与其在别处仰望
不如在这里并肩
青云汇升学交流群,关注高中升学途径、学业规划、大学区域择校策略、重庆政策解读、志愿填报等。

扫码发送“一诊”进群获专家解读
一诊考试已经结束一段时间了,每次成绩公布总会有几家欢乐几家愁,但是没关系,今天我们给大家分享一诊成绩,扫码进群听专家讲座,了解怎样规划进入排名更前面的大学,希望能帮助到正在迷茫中的你。
2022重庆高三一诊数据
01
教科院试卷成绩批次线划分
教科院试卷使用地:
中心城区6区(一三八巴西除外)
渝中,沙坪坝,九龙坡,江北,
南岸,北碚的大部分学校。
6区:
物理类特控线:470分
历史类特控线:暂时未知
九龙坡区:
物理类特控线:491分;本科线:421分
历史类特控线:468分;本科线:386分
02
康德卷赋分后控制线
(注:关于康德卷特殊资格线469线的版本已作废)

康德卷学科赋分等级区间表

区域:半数以上主城区学校、部分直属校及绝大部分区县学校。考生人数:约15.34万人。
03
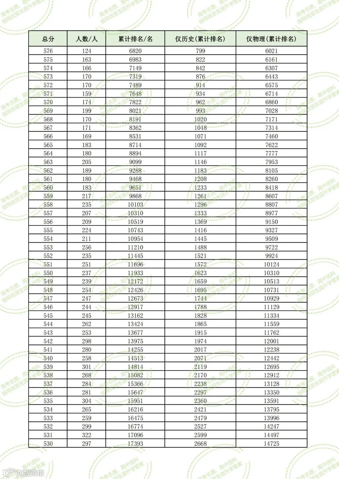
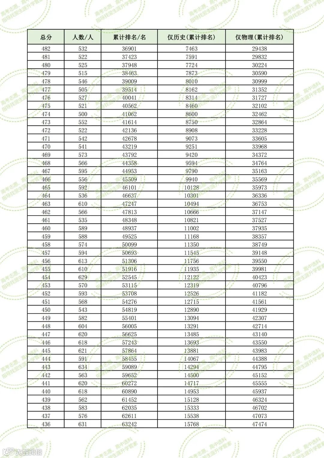
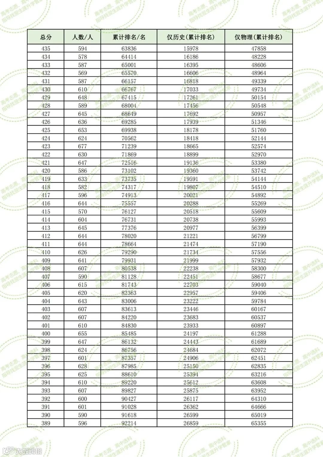
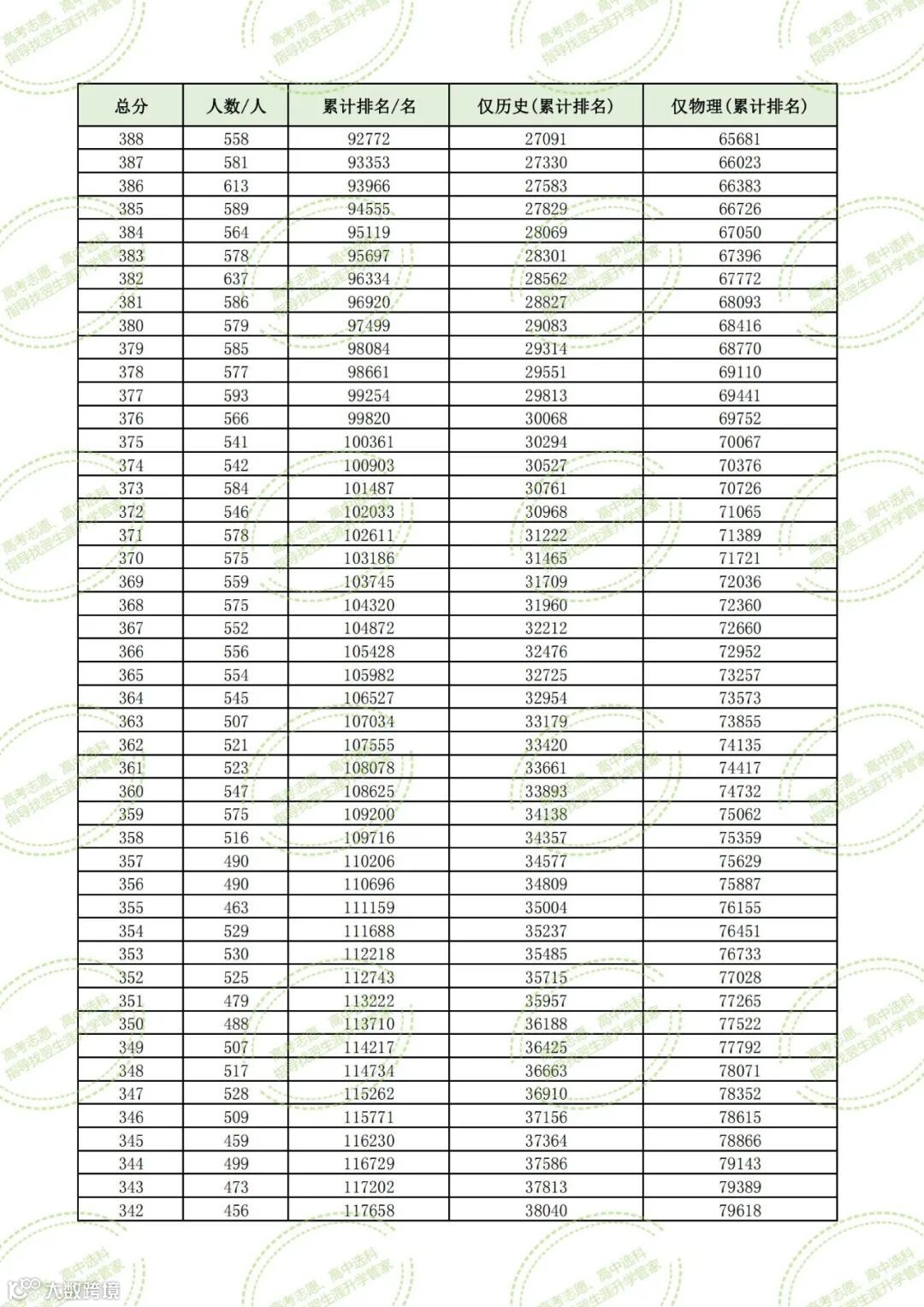
康德卷一分一段表
总成绩一分段表














康德卷数据来源:本无网络(康德教育)
扫二维码入群回复"一诊”↓↓↓




