摘要:针对当前BIM与实景三维模型融合过程中空间位置配准精度较低的问题,该文提出了一种借助真实激光点云的BIM模型与实景三维模型融合的方法。研究选取大场景和小场景两种样例数据,首先基于BIM实体几何信息转换和三角化加密的方法生成了BIM模型建筑物点云,其次基于增量式SFM算法和立体像对密集匹配方法先后生成实景环境下的稀疏和稠密点云,最后基于ISS特征提取结合改进ICP算法的完成了不同模型下点云和真实激光点云的配准。结果显示,该方法能够有效地实现BIM模型与实景三维场景信息融合,对新型智慧城市建设、工程建设智慧化管理具有一定意义。

引言
随着新型智慧城市建设和国家基础设施建设的快速推进,对多源信息融合、跨领域信息共享提出更高要求[1]。新型智慧城市是通过将建筑信息、实景三维、物联网、大数据、云计算等多个领域的信息融合,提高现代化城市综合治理水平,实现管理的精细化、智慧化和标准化。建筑信息模型(building information modeling, BIM)和实景三维模型是智慧城市建设和施工过程管理中的重要数据源[2],其融合技术研究可为新型智慧城市建设和智慧施工管理等奠定坚实的数据基础。BIM数据是对建筑的物理和功能特性的数字化表达,广泛应用于基础建设工程管理中[3-5],但它作为一种建筑物微观信息模型,缺少对周围地理环境的表达,在可视化及空间相互作用分析中具有明显的局限性[6-7]。实景三维模型作为GIS数据模型,具有大场景、高精度、可量测、高逼真的特点,可提供目标对象大范围的周围真实环境数据,精确还原整体环境面貌,此处所指的实景三维模型为狭义上的实景三维模型,即倾斜摄影测量模型,如何实现二者的高精度融合是当前研究的热点问题[8]。
BIM与实景三维模型的融合方法的研究主要包括以下两个方面,一是如何保证二者融合后几何表达和语义信息的一致性,二是如何保持BIM与实景三维数据融合后的空间位置的高精度统一。在属性信息融合研究方面中,工业基础类(industry foundation classes, IFC)标准是目前BIM技术中被广泛认可接纳的数据交换格式,CityGML标准是ISO TC211与OGC发布的可扩展的城市空间数据交换与编码的国际标准[9],当前多数研究使用以上标准进行数据格式转换,如文献[10]提出了基于语义映射和三维几何运算的IFC与CityGML LOD3的转换算法,文献[11]将室内IFC数据和室外CityGML数据融合用于火灾逃生时路线的规划。在空间位置配准方面,多借助点云数据进行位置配准,如文献[7]基于奇异值分解(singular value decomposition, SVD)算法,选取BIM表面的墙角、窗户角、建筑物表面连接处等明显特征点进行配准。此类算法基本能够保证模型配准精度,但受三维建模精度限制,基于软件生成的三维模型点云在复杂建筑中会存在误差,在实际应用中往往难以保证整体配准精度。
结合前人研究,在属性信息统一方面,文章基于CityGML标准和IFC标准设计BIM和实景三维模型的属性信息融合框架,实现属性信息的统一。在空间位置配准方面,针对当前配准精度较低的问题,研究提出一种借助真实激光点云的BIM与实景三维模型配准方式。具体思路为借助具有真实地理位置信息的高精度激光点云数据,分别先后提取出建筑物的点云信息和实景三维点云信息,通过研究建筑物点云与高精度激光点云、实景三维点云与高精度激光点云的配准算法,实现BIM模型与实景三维模型的高精度配准。在建筑设计、城市规划、施工管理等多个领域中具有实际应用价值。如在可视化表达方面,二者融合后可以用于增强现实(augmented reality, AR)展示,帮助用户更好地理解设计方案。在现场监测方面,二者融合可对比实际进度与预期进度,及时发现施工过程问题与风险。结果对于智慧城市建设、复杂建筑物施工过程管理等领域研究有重要应用意义。
1 研究方法
研究首先通过预先对BIM模型以及实景三维模型处理分别生成BIM的建筑物点云和实景三维环境点云,接着将建筑物点云与真实激光雷达点云、实景三维环境点云与真实激光点云分别进行配准,最后基于以上两种点云数据配准,实现BIM模型与实景三维的高精度配准。技术路线如图1。
1.1 BIM模型提取建筑物点云方法
BIM模型通常采用体结构表示,不包含模型内所有顶点的坐标信息,为提取出BIM模型的点云信息,需要对其进行几何信息处理。主要包括两部分:实体几何信息转换、三角网加密。
1.1.1 实体几何信息转换
BIM模型中几何实体常用的描述方式有边界描述法、扫描体法、构造实体几何法等,不同构件的几何信息描述方式有所不同。其中边界描述法包含了物体在三维空间的位置,为获取顶点坐标信息,需要将扫描体法和构造实体几何法转换为含有几何体顶点信息的边界描述法,各自转换方法如下。
1)扫描体转换为边界描述
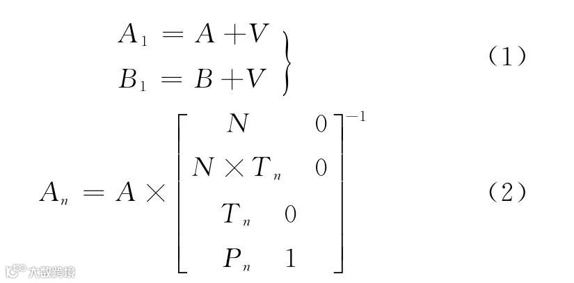
扫描体通过其包含的边界面的顶点和扫描线方向矢量的计算来实现向边界描述的转换[12]。具体实现过程如下:若扫描线矢量为直线时,如图2(a)令边界面相邻的顶点为A(Xa,Ya,Za)、B(Xb,Yb,Zb),扫描线矢量为V(Xv,Yv,Zv),扫描后得到A、B两点对应的点A1、B1,对应的坐标公式如下式(1)。进而可得到一个扫描体的侧面AA1、BB1。若扫描线为曲线时,如图2(b)可以将扫描曲线离散为扫描直线矢量集合CURVE={P1(X1,Y1,Z1),P2(X2,Y2,Z2),…,Pn(Xn,Yn,Zn)},令Tn为离散后的扫描矢量集在点Pn的扫描方向,则边界面上的顶点A对应在侧边扫描生成的点An的坐标计算公式如式(2)。
式中:N为扫描曲线所在面的法向量。通过计算离散各段扫描线生成的侧边点集合生成对扫描体侧边曲面的边界描述。
经过上述两种方法生成侧边面后还需要确定侧边面的法线方向。具体方法如下:先依据右手定则判断边界面上的边界环方向Dr,见式(3),再根据Dr与扫描线方向Ds的矢量叉积来判断侧边面的法线方向,若Dr×Ds>0,则按目前方式生成侧边面,若Dr×Ds<0,调整侧边面生成方向。
D r = A i A i+1 → × A i+1 A i+2 → (i≤n-2) (3)
2)构造实体几何转换为边界描述
BIM模型中的构件一般是使用简单的几何体通过相应组合方式组成复杂几何体,裁剪(clipping)是常用的构件组成方式,如墙上的窗、门、孔洞、不规则房沿等都靠此方式生成,以裁剪为例说明构造实体向边界描述转换的方法。
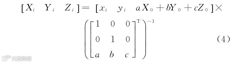
按裁剪面的类型可以分为两类:平面裁剪模型和体裁剪模型。各自转换过程如下:平面裁剪模型如图3(a)示是将原始的模型(P′1P′2P′3P′4-P1P2P3P4)分成两个子模型,保留指定方向的子模型,舍弃另一半。裁剪平面由其法向量N(a,b,c)和其上一点P0(X0,Y0,Z0)确定,裁剪过后模型包含三个边界环分别是Ring(P1P2P3P4P1)、初始边界环扫描得到的边界环Ring′(P′1P′2P′3P′4P′1)、平面裁剪生成的边界环Ring″(P″1P″2P″3P″4P″1)。新生成的边界环Ring″上的点P″1、P″2、P″3、P″4坐标依据如式(4)。体裁剪模型是通过对原始模型与裁剪几何体求差得到的裁剪后模型信息,无法直接转换成边界描述模型,需要通过提取原始模型和裁剪几何体的边界描述,再根据CSG树形结构进行相应的布尔运算得到最后体裁剪模型的边界描述,如图3(b)所示。
式中:(xi、yi)为原始边界环上Pi的坐标。得到Ring″之后,需确定裁剪过后保留的子模型。对扫描线方向Ds和裁剪平面法线方向N进行叉积,若Ds×N>0,则保留沿扫描线方向的子模型,否则裁剪该子模型。
1.1.2 三角网加密
经过上述实体几何信息转换,将BIM模型转换为了具有空间坐标的网格模型。为了提取足够多的建筑物点云数据,对已有的网格面进行三角化,生成三角网模型。选择基于Delaunay方法进行三角化,遵循“最小角最大”和空外接圆准则对网格模型进行三角划分。
1.2 影像生成实景三维环境点云方法
利用相机拍摄的一定数量、含有一定重叠度的实景影像数据,通过相应算法恢复出环境三维结构信息,并生成稀疏点云,为提高后续配准精度,在此基础上通过密集匹配生成稠密点云。
1.2.1 基于增量式SFM的场景稀疏点云生成
利用相机拍摄的一定数量、含有一定重叠度的实景影像数据,通过逐张加入的影像的方式进行三维场景的重建,得到相机的运动轨迹和场景稀疏点云。具体过程如下:
1)基于SIFT算法的特征点提取与匹配。
为提升特征点匹配的鲁棒性和稳定性,采用具有尺度和旋转不变性的SIFT(scale invariant feature transform, SIFT)算法进行特征点提取,得到基准影像和待配准影像的特征点,基于欧氏距离的最邻近匹配法进行粗匹配,见式(5)。该方法虽能去除大量的外点,但仍会存在少量误配点,为得到影像间精确的变换矩阵,采用RANSAC算法对误配点进行进一步剔除[13]。
d(D 1 ,D 2 )= ∑ i=1 n ( x i -y i ) 2 (5)
2)基于光束法平差的三维场景重建。
特征匹配完成后进行三维场景初始化,得到初始像对的位姿信息和初始的三维场景点云模型。使用PnP(perspective n point)方法不断添加新的影像,优化现有三维场景模型。为避免影像不断迭代过程中造成的误差累积,选用基于光束法平差对三维场景结构进行参数优化,该方法将相机位姿和重建生成的三维点云信息放在一个目标函数里进行同时优化,得到整体模型的最优解,可有效地减少迭代过程中的误差累计。
1.2.2 密集匹配生成稠密点云
鉴于重建生成得稀疏点云能表示得空间结构有限,为得到更好的配准效果,将通过增量式SFM得到的相机位姿作为输入,根据图像一致性原理,通过密集匹配生成空间结构信息更完整的稠密点云。
1.3 建筑点云与实景三维环境点云配准
经过上述处理后,BIM与实景三维模型的融合问题可转换建筑物点云与真实激光点云、实景三维环境点云与真实激光点云两组点云之间的配准问题。点云配准的实质是求解同一对象在不同坐标系下的变换关系,包括旋转变换R与平移变换T,采用基于ISS特征点结合改进ICP的点云配准算法对数据进行粗配准和精配准[14-21]。
1.4 BIM与实景三维数据融合
配准好BIM与实景三维模型之后,还需要将不同的模型坐标和属性信息融合,实现两种数据的一体性融合。
1.4.1 模型几何信息融合
BIM与实景三维模型在几何信息方面的差异是模型几何信息描述方式和坐标系的不同。几何信息描述方面的差异与融合方法在1.1.1节已做介绍。在坐标系差异上,BIM模型一般采用局部坐标系,实景三维影像采用世界坐标系。BIM模型数据存储中的IfcSite类会记录一个项目参考基点,通过对构件所在类的坐标不断向上一级类转换,可得到BIM构件在世界坐标系下的坐标[22],如图4所示。
1.4.2 模型属性信息融合
在建筑物属性表达方面,CityGML采用分细节层次的表示方法将信息分为LOD0-LOD4共5个级别,有选择性的表达建筑物信息;IFC标准定义了900多个建筑相关的实体类型细节信息,详尽地对建筑物细节进行描述。相比IFC标准,CityGML在建筑物属性信息存储中不需要中间要素,结构更加简单,因此将BIM模型的属性信息转换为CityGML存储格式实现二者属性信息融合。过程如图5所示:首先读取出一个IFC数据,使用几何转换模块将复杂的IFC实体几何转换为CityGML支持的Surface类型,定义其ID。接着获取祖类的ID,查找其对应的属性信息,将其对应的属性信息赋值到新定义的ID中。然后通过CityGMLGeometrySetter转换器设置好即将转入了CityGML LOD名称和要素角色。最后将设置好的符合GIS标准的BIM属性数据转换为CityGML存储格式,实现BIM与实景三维GIS属性信息的融合。
2 实验与结果
2.1 实验数据
选取小场景和大场景两个数据集,如图6所示进行BIM与实景三维模型的融合实验。小场景数据集为某工厂厂房数据,该厂房面积约为4 500 m2,数据包括工厂的设计BIM模型、厂区内使用相机拍摄的影像集、使用Faro激光扫描仪扫描得到的准确激光点云数据。大场景数据集为某大桥数据,面积约为30 545 m2,数据包括大桥施工设计的BIM模型、无人机航空拍摄大桥周边区域的影像数据集、以及车载和机载激光点云数据。采集到大桥及其周围环境的无人机倾斜影像数据后,使用ContextCapture软件对影像进行处理,生成该地区的倾斜实景三维模型,见图6(g)。
2.2 实验过程
首先基于1.4节和1.1节所述方法进行BIM模型处理。先后进行模型坐标统一,如图7所示网格模型生成,如图8所示建筑物点云提取,得到建筑物点云数据。处理工具使用基于Revit API开发的BIM模型处理插件。
其次基于1.2所述方法对实景三维影像进行处理。采用COLMAP算法先后生成稀疏环境点云和稠密环境点云,结果如图9所示。
最后,基于上述提取出的建筑物模型点云和稠密的环境点云,使用VS 2019开发平台和PCL点云库对BIM模型和实景三维进行精确配准。将配准好的BIM模型数据从IFC格式转换为GIS软件支持的OSGB格式,实现数据融合,并将融合后的数据分为不同的图层进行管理。
2.3 实验结果与分析
2.3.1 BIM与激光点云配准实验结果
通过建筑物模型点云与含有绝对坐标系的真实激光点云配准,实现BIM模型与激光点云叠加显示的效果。从图10中可以看出,激光点云数据与BIM模型大体重合,激光点云大部分都落在了BIM模型上面。
对配准后的模型数据进行定量分析,以配准后点云数据到BIM模型的欧式距离作为配准精度的衡量标准。计算生成的点到面距离的分布图如图11所示,厂房融合实验中点云到BIM模型的面的平均距离为0.183 m, 大桥融合实验中点云到BIM模型的面的平均距离为0.171 m, 大部分点到面的距离小于0.08 m。大桥融合实验结果略好于厂房实验,原因可能在于厂房内部建筑结构较为复杂,配准难度略大,大桥建筑相对规整平坦,配准精度较高。
通过以上效果图和定量指标可以得出,点云与模型整体配准效果良好,但部分区域存在偏差。究其原因,这主要是由于BIM模型为厂房和大桥的设计模型数据,主要包括厂房和大桥的主体结构信息,而激光扫描仪扫描的是施工场景下的厂房的数据信息,施工现场结构情况复杂,许多结构信息是设计BIM模型没有包含的。
2.3.2 影像与激光点云配准实验结果
通过影像生成的环境点云与含有绝对坐标系的激光点云配准,得到影像在世界坐标系下的位姿信息。将影像与激光点云叠加显示,效果如图12。
对影像与点云配准实验进行定量分析,以配准后的点云与影像之间的距离作为配准精度的评判标准,生成距离直方图如图13所示。厂房数据配准后的平均距离为0.068 m, 大桥数据配准后的平均距离为0.040 m。依据配准后效果图以及生成的精度评定图可以得知,影像与点云配准效果良好,叠加显示的影像信息与点云空间结构信息大体一致。
2.3.3 BIM模型与实景三维模型配准结果
将借助激光点云配准好的BIM模型与实景三维影像叠加显示,效果如图14所示。从不同视角下观察,厂房与大桥的BIM模型与其真实地理位置基本吻合,整体空间契合度较高。通过二者融合可以方便直观了解工程施工进度,消除了施工不同阶段之间的信息壁垒,有助于提升施工进度智能管理水平。
3 结束语
本文选用当前应用最广泛的BIM模型与基于无人机影像和倾斜摄影测量技术生成的实景三维模型进行数据融合研究。通过将建筑物点云与重构的实景三维点云数据分别与实测的激光点云数据进行配准,实现BIM模型与实景影像的高精度配准;将配准后的模型数据进行几何信息和模型信息融合,实现融合模型的可视化。使用大场景和小场景两种数据进行实验,结果表明,利用配准后的BIM模型与实景三维模型进行叠加展示,二者场景基本重合,配准效果可满足应用需求。
在厂房和大桥BIM与实景三维模型融合过程中,存在一定的匹配误差,原因可能在于以下3点:①BIM与实景三维模型的现势性差异是造成误差的第一个因素,此差异为客观存在;②点云中的噪声或冗余点等可能会影响匹配精度,后续研究会从提升待配准点云质量上对本文算法进行优化。此研究在建筑施工管理中可通过二者数据融合直观了解当前施工进度,消除施工不同阶段间的信息壁垒,对工程建设智能化管理具有重要意义。
作者:王超(1982—),男,陕西西安人,研究员,主要研究方向为人工智能与计算机视觉。E-mail:15389006518@163.com王娇颖;许开銮;刘楚墙;*王志强,E-mail:wangzhiqiang@whulabs.com
引用:王超;王娇颖;许开銮;刘楚墙;王志强.一种BIM模型与实景三维模型融合方法研究[J].测绘科学,2023,48(10):159-168.
关键词:建筑信息模型;实景三维;配准;数据融合;
- END -




