搜索
首页
大数快讯
大数活动
服务超市
文章专题
出海平台
流量密码
出海蓝图
产业赛道
物流仓储
跨境支付
选品策略
实操手册
报告
跨企查
百科
导航
知识体系
工具箱
更多
找货源
跨境招聘
DeepSeek
首页
>
重庆市2018高职分类考试各科答案公布!
>
0
0
重庆市2018高职分类考试各科答案公布!
青云汇
2018-03-18
0
导读:快来对答案啦!
我市2018年高职分类考试已经结束,青云汇为大家第一
时间
整理了普高类各科目的参考答案,赶快来看看吧。
语文
英语
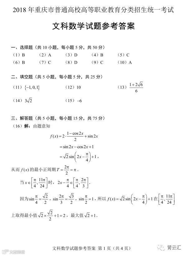
文科数学
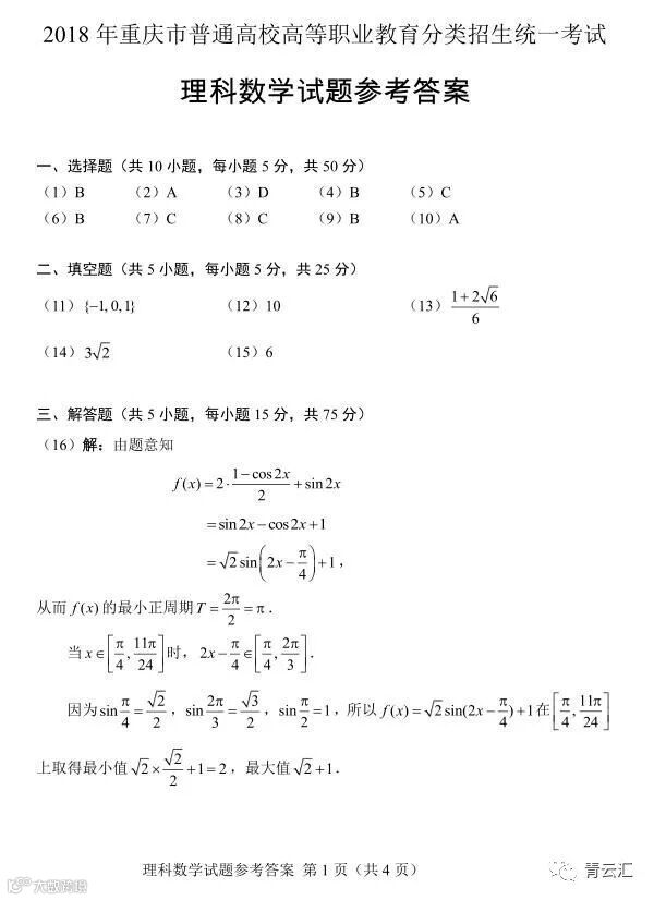
理科数学
信息技术
来源 |
重庆
招考信息网
更多分类考试信息,关注青云汇
↓点击阅读原文,查看更多答案
【声明】内容源于网络
0
0
青云汇
为学生及家长提供生涯资讯、选科指导、志愿填报、生涯实践、专家咨询等服务的生涯教育综合服务平台。
内容
3171
粉丝
0
关注
在线咨询
青云汇
为学生及家长提供生涯资讯、选科指导、志愿填报、生涯实践、专家咨询等服务的生涯教育综合服务平台。
总阅读
1.5k
粉丝
0
内容
3.2k
在线咨询
关注