点击上方“公租安居人才房”,选择“关注”
实时获取深圳公租房、安居房、人才房消息!
...选择“设为星标”,关键时刻,不会错过!
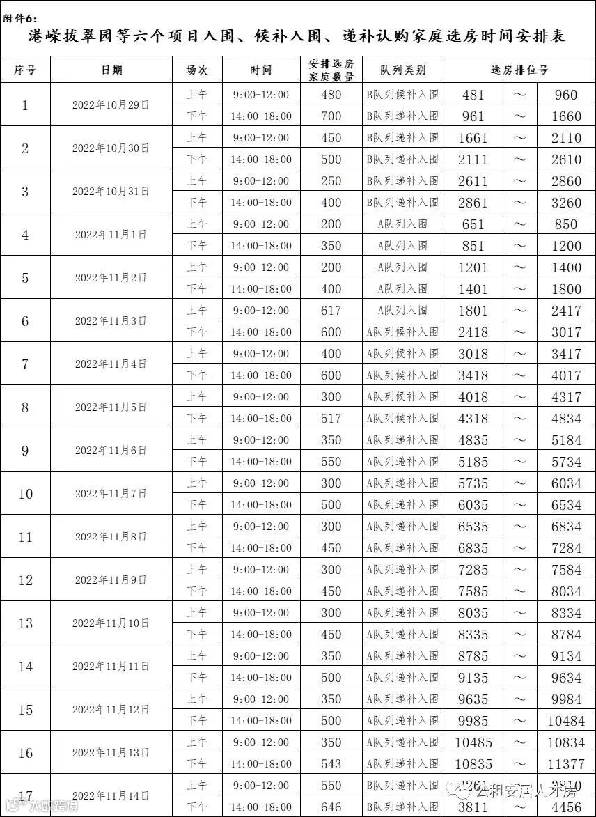
锋哥选房播报:11月9日两房487户(计划选房750户减去无房可选263户)已选131套,选房率26.90%。下次轮到市排名154149以后选剩余790套:天和北苑158套、港嵘拔翠园632套。
另三房剩余西湖梧桐居1套。














选房地址:
A队列(二房)选房地址:深圳市盐田区海山街道海景二路1018号精茂城四层。
B队列(三房)选房地址:深圳市盐田区海山街道海景二路1018号精茂城首层。

关于恢复港嵘拔翠园 天和北苑 中海闻华里 西湖梧桐居 中海学仕里 润峯云上府项目安居型商品房选房工作的通知
关于港嵘拔翠园、天和北苑、中海闻华里、西湖梧桐居、中海学仕里、润峯云上府安居型商品房申购有关事项的通告
特别说明:本文由【公众号•公租安居人才房】编辑整理发布,转载请注明!
—————————————————————
来源:深圳市住建局等政府网站和媒体
(如属原创侵权,请联系编辑删除相关内容)

2022-2023年待售安居房
龙岗:宝翠雅苑 / 雍山郡花园 / 美盛岭尚苑 / 顺明园 / 悦时光花园 / 特发香阅四季园
坪山:深业山水东城 / 安居梓和苑 / 保利明玥澜岸
龙华:龙誉花园
光明:金地明峰府
大鹏:帆湾海寓


加群互动都是公益免费的。如果你想加入深圳公租房、安居房、可售型人才房群,请关注公众号“公租安居人才房(ID:fengyun_zhidao)”回复关键词加群,或者长按扫码添加微信“租住小帮手”备注具体群。商务推广也可联系此号。

每天发布深圳三大公共住房动态:3折公租房、5折安居房、6折人才房
点击下方名片,关注公租安居人才房

