高校录取期间,扫下方图可查高校最新录取分原始表(动态更新)

👉重庆2022(物理类)普通本科批投档分
录取轨迹查询

温馨提示:考生须在根据自己所填批次对应录取时间,找到查询录取轨迹入口,还没投档的考生无录取轨迹入口或显示“暂无录取轨迹”。
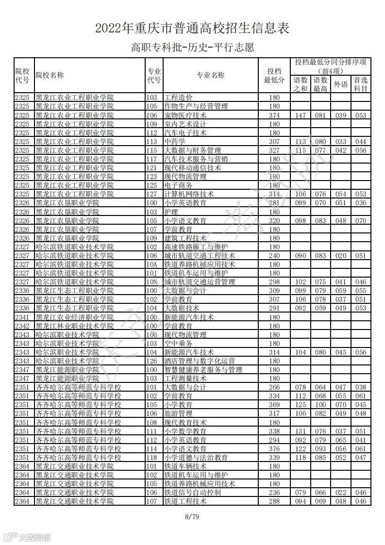
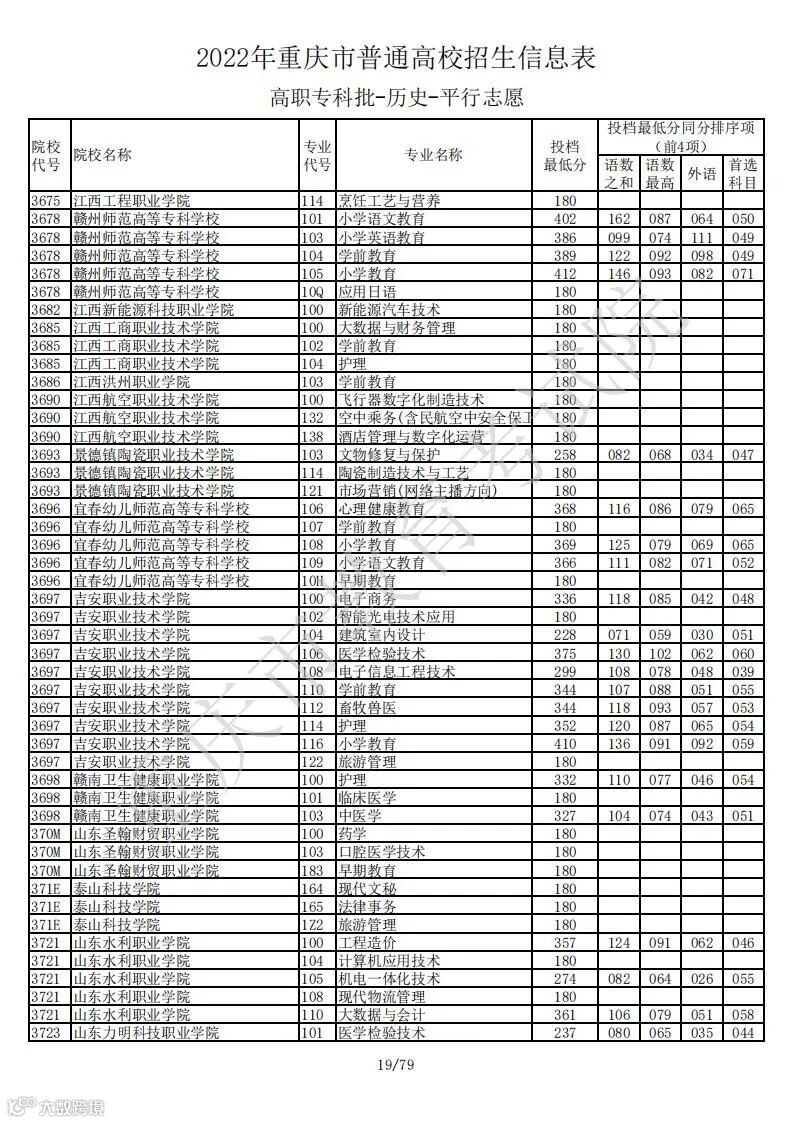
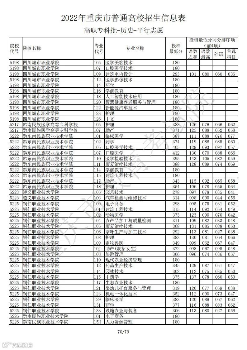
普通类高职专科批(历史类)录取分
















































































2022年复读生关注:知易外国语学校三新复读中心招生啦!
●全国普通高考报名点
●教育部认证复读机构
●985/211高校生源地
●多读一年多考≥60分
●封闭式管理 重庆主城
●志愿专家定位+学科教师系统提升

青云汇高校录取期间,扫下方图可查高校最新录取分原始表(动态更新)

👉重庆2022(物理类)普通本科批投档分
录取轨迹查询

温馨提示:考生须在根据自己所填批次对应录取时间,找到查询录取轨迹入口,还没投档的考生无录取轨迹入口或显示“暂无录取轨迹”。
普通类高职专科批(历史类)录取分
















































































2022年复读生关注:知易外国语学校三新复读中心招生啦!
●全国普通高考报名点
●教育部认证复读机构
●985/211高校生源地
●多读一年多考≥60分
●封闭式管理 重庆主城
●志愿专家定位+学科教师系统提升
