引言
弱视是儿童单眼视力障碍的最常见原因,影响全世界1-5%的人口。有几种已知的弱视因素,如斜视、屈光参差、高度屈光不正和先天性白内障或先天性上睑下垂。单侧弱视的常规治疗依赖于剥夺对侧眼,以迫使使用弱视眼,包括遮盖和阿托品惩罚。然而,15-50%的弱视儿童在长期治疗后无法达到正常的视力。即使达到正常视力,仍有四分之一的儿童会复发弱视。
目前,弱视的治疗主要集中在弱视和双眼视觉之间的关系上,基于双眼功能障碍在弱视中起重要作用的假设。对于7岁及以上的弱视儿童,他们对常规治疗的反应不如更小的儿童,双眼方法可能会产生更好的结果。
双眼弱视治疗包括任何使用双眼的治疗,包括分视治疗、交互式双眼治疗(I-BIT)、双眼对比平衡、双眼iPad游戏和视觉训练。本研究评估了视觉训练对弱视治疗的疗效,并将这种双眼疗法与的传统疗法进行了比较。以下为大家介绍本文的主要内容:
研究过程
研究对象
这项研究从2016年4月到2019年11月,招募弱视儿童。纳入标准为:年龄7至10岁;诊断为单眼弱视,视力在0.2logMAR至1.0logMAR之间,且眼间视力差至少0.3logMAR(≧3行);在纳入研究前戴镜,短时遮盖≧3个月,以确保视力的改善将归因于视觉训练而不是传统治疗;视力稳定3个月;随访≧6个月。排除标准为:斜视或其他并存的眼部疾病、既往眼科手术、既往视觉训练≧8周、早产和发育迟缓。
病例组除戴镜、每天4~6h短时遮盖外,还在训练室内进行视觉训练,每周1次,每次1小时,持续至少3个月。对照组除戴镜,每天只做4~6h的短时遮盖。两组均建议在家中进行额外的弱视训练,如迷宫和连线等,每天30分钟。分别于治疗前、治疗3个月、6个月、9个月和治疗结束后3个月测量远视力和睫状肌麻痹屈光度。
研究方法
1
视觉训练设备
视觉训练包括正视性视觉训练和行为/知觉性视觉训练。正视训练是由反抑制图、红绿条读数器、可变转印图、单双光圈规则、Keystone偏心圆、救生卡、Corian检查仪、Wolff支架检查仪、vectogram、镜面立体镜、单斜立体镜、Keystone正视镜、适应性翻转器、Brock串和Hart图组成。这些工具可以增强辐辏活动、调节活动、抗压训练和同步视力。与红绿色护目镜相结合,Tranaglyphs可以为双眼视觉训练提供二分法演示。此外,光圈法则、圆筒镜和立体镜也是如此,为认识双眼视觉和改善双眼能力而设计。用经纬仪、光圈法则、切向镜和立体镜来确认双眼的改善。这些具有反馈设计的设备通过用不同水平的目标来挑战病人,使他们达到一个稍高的水平。斜视镜的目的有所不同,这些设备用于提高双眼稳定性和减少抑制。医生会要求病人看着Cheiroscope,追踪目标,并同时用铅笔画出目标。如果观察到病人在试图描画时移动他们的手,或画图的实际漂移,则说明存在双眼视。如果病人报告图片的部分内容消失,则可注意到抑制现象。行为训练是由手动旋转器、马斯登球、韦恩囊状固定器、空间固定器和Eyeport视觉训练系统组成。这些工具可以提供知觉训练、周边视觉意识和眼手协调练习。
2
治疗方案
将一小时的程序分为三个部分。在第一刻钟,孩子们用专注于抗抑制的设备进行训练,如抗抑制图和哈特图。在接下来的半小时里,根据双眼视力进行训练。在第一个月里,使用了更容易和更容易接受的训练工具,如Keystone矫正视力仪、Corian检查仪、Wolff支架检查仪、vectogram和镜式立体视力仪。后来,根据孩子们的表现,为他们制定了可变转视镜和光圈规则,用其来实现融合的目标比较困难。在最后一刻钟,进行行为训练,因为儿童在训练45分钟后可能会感到疲惫,这些工具对儿童来说更有趣好玩。
3
数据分析
用t检验来比较连续变量的平均值,用卡方检验来比较两组之间分类变量的频率。两组之间连续变量的差异用双样本独立t检验来评估,分类变量的差异用卡方检验来评估。用配对t检验来比较各组基线和随访期间VA的差异。P值<0.05表示有统计学意义的差异,用SPSS 24.0进行统计分析。
研究结果
病例组包括19名儿童,对照组包括17名儿童(10名女孩和7名男孩),年龄7至10岁。受试者的基线特征列于表1。
表1 人口统计学和基线特征
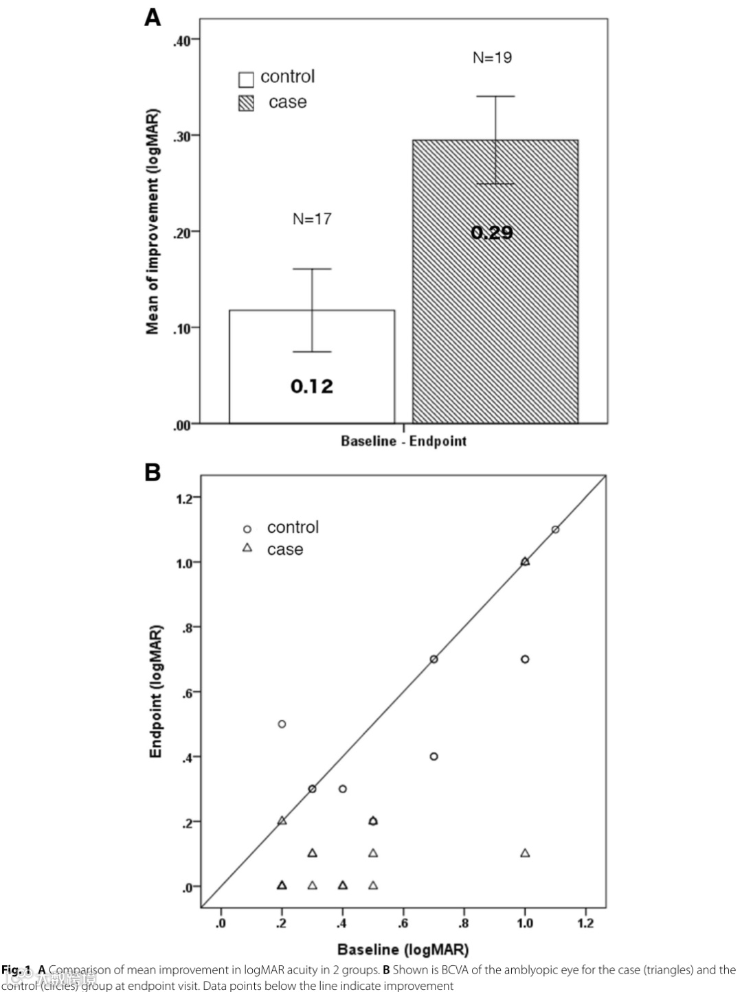
所有基线特征方面,病例组和对照组之间没有显著差异。在终点访问时,病例组的VA改善明显大于对照组,平均为0.29±0.20 logMAR(3行改善),而对照组为0.12±0.18 logMAR(1行改善)。病例组的平均治疗时间为3.63个月(3-9个月),对照组为4.41个月(3-9个月)。在治疗的前3个月,病例组的平均VA改善为0.32 ± 0.20 logMAR,而对照组为0.07 ± 0.18 logMAR。在6个月的访问中,病例组的VA平均改善为0.23 ± 0.21 log MAR,而对照组为0.12 ± 0.15 logMAR。在第9个月,病例组的VA改善为0.40 log MAR,而对照组为0.30 logMAR。病例组有1名受试者(5.26%)没有显示出改善,而对照组有8名受试者(47.06%)。表2和图1A和B说明了两组受试者从基线到终点的视力改善情况。
表2 两组中BCVA从基线到随访的改善情况
图1 A 比较两组的logMAR视力的平均改善。
B 显示的是病例组(三角形)和对照组(圆形)在终点访问时弱视眼的BCVA,线下的数据点表示改善。
表3显示了两组分别在基线和随访期间VA的差异。在前3个月,病例组的logMAR视力有明显的平均增益(p<0.001),而对照组的logMAR视力没有明显变化(p=0.147)。
表3 随访与基线之间的对数视力差异
在6个月的访问中,病例组和对照组的logMAR视力都没有明显变化(p = 0.192和p = 0.110,配对t检验)。在终点访问时,两组都显示出logMAR视力的明显改善(病例组的p < 0.001,对照组的p = 0.015)。在病例组中,重度弱视的平均视力提高为0.45±0.64 logMAR(n = 2),而中度弱视为0.35±0.09 logMAR(n = 10),轻度弱视为0.17 ± 0.76 logMAR(n = 7)。在对照组中,重度弱视的平均视力增益为0.18±0.16 logMAR(n=5),而中度弱视为0.13±0.14 logMAR(n=12),轻度弱视为0 logMAR(n=1)。
在立体视方面,由于回顾性研究的性质,完整的数据仅限于病例组的5名受试者。平均立体视力为200弧秒。有一名受试者没有改善。总的来说,立体视力的平均改善为100弧秒(图2)。
图2完成测量的儿童的立体视
在治疗期间,病例组没有出现任何不良事件。停止治疗3个月后,视力没有下降或进一步改善。
结论
对于7-10岁的单侧弱视儿童来说,视觉训练结合光学矫正和遮盖是比单独的光学矫正和遮盖更有效的治疗。在双眼视觉和知觉学习的机制下,该疗法不仅能获得更大的视力增益,而且能缩短治疗时间。对于近视度数大于-10.0D的患者,视觉训练与常规治疗相结合的作用较小。
参考文献
Hsieh Y C,Liao W L, Tsai Y Y, et al. Efficacy of vision therapy for unilateral refractive amblyopia in children aged 7-10 years[J]. BMC ophthalmology, 22(1):44.

