设置阈值,若小于阈值,加入地面点集中。
采用改进曲面拟合滤波进行点云滤波,得到精确的地面点集,将地面点集从分段点云中滤除,得到包含电力线点的点云数据。
1.3 电力线点云提取与模型重建
1.3.1 电力线粗提取
利用非地面点云协方差特征值,区别线状电力线与面状塔身,保留电力线点、绝缘子点等[12]。非地面点中,不同要素空间分布不同,电力线与绝缘子为线状,塔身结构为面状,噪声为分散状。可利用R邻域点集协方差阵特征值λ1、λ2、λ3表征点云分布特征,当λ1 ≥λ2 ≅λ3 时,为边线点、电力线点等线状特征;当λ1 ≅λ2 ≥λ3 时,为建筑物表面、铁塔表面等面状特征;当λ1 ≅λ2 ≅λ3 时,为植被点等无序散点,根据特征值粗提取电力线点。
1.3.2 电力线精确提取
密度聚类算法是基于样本点的密度进行聚类。基于密度聚类算法实现点云聚类的途径为[13-14]:判断某目标点是核心点、边界点还是噪声点。算法中包含参数邻域半径r与密度阈值p,获取目标点邻域半径内点数,如大于p,为核心点;如小于p 且位于其他目标点邻域半径内,为边界点;如果不属于任一类,则为噪声点。传统密度聚类法虽能实现电力线点提取,但是在参数赋值上被动,导致分割效果较差,工作效率较低,因此存在一定缺陷[15]。
本文基于密度聚类算法,引入参数自适应赋值方案。首先,计算点集中各点空间三维距离集合Si [smin,…,smax],将所有目标点标记为u;其次,计算电力线方向相邻点水平距离si,如满足si ≤smax,标记为同簇类点集合,标记访问过的点为v;最后,采用密度聚类法分离绝缘子等噪声点,以smax 为r,以(smin + smax)/2 为p。该方案解决了参数r、p 赋值不确定性问题。自适应聚类算法的技术流程如图1所示。

图1 自适应聚类算法流程
1.3.3 三维重建电力线模型
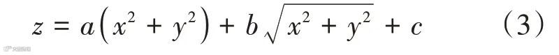
根据前文方式完成电力线点云提取后,采用最小二乘配置法则进行电力线拟合与重建,基本方程为[16]

式中,z为拟合点;a、b、c为拟合系数;(x、y、z)为电力线点坐标。根据拟合系数求解,可构建电力线三维模型。
2 工程实例及结果分析
2.1 实验数据
选取DJI-M600无人机搭载HS-600 LiDAR测量系统采集某测区点云数据进行电力线提取实验,采集点云平均点间距0.218 m,总包含点云318 836 个。原始点云强度渲染图如图2 所示。该电力走廊为500 kV,共有8根架空输电线,测区地形具有一定坡度,植被茂密,周围有建筑物、河流等。结合PCL 库、libLAS 库与Visual Studio 2017 C++开发环境实现本文算法。

图2 原始点云强度渲染图
2.2 实例计算
对点云数据进行滤波处理,设置1 级格网边长为10.5 m,得到2 级格网边长m=24.5 m,将拟合高程差阈值设定为0.5 m。滤波后地面点如图3(a)所示,非地面点如图3(b)所示[17-18]。

图3 点云滤波结果
对于点云滤波结果,采用目标点邻域协方差特征值进行判别,实现电力线点云粗提取,结果如图4 所示。提取结果包含了线状要素结果,如电力线点、绝缘子点及噪声点等,剔除了植被、建筑物、塔身等点。

图4 电力线点云粗提取结果
为验证自适应密度聚类算法的优越性,分别使用密度聚类算法与自适应密度聚类算法进行电力线提取,结果如图5 所示。在初始参数确定中,密度聚类算法共进行了5次探测,图5(a)为其中一次,可以看到,存在过分割情况;图5(b)为自适应密度聚类算法电力线点云提取结果,可以看到,经一次即可实现电力线点云的准确提取,取得了不错的电力线点云提取结果。

图5 电力线点云提取结果
在提取电力线点云的基础上,借助最小二乘配置法则实现电力线三维重建,结果如图6所示。

图6 电力线三维重建
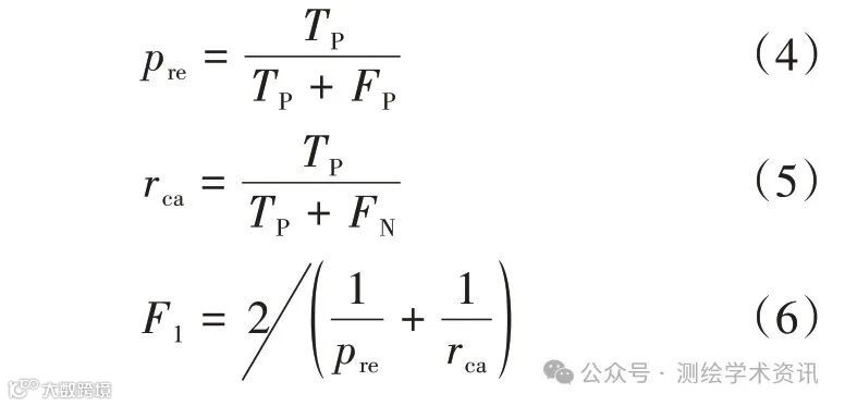
为定量分析本文方法的电力线点云提取效果,将精确率(pre)、召回率(rca)和F1作为电力线点云提取结果评价指标[19-21],具体表示为

式中,TP为正确提取的电力线点数;FN为未提取的电力线点数;FP为错误提取的非电力线点数。
统计密度聚类算法与自适应密度聚类算法电力线点云提取精度及提取时间,结果如表1所示。
表1 电力线点云提取结果统计

通过表1 可知,密度聚类算法的电力线点云提取精确率为91.47%、召回率为93.36%、F1值为92.41%,提取时间为254 s;自适应密度聚类算法的电力线点云提取精确率为97.82%、召回率为99.76%、F1值为98.78%,提取时间为33 s。相较于密度聚类算法,自适应密度聚类算法有更好的电力线点云提取精度及更短的提取时间,表明该方法能够更加准确高效地提取电力线。自适应密度聚类算法能够有效规避聚类算法中初始参数的多次试探赋值问题,在提升效率的基础上提升了电力线提取精度及自动化程度,综合性能更优。
3 结束语
电力线走廊智巡检已经到来,无人机LiDAR激光测量系统已经发挥出重要作用,基于机载LiDAR 点云数据的电力线提取与重建成为电力线走廊智巡检的有效手段之一。本文提出一种基于无人机LiDAR 点云的渐进式电力线提取与重建方法,基于Visual Studio 2017 C++开发环境实现本文算法。根据实测数据进行算法验证,得到的结论有:
1)在曲面拟合滤波算法的基础上,提出一种改进曲面滤波算法,提升滤波算法对地形起伏较大区域进行点云滤波的适用性。
2)利用目标点邻域协方差特征值进行不同要素点云分类,得到粗提取结果,并在此基础上进行电力线精确提取,尽可能减少无关点云对电力线点云精确提取造成的影响。
3)提出的自适应密度聚类算法能够高效完成电力线点云提取,解决密度聚类算法中初始参数的赋值问题。电力线点云提取结果的精确率为97.82%、召回率为99.76%、F1值为98.78%,提取时间为33 s,均优于密度聚类算法,在提升点云提取精度的同时提升了提取效率。
本文基于具有一定坡度地形的点云数据进行实验,尚未在地势起伏大的山区进行数据测试,后续将针对山区电力线提取开展相关研究,进一步完善算法,提升算法的实用性与普遍性。
引文格式:黄智伟,张俊峰,温周斌. 基于无人机载LiDAR 点云数据的电力线提取方法[J]. 北京测绘,2024,38(10):1454-1458.
[作者简介]黄智伟(1989—),男,福建三明人,大学本科,工程师,从事电力工程测绘工作。
E-mail:aliguy1993@sina.com
- END -
无人机航测从正射、三维建模到房屋、地形、立面采集技术流程(CC+EPS+CASS3D)
一种地基激光雷达提取单木树冠体积的方法
空域申请 | 无人机航测UOM系统合法飞行申请流程




