
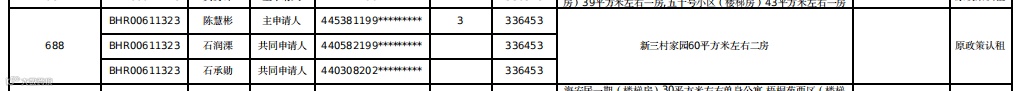
据【土川科技】锋哥获悉,盐田新三村家园、海安居一期、海安居二期、梧桐苑西区、五十号小区共5个项目403套公租房,不限财产收入,2025年1月23日选房结束。选房排位688号,市排名33万6453(原政策6折)选中最后一套,选房率60%.
房源信息详见锋哥之前推文 面向新老政!403套公租房明天认租
交通配套:地铁方面,这里距离地铁2/8号线盐田路站仅300 - 430米,步行5分钟内就能轻松到达,日常通勤非常方便。公交出行也很不错,周边设有盐田东公交总站,有B676路、M125路、M227路、M348路等多条公交线路经过,能覆盖盐田及周边区域。要是选择自驾,小区靠近东海四街、洪安一街等主干道,1公里内就能上惠深沿海高速,出行效率挺高。
商业配套:社区周边分布着不少小型商铺,像日常买个菜、买些生活小用品之类的基本需求都能轻松搞定。不过要是想去大型购物中心尽情购物娱乐,就得借助交通出行了,这里距离壹海城约4.2公里,坐地铁3站就能到;距离大梅沙8号仓约5.3公里,出行相对没那么便利。
教育配套:小区楼下就设有幼儿园,低龄儿童上学极为方便,家长接送省心省力。中小学教育资源更是丰富且密集,湖南师范大学附属深圳盐田山海学校是九年一贯制公办学校,距离小区仅约259米;庚子革命首义中山纪念学校是公办小学,约431米就能走到;盐田实验学校作为公办初中,距离约1.1公里;深圳外国语学校是公办中学,离小区约1.3公里。高中方面,盐港中学是公办学校,距离小区约899米,整体教育资源能充分满足孩子不同阶段的学习需求。
项目缺点:商业配套短板明显:新三村家园周边大型购物中心匮乏,居民日常购物若想满足多样化需求,往往只能借助地铁出行或者自驾前往壹海城、大梅沙8号仓等商圈,这在一定程度上给生活带来了不便,降低了生活的便利性。户型选择较为局限:公租房项目在户型设置上不够丰富,仅提供二房户型,缺乏一房或三房的选择。这使得单身人士居住时空间略显浪费,而三代同堂的家庭居住又会感觉空间局促,无法很好地满足不同家庭的居住需求。
♪
官方通告原文
一、房源公示
https://zjj.sz.gov.cn/zfxx/ggfw/house.html?code=YTPZ20257728&batchSignCode=dN1aKxEuh2jDpAP5
二、选房结果公示
https://zjj.sz.gov.cn/zfxx/ggfw/publicity.html?code=YTPZ20257728&batchSignCode=dN1aKxEuh2jDpAP5
特别说明:本文由【公众号•圳安居】编辑整理发布,转载请注明!
—————————————————————
来源:深圳市住建局等政府网站和主流媒体
(如属原创侵权,请联系编辑删除相关内容)
● 深圳保租房如何申请?
● 深圳6折保租房申请条件
● 深圳市保障性租赁住房管理办法
● 深圳市人才安居办法(2020年3月7日深圳市人民政府令第326号修正)
保租房系统申请入口: 深圳住建局住房保障页面 https://zjj.sz.gov.cn/ztfw/zfbz/的 “保障型租赁住房认租申请”
● 2024年版公租房申请条件、申请流程、租金、配租面积等
● 深圳公租房轮候申请指南
● 深圳公租房轮候申请指南(续1)
公租房系统申请入口: 深圳住建局住房保障页面 https://zjj.sz.gov.cn/ztfw/zfbz/ 的 公共租赁住房下的“公共租赁住房认租申请”

【圳安居】深圳租房买房,找锋哥更实惠!
点击下方名片,关注

