
日前,华东师范大学社会调查中心正式推出了2018版的中国大学录取分数排行榜,这份榜单为反映高校近五年生源质量提供了重要参考。
这份大学录取分数最新五年总排名完全是基于中国各高校在过去 5 年(2013-2017)间,在各省本科第一批录取的文理科分数及人数的指标数据,通过统计分析后制作完成的。
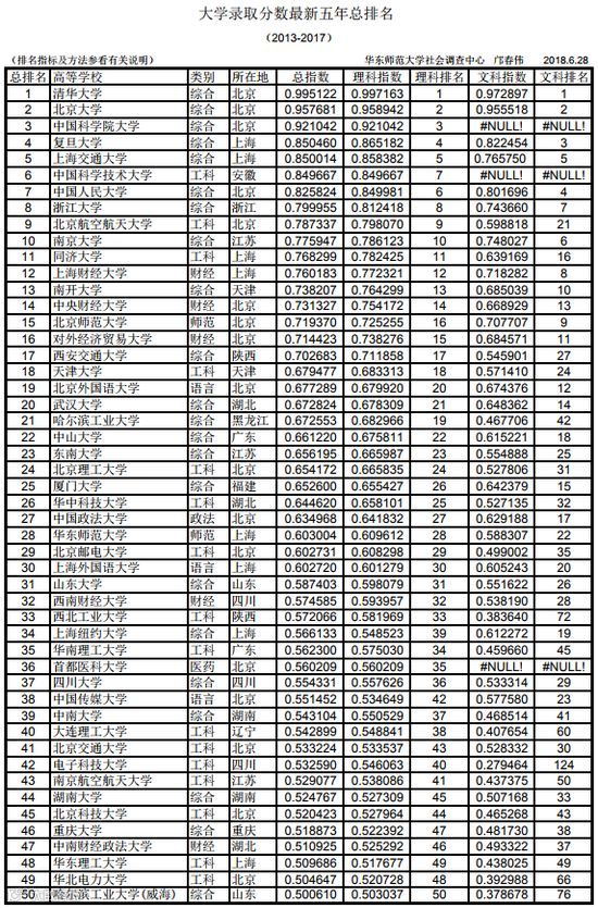
从近五年录取分数总排名来看,清华大学录取分总排名、理科录取分和文科录取分均位居中国高校第1位。北京大学录取分总排名、理科和文科录取分三项指标均次于清华大学,位居第2位。
近年来迅猛发展的中国科学院大学总排名和理科录取分均位居第3位。复旦大学录取分总排名和理科录取分均位居第4位,文科录取分位居第3位。上海交通大学录取分总排名、理科录取分和文科录取分均位居中国高校第5位。其余表现出色的高校还包括中国科学技术大学、中国人民大学、 浙江大学、北京航空航天大学、南京大学等。
整体来看,近五年录取分数线较高的大学基本都集中在北京、上海、天津、江苏、广东、湖北等东部和中部省(市)。相比之下,中西部高校表现不尽人意。即使是中西部的双一流高校,近五年录取分数线大多也比较靠后,这也反映了近几年考生在填报志愿过程时非常重视地域的选择。
这份总榜单包括了各大高校过去5年间的录取分数总排名,不过共有150所院校未参与总排名。主要是由于在2013--2017年之间,参与第一批录取的年数少于3年或者招生的区域少于6个地区或者是某个大学的单列院(部)。
最后来看一看华东师范大学研究团队发布的这份榜单(“#NUll!”表示该校没有录取文科学生,只招理科学生):






来源|青塔
下载APP,看各高校历年录取数据


