
北海阿叔:bhk1008
拒绝酒驾
拒绝酒驾
拒绝酒驾
好不好?

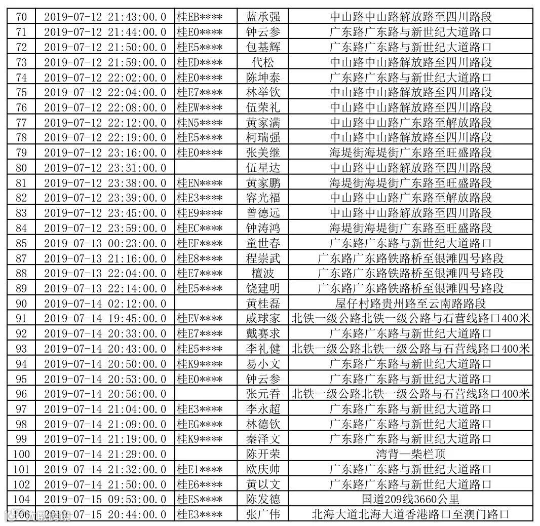
近日,北海交警曝光了7月份的酒驾名单!
准备好小板凳看看
有没有你或者你认识的人?






听到了没?
不要再酒驾了!
开车不喝酒,喝酒不开车,
珍爱生命,远离酒驾!
- END -
▲点击上面小程序进行抢购
➤内容来源:北海交警微发布|版权归原作者所有
➤图文编辑:北海阿叔|豆腐 |转载请注明
➤北海阿叔个人微信:bhv2016商务合作微信:maotyuno
商家招聘广告如需刊登 联系阿叔
|急聘|——雅迪电动车
招聘职位:
收银 4名,月薪:2300-4000元;要求:责任心强,懂电脑基本操作,年龄18-28岁,女,有团队意识
销售代表/销售业务 8名;月薪:4000-8000元;要求:上进心强,热爱销售,年龄18-28岁,男女不限,有团队意识
仓管 3名;月薪:3500-4000元;要求:责任心强,懂电脑基本操作,有团队意识
维修技师,学徒;月薪:2000-6000元
应聘热线:13878964962




