点击上方“公租安居人才房”,选择“关注”
实时获取深圳公租房、安居房、人才房消息!
...选择“设为星标”,关键时刻,不会错过!



特别说明:本文由【公租安居人才房】编辑整理发布,转载请注明!
—————————————————————
来源:深圳市住建局等政府网站和媒体
(如属原创侵权,请联系编辑删除相关内容)
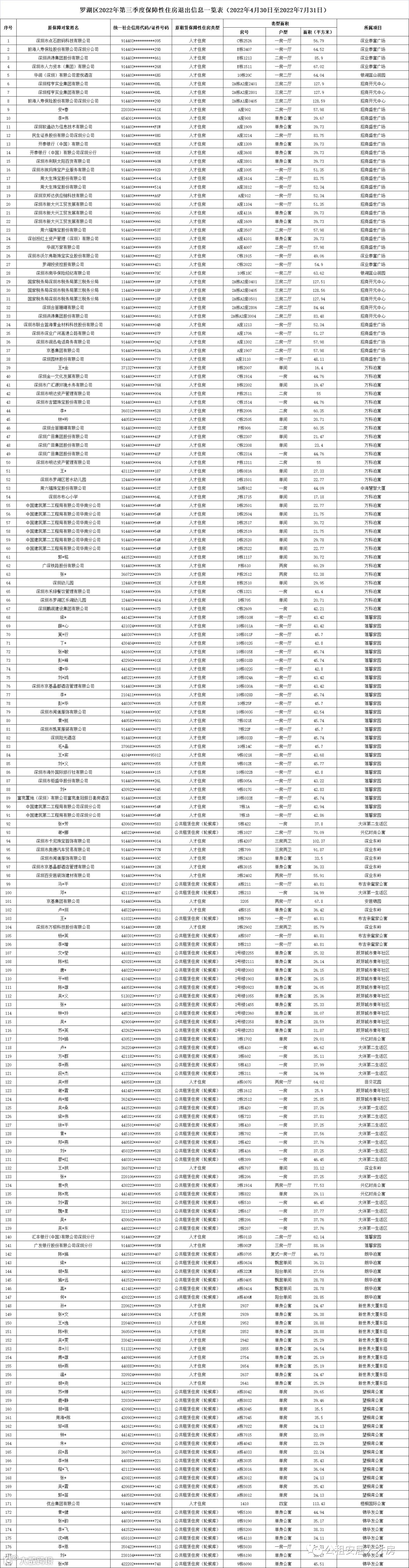
2022年待售安居房
龙华:龙誉花园
龙岗:宝翠雅苑 / 中海寰宇珑宸花园 / 雍山郡花园 / 美盛岭尚苑 / 星河盛境都荟大厦
福田:航运红树湾府
坪山:深业山水东城花园
大鹏:帆湾海寓

加群互动都是公益免费的。如果你想加入深圳公租房、安居房、可售型人才房群,请关注公众号“公租安居人才房(ID:fengyun_zhidao)”回复关键词加群,或者长按扫码添加微信“租住小帮手(fengyun2zhidao)”备注具体群。商务推广也可联系此号。

每天发布深圳三大公共住房动态:3折公租房、5折安居房、6折人才房
点击下方名片,关注公租安居人才房

