
[关键词] 无人机倾斜摄影;道路边坡;变形测量;测量准确度;最小二乘法
引言
随着社会的快速发展,新建和改建道路的规模和数量迅速增加,道路边坡的变形情况日益严重。在实用、经济、安全、美观的原则下,同时考虑道路功能和景观,特别是在有限的土地利用条件下,监测和测量道路边坡的变形情况,对于延长道路使用寿命和确保行车安全具有重要意义。然而,目前道路边坡变形测量方法存在准确性低的问题,因此,需要研究一种新的道路边坡变形测量方法。
文献[1]提出了基于激光基准和复杂目标运动模型的边坡变形测量方法。给出了激光基准与智能光电成像靶相结合的测量原理和变形数据的求解方法。考虑光电成像目标的多维复杂运动,推导了多维运动参数的求解模型。以倾角传感器测量目标多维倾角,结合基于图像处理的目标光斑中心高精度处理算法,实现了目标平面多维变形的高精度测量。但该方法的测量周期较长,且容易受限于监测点的数量与分布范围。段斌等[2]采用地基合成孔径雷达干涉测量技术(ground-based interferometric synthetic aperture radar,GB-InSAR)实现边坡变形测量,通过分析边坡的不同变形特点,采用克里金插值法构建边坡变形测量模型。但该方法易忽略道路边坡潜在的变形区域,导致测量精度不高。
鉴于以上分析,本文以无人机倾斜摄影技术为支持,对道路边坡变形测量展开分析,旨在为求解道路边坡位移提供参考。
1 道路边坡变形测量方法设计
1.1 基于无人机倾斜摄影的道路边坡数据提取
基于无人机倾斜摄影[3-4]的道路边坡信息提取技术流程如图1所示。

图1 基于无人机倾斜摄影的道路边坡信息提取技术流程
根据实际情况在航拍区域设置航拍目标点[5],为确保航空摄影角度不小于35°,将目标的相对航空高程设置为-15 m,则航线布置如图2所示。

图2 矩形航线布置示意图
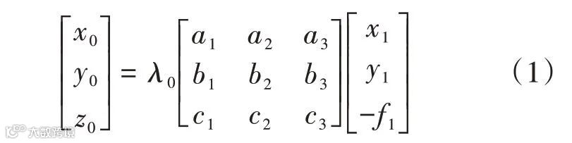
图中H1~H8 为航点,T1、T2 为航拍目标点。H1~H4航点的航拍方向为T1,H5~H8航点的航拍方向为T2。为了有效地利用航空摄影路径,提高相机区域的相邻部分的重叠度[6],本文采用无人机倾斜摄影对空间交会和共线分割进行测量,准确定位地面目标点,获得道路坡度的信息数据。由式(1)即可得到每张影像的外方位元素的物方坐标。

式中,(x0,y0,z0)表示无人机影像的外方位坐标;(x1,y1)表示像点的像平面坐标;λ0 表示坐标转换因子;(a1,b1,c1)、(a2,b2,c2)、(a3,b3,c3)分别表示影像的3 个外方位角元素组成的9 个方向余弦;f1表示相机焦距。
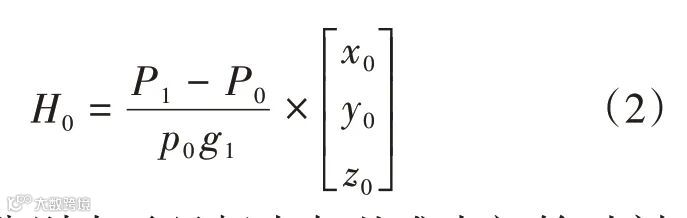
航摄目标点在初始时刻与基准点之间的相对高程为

式中,P1、P0 分别表示目标点与基准点初始时刻的压强;p0表示地面分辨率;g1表示无人机的飞行速度。
引入结构函数对影像的共线方程进行简化处理[7],当无人机倾斜摄影在监测点处的航飞方向出现变化时,引起的角度变化数据就会被无人机搭载的传感器采集到[8-9]。则有
![]()
式中,Δi 表示目标点的影像放大倍数;Li 表示目标点i的步距;θi表示目标点i的角度变化量。
由此可获取测区道路边坡的数据信息,公式为
![]()
式中,Z表示提取的道路边坡信息;K1表示航摄的高程误差;m0 表示间隔基线数;n0 表示基线的估算长度。
1.2 道路边坡监测数据异常识别
在对监测数据进行处理前,需要根据测区的实际概况建立道路边坡的二维模型,并对其进行网格划分,生成有限元模型。边坡模型材料及网格参数如表1所示。
表1 边坡模型材料及网格参数

边坡模型的边界条件包括雨水渗流边界条件和力学边界条件,主要用于约束和控制边坡模型的位移[10-11]。基于以上参数的设定,基于x 轴和y轴,构建道路边坡二维模型,如图3所示。

图3 道路边坡二维模型
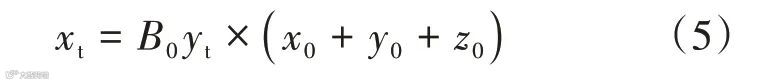
基于上述道路边坡二维模型,根据最小二乘法原理[12-13],将传感器接收到的数据进行标准化处理,可得到
![]()
式中,xt 表示观测权值;B0 表示观测系数;yt 表示拟合参数。
对比残余误差的绝对值与观测权值,即可对异常监测数据进行识别并剔除。如果某个时间序列的数据点的残余误差的绝对值相对于其观测权值来说过大,那么这个数据点就被认为是异常的,因为它对模型拟合的贡献与其本身的可靠性不匹配。联立公式(5),计算时间序列的数据序号,公式为
![]()
式中,σi表示监测数据的残余误差;qi表示时间序列的数据序号。
设置一个判断阈值ε,用于判断残余误差是否异常。利用上式求取qi 值,若qi >ε,则表明qi是应该剔除的异常监测值。通过上述步骤,即可实现对无人机倾斜摄影采集数据中异常监测数据的识别与剔除。
1.3 实现道路边坡变形测量
在此次方法设计中,为保证测量结果的有效性,对边坡监测范围进行设定[14-15]。假设边坡的测量范围为A × B,则边坡的最大分辨率Ua 计算公式为
![]()
式中,C表示相机分辨率。
当边坡存在景深问题时,设定其深度差为h1,则其空间的坐标误差β0计算公式为
![]()
式中,es表示拟合指数。
若基准站的坐标已知为(Xr,Yr,Zr),则边坡测距的差分方程计算公式为[16-18]
![]()
式中,β1表示边坡定位精度衰减因子;qr表示时间中误差;dr表示星历误差。
则可得到道路边坡测量的计算公式为
![]()
式中,u、ξ 分别表示边坡水平位移与纵向位移的测量值[19-20];mt、lt 分别表示时间序列监测序号对应的残差与随机值;j0表示经验常数。
采用此公式,即可得到监测点在多次监测图像中的水平与纵向位移数据,从而得到道路边坡的变形情况。
2 实验论证分析
为验证本文所设计的方法在道路边坡变形测量方面的可靠性和应用性能,以某实际道路边坡工程项目为研究案例进行实验。
2.1 工程概况
某城市正在建设一条次干路,该次干路为单线,红线25 m,车行道15 m,人行道6 m。在道路的西侧,有一个长约85 m 的边坡。道路红线位于单元当前坡面的顶部。目前植被坡面高约12 m,坡脚为护脚墙,高约0.5 m。下面是一条宽2.5 m 的平台步道,步道外侧是一个深5~6 m的陡峭河岸水湖。该路段的设计高程与湖堤的高度相差约8 m,边坡顶部的高度约为2 m。填土顶部4 m 处没有放坡空间。该道路边坡概况如图4 所示。

图4 道路边坡概况图
根据工程地质报告,测区第一层为杂填土,埋深2.0 m;第二层和第三层为素填土,土质相对均匀,深度约为10~13 m;第四层为黄土状粉土,深度6.0~7.5 m,未发现地下水,区域结构稳定性较好。拟建路基边坡基本位于素填土层,填筑年限较老。主干道工程经换填加固处理后,可作为路基和边坡的地基持力层。
2.2 实验准备
为保证道路边坡信息数据提取的准确性并兼顾作业效率,本次实验选择大疆经纬M300 无人机,搭载高清6镜头相机,采用免像控的无人机倾斜摄影技术。该技术参数如表2所示。
表2 无人机技术参数

结合无人机倾斜摄影采集设备的性能,设置无人机飞行的地面分辨率为2.0 m。调查区域设置为3 个飞行架次,分别包含6 条、4 条和8 条航线,每条航线的计划飞行高度为60 m,航向重叠和侧面重叠分别设置为75%和60%。边坡变形以局部为主,具有空间分布性,因此需要在边坡的不同位置选择监测点,且需根据边坡的复杂程度和变形情况,选择多个关键位置进行监测,避免集中在某一个区域。
2.3 实验说明
将配备sony ILCE-5100 倾斜相机的DJ M300 RTK 无人机导入Context Capture Center 建模软件,以获取施工现场的图像和机载定位定姿系统(position and orientation system,POS)观测结果。利用多视图联合空中三角测量方法计算倾斜图像的物体和图像的空间坐标,然后通过多视图图像的密集匹配生成高密度三维点云数据。基于点云,构建不同细节级别的不规则三角网(triangulated irregular network,TIN)。优化后得到初始三维模型,去除监测数据中的异常数据。然后利用空间三角测量处理后的倾斜图像和三维模型进行纹理自动映射,生成具有真实位置和纹理信息的勘察区道路边坡二维模型。
2.4 边坡变形测量时间分析
基于上述实验准备,应用文献[1]方法(方法1)、文献[2]方法(方法2)和本文方法对该道路边坡变形时间进行分析,选择五个监测点a、b、c、d和e,对其变形时间进行监测。监测点a位于边坡顶部,用于监测坡顶的变形情况;监测点b位于边坡中上部,用于监测边坡中上部的变形趋势;监测点c 位于边坡的中部,用于监测边坡中部变形的传递和累积情况;监测点d位于边坡的中下部,用于捕捉边坡中下部的变形情况,以及底部土壤对边坡稳定性的贡献;监测点e位于边坡的底部,是边坡的支撑点,用于了解边坡底部的变形情况,以及地面变化对边坡的影响。对比结果如图5所示。

图5 边坡变形测量时间
监测时间越短,表明测量的效率越高。基于图5的测试结果可知,方法1和方法2的监测时间分别在160 ms和180 ms左右,而本文方法的监测时间始终低于140 ms。三种方法均可以满足道路边坡测量的需求,但本文方法的监测时间更短,效率更高,具有更高的边坡变形测量效率。
2.5 边坡测量误差对比实验分析
基于边坡变形测量时间测试,得出本文方法监测效率高。为进一步验证本文方法的边坡变形测量准确性,引入测量相对误差作为三种方法的评价指标。分别利用三种测量方法对测区道路边坡变形进行测量,并统计不同方法的测量相对误差,对比结果如图6所示。

图6 基于不同方法的边坡变形测量误差结果
分析图6 可知,采用三种方法对测区道路边坡变形情况进行测量,本文方法的测量准确度要始终高于对照组方法,最低相对误差为0.06%,证明了本文方法在道路边坡变形测量当中的优越性。方法1通过监测土体位移变形来反映边坡的变形情况,但在处理边坡点云数据过程中,易忽略土体力学参数的变化;方法2 的测量准确性较优于方法1,但由于缺少对边坡稳定安全系数的计算,导致边坡变形测量结果误差较大。实验数据表明,本文所提方法对于道路边坡变形测量具有较高的准确性。
3 结束语
本文以无人机倾斜摄影技术为基础,提出了一种道路边坡变形测量方法。采用无人机倾斜摄影技术获取测区的边坡数据,对其中的异常监测数据进行识别与剔除,并结合边坡测距方程实现边坡变形测量。实验结果表明,本文方法具有较高的边坡变形测量效率,证明了本文方法的有效性,可为解决实际工程问题提供一种新的思路。
引文格式: 梁玉球. 基于无人机倾斜摄影技术的道路边坡变形测量[J]. 北京测绘,2024,38(12):1739-1744.
[作者简介]梁玉球(1980—),男,广东清远人,大学本科,工程师,从事工程测量及国土测绘工作。
E-mail: siwxb695371@163.com
- END -




