浙江高考数学落下帷幕,试卷计算量很大,难度基本与去年持平,但几道压轴题依然十分具有浙江特色。

浙江数学边哭边写是怎么回事?
高考数学则是刷爆了网络,很多人直呼浙江数学边哭边写。那么浙江数学边哭边写是怎么一回事呢,我们一起来看看吧。
高考数学卷有好几张,而浙江省是自主命题的试卷,下面让我们看看浙江省不同地区考生们的说法
考生一:
我感觉今年浙江卷的数学好难啊,我也做过去年2021年浙江高考数学的试卷,考了110多分,今年感觉及格都是困难的。选择题的话,前几道还是中规中矩的,后面5道题,一道比一道难,都是做着排除着答案,最后再蒙一下。填空题也比较难。然后数学大题,第2道挺难的,第4,5,6道也都是做了第一问,第二问做的一般般吧。
整体上,今年浙江数学试卷好难啊,我估计比那些全国卷的数学都要难。
考生二:
咳,几年的高考数学卷真的难,我们班好多学生考完之后都说挺难的。高考的题目就是不一样,比我们平时模拟的难的多。平时很轻松120+,高考的话感觉要降个20分左右。选择题的后面,和填空题的最后2个,以及后面的几个大题,都挺抽象,刁钻的。本来想考个好点的大学,现在的话估计一本无望了。数学这个科目,确实有点让人头疼。不过考试已经过去了,就不多想了,还是准备好明天的考试吧,希望明天的考试做着顺手些吧。
考生三:
考完都有点想复读了,我觉得今年的题目,是比平时难不少。但是感觉这张数学试卷的难度也可以接受,就是看着还行,但是做起来还是挺难的,感觉不是那么的顺手。我同桌考完数学,都哭了,真的是有点难了,她平时数学成绩是很棒的,也是她的优势科目,但是他觉得今年的数学考试,他考的不好。实际上,我和她同感,我也考的不是很好,觉得题目有些难,虽然还可以接受吧。我感觉今年的数学科目,应该很多人都会觉得难的。还有,我们老师都说了,今年的高考科目确实相对难一些。
综上所述几位同学都觉得浙江省2022年高考数学卷挺难的,不过,难的话大家都难,很有可能大家的分数都会偏低,而且对成绩中等及偏下的考生,也许还会有好处,但是最后不管数学考的咋样,各位考生都应该积极的应对接下来的考试,把自己的情绪调到最好。
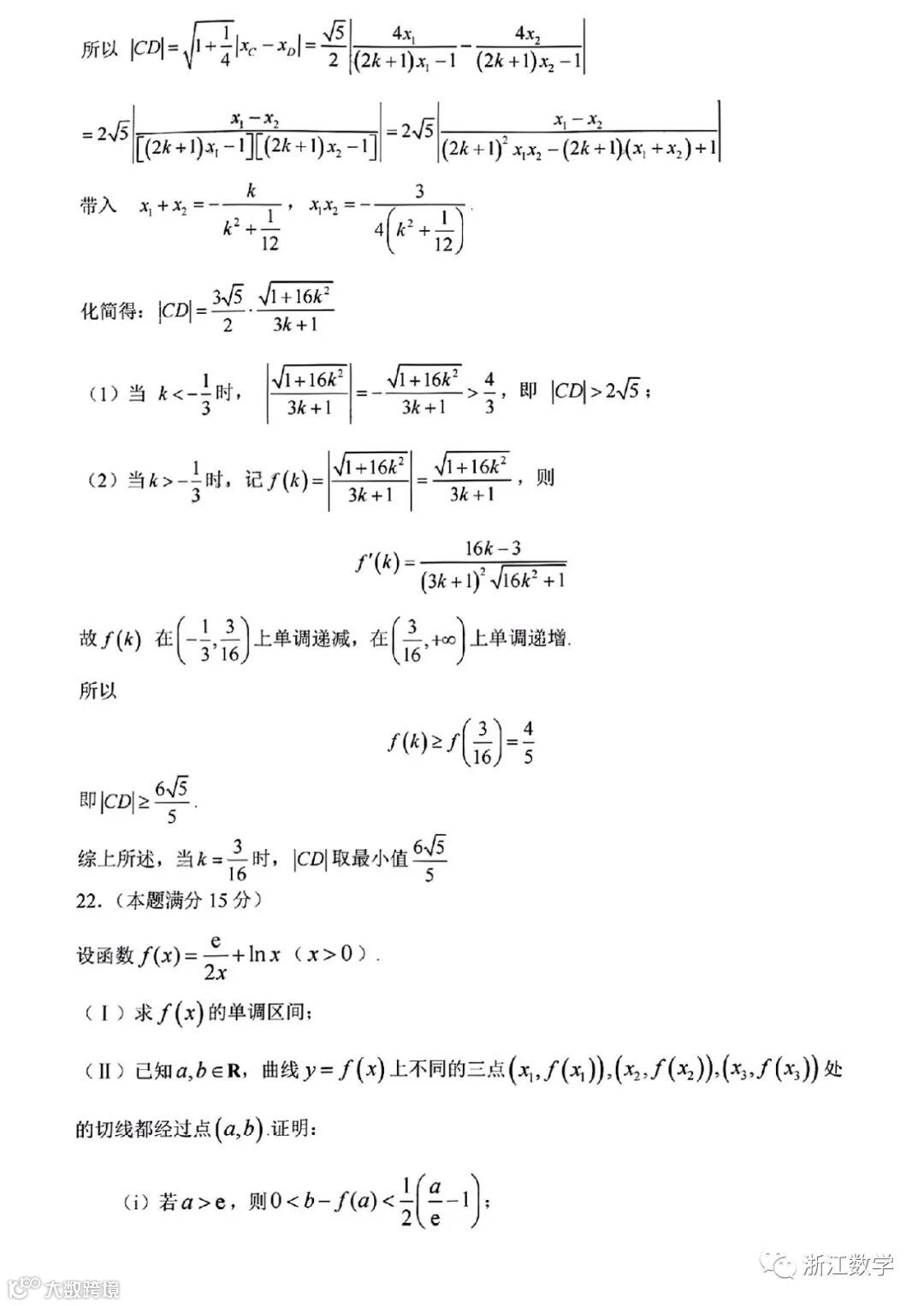
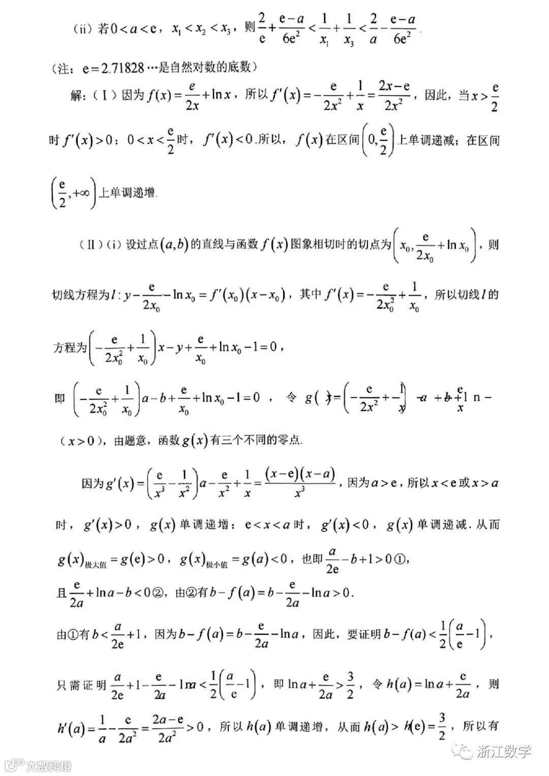
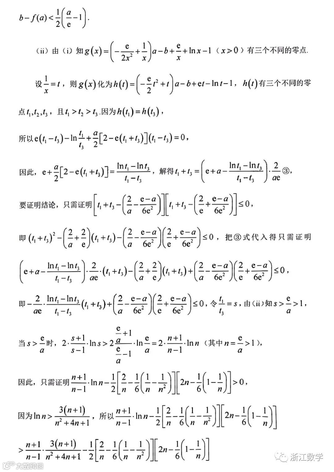
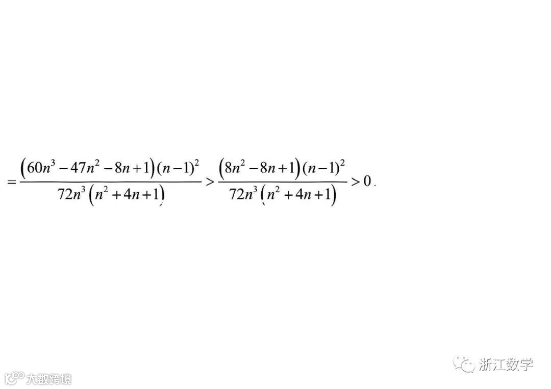
2022年浙江高考数学真题和答案(非官方,具体以官方公布为准)














最后,我们预祝各位考生都能取得理想的成绩,顺利被心仪的院校和专业录取!
高考结束,这漫长的暑假也要好好爱护自己的眼睛哦。




