
2021年北海市月饼监督抽检信息公告(第三期)
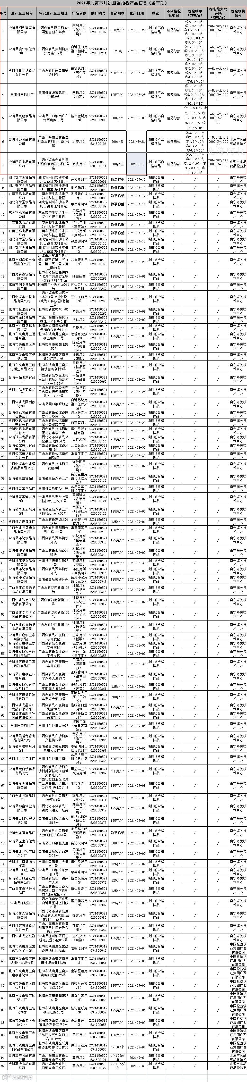
为做好2021年我市中秋月饼生产企业食品安全监管工作,保障广大人民群众节日食品消费安全,我局近期组织开展对全市月饼生产经营企业进行食品安全监督抽检,共抽检完成241批次,已公示抽检结果149批次,本期继续公示92批次(其中7批次抽检不合格)。
市场监管部门已对不合格月饼采取封存、下架、召回等措施,控制风险,分析原因并督促企业整改,下一步将对其违法行为依法依规严格查处。

- END -
➤内容来源:北海市场监管 | 版权归原作者所有
➤图文编辑:北海阿叔-豆腐|转载请注明
➤北海阿叔 商业推广联系:bhv108(请备注店名)
--★--
· 爆款推荐 ·
&
&






