东奥财会狂欢节,抽奖至高赢1万现金券!点击本公众号菜单栏中的【财会狂欢节】立即参与!
近日,中注协发布了《关于做好2025年全国注册会计师行业人才教育培训工作的通知》,其中明确了2025年对执业会员、非执业会员、事务所助理、高端人才等的培训事宜!
除此之外,奥奥通过查看通知,通知中公布注册会计师目前的执业会员与非执业会员人数!赶紧跟着奥奥来看!
中注协最新数据发布
2025注册会计师持证人数曝光!
3月25日(昨日),中注协发布《关于做好2025年全国注册会计师行业人才教育培训工作的通知》!
图片来源:中注协
对于2025年执业会员、非执业会员、事务所助理、高端人才等的培训提出要求!
长按识别下方二维码
回复关键词:人才
查看行业教育培训通知官方原文
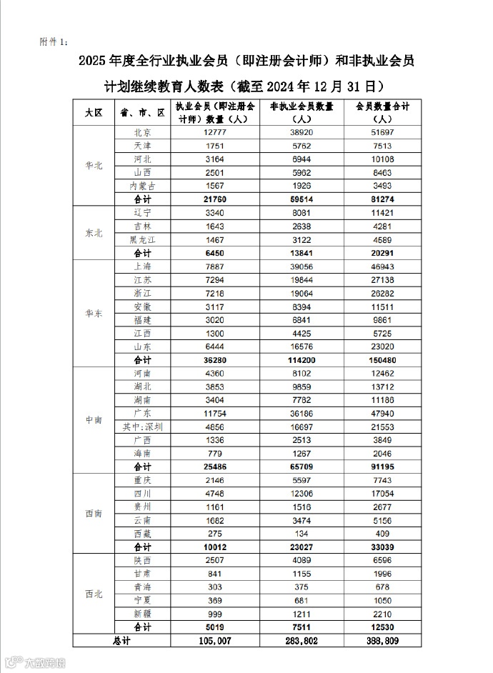
奥奥发现在附件1中,中注协公布了全国各地区的注册会计师执业会员和非执业会员人数。
截至2024年12月31日,执业会员人数105,007人,非执业会员人数283,802人,会员总人数388,809人。
奥奥整理了近几年来注册会计师会员人数,如下表:
从表中发现,2024年整体增加了25005人,其中非执业增长就占到了22015人;而执业注册会计师在过去一年,仅仅增加了2990人。
在《会计改革与发展“十四五”规划纲要》中,财政部提出了对于注会行业从业人数的预期,以及对行业整体收入目标的期望。
预计在2025年,注册会计师行业从业人数要达到40万人!按照近几年平均每年增加3万人的速度,这个目标很有可能在今年年底实现!
注册会计师市场正在全速的发展中,越早取得证书对个人的发展就越有利!
2025年注册会计师即将报名了,你准备好了吗?
25年CPA即将报名
你准备好了吗?
注会报名将在4月8日开始,想要报名的考生一定要抓住今年的机会,因为只有拿下CPA证书,才能应对以后的变化。
❀怕忘记报名,别慌!东奥注会报名预约提醒功能已经上线,火速预约!
⚡注会报名预约提醒⚡
识别下方二维码立即预约报名提醒
25年注会报名入口开通后
微信第一时间通知你
▼▼▼
伙伴们准备好迎战了吗?注会考试重要时间节点要熟记于心哦,各地报名简章已经陆续公布,点击此处查看>>>
加入2025注会备考交流群
及时获取考试资讯及考试信息
⬇️与考友一起努力,一起通关拿证⬇️
25年CPA《轻一》已现货
内容新、记忆准、理解更透彻!
2025考季,3位高人气名师全新加入,共7位东奥名师合力编著《轻1》。
经过东奥名师呕心沥血的编著,教务团队不眠不休的校对审核,注会《轻1》马上与你见面啦!😚
2025注会教材变化幅度空前大!《会计》科目变动幅度高达40%,《经济法》、《税法》、《战略》三科修订比例均超20%,因此,2025考注会一定要用新版《轻1》。
新版《轻1》内容新、记忆准、理解更透彻!让我们一块先来了解一下《轻1》吧~
💥内容新
《轻1》依据新教材全新梳理,考什么?怎么考?一目了然!
✅新趋势
🎯 结合新教材变化及近3年真题,明确出题走向!
✅新脉络
📍逐章绘制导图,拆解考点,理清知识架构!
✅新变化
💯详解新教材中新增、变化考点,辅以新编好题全面应对新与变!
💥记忆准
《轻1》三重提炼记忆,应试法门,万变不离其宗,记住才是硬道理!
✅口诀准
🎯多重要点,合并串联超精准!
✅对比准
📍列示图表,巧妙对照超清晰!
✅妙招准
💯活学活用,举例牢记超生动!
💥理解透
《轻1》四维环绕式讲透考点! 由浅入深、循序渐进,小白亦不惧!
✅讲原理
💡拆讲考点底层逻辑知其然,更知其所以然。
✅知辨析
📍易混点、区别点,借助图表,对照呈现。
✅建链接
🎯 串联考点,搭建知识网络融会贯通。
✅巧点拨
📌 从命题规律出发,总结“考法”,提示答题技巧。
注会《轻1》正式现货
单科购买享5折
3科联购5折之上再减30
正值注会报名季,每满200减30!
再享6大配套图书服务
点击卡片立即购买↓
|本文由东奥会计在线(ID:dongaocom)整理发布。
若须引用或转载,请务必与我们联系并在文首注明以上信息。未经授权擅自转载者将被依法追究法律责任。

