
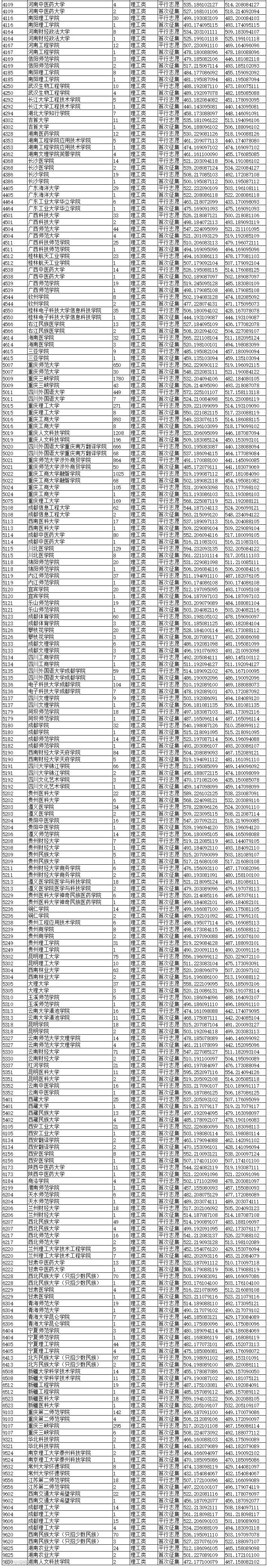
重庆招考信息网公布了普通文理类本科第二批招生录取信息表,表中包含实际录取人数、录取最高分、最低分,具体院校录取情况一起来看看吧!
本科第二批(理工类)


▲点击查看大图
本科第二批(文史类)

▲点击查看大图
重要提醒
本科二批第二次征集志愿填报即将结束(8月1日20:00前),8月2日12:00-8月2日17:00将进行第三次征集志愿填报,想要填报征集志愿的同学一定不要错过!
考生可在每一次征集志愿开始前,在网上查询自己当前是否处于“预录取”状态,如果处于“预录取”状态,则无须再参加征集志愿的填报。“预录取”状态会在学校征集志愿录取结束后转为“录取”状态,考生可再次上网查询到自己的录取轨迹。
考生第一次所填的志愿优先,征集志愿在后,只要第一次填报的院校录取了,征集志愿即为无效志愿,不会再投档,征集志愿的填报不会影响第一次所填志愿的录取。
来源|重庆招考信息网


